Association of soluble apoptotic biomarkers (FAS,TNFR1 and TRAIL-R2) with β-cell dysfunction in early glucose dysregulation.

IF 3.3 3区 医学 Q3 ENDOCRINOLOGY & METABOLISM
Rama Ayash, Younes Kabalan, Sahar Chamaa
{"title":"Association of soluble apoptotic biomarkers (FAS,TNFR1 and TRAIL-R2) with β-cell dysfunction in early glucose dysregulation.","authors":"Rama Ayash, Younes Kabalan, Sahar Chamaa","doi":"10.1186/s12902-025-02001-3","DOIUrl":null,"url":null,"abstract":"<p><strong>Objective: </strong>This study aimed to investigate the association of soluble death receptors (FAS, TNFR1, and TRAIL-R2) with β-cell function in individuals with naïve prediabetes and newly diagnosed, treatment - naïve type 2 diabetes, and to assess the strength of this association to determine the independent variable that contributes to the variance of HOMA-B.</p><p><strong>Methods and materials: </strong>This was a cross-sectional study done at the Endocrine Clinics of National Hospital. There were two groups: group 1 included 49 newly diagnosed, drug-naive prediabetic patients, and group 2 consisted of 29 newly diagnosed, drug-naive,T2DM patients. Written informed consent was obtained from all participants. This study was approved by the Medical Ethics Committee of Damascus University (No. m/471 -12/5/2021) and registered with the Australian New Zealand Clinical Trials Registry (Trial ID: ACTRN12624001135505). Inclusion criteria included newly diagnosed prediabetic or T2DM subjects who had received no treatment, based on the 2015 American Diabetes Association criteria. Exclusion criteria entailed past histories of severe cardiovascular, renal, tumor, or autoimmune diseases and use of drug therapies including oral hypoglycemic agents. General and demographic information (Sex, age, BMI) was obtained, and blood samples were taken after fasting for 12 h. Fasting plasma glucose (FPG) levels were measured using an automatic analyzer (AMS, Italy). HbA1c levels were measured photometrically using the HemoCue (HbA1c 501 analyzer,America).Insulin levels were determined via an ELISA kit (Diametra, Italy), and soluble death receptors (TNFR1, Fas, TRAIL-R2) were measured using ELISA kits (Raybiotech, USA). The following formula calculates Homeostatic Model Assessment of Beta Cell Function( HOMA-B), HOMA-B (%) = [360 × basal insulin (µIU/mL)] / [basal glucose (mg/dL) - 63]. Statistical analyses were carried out in SPSS version 25. Distribution of the data was carried out using the Kolmogorov-Smirnov test for normality. Student t test for independent samples were done for normally distributed data, while Mann-Whitney U test was used for nonnormal variables. The relationships between HOMA-B and FBG in addition to other variables with significance level were performed using linear regressions with p values < 0.05 were deemed to be statistically significant.</p><p><strong>Results: </strong>The levels of TNFR1, Fas, and TRAIL-R2 were significantly higher in T2DM compared with prediabetes (p < 0.0001). TNFR1 and Fas exhibited a strong negative correlation with HOMA-B in both groups. Regression analysis indicated that Fas, followed by TRAIL-R2, was the main predictor of β-cell function. They combined accounted for 60% and 42% of the HOMA-B variance in prediabetes and T2DM, respectively.</p><p><strong>Conclusion: </strong>Elevated soluble death receptor levels, particularly Fas, are a marker of impaired β-cell function in prediabetes and T2DM. These observations suggest that death receptors-mediated apoptosis may play a role in the progression of β-cell dysfunction from prediabetes to T2DM and point toward possible use of these markers as early indicators of β-cell dysfunction.</p>","PeriodicalId":9152,"journal":{"name":"BMC Endocrine Disorders","volume":"25 1","pages":"218"},"PeriodicalIF":3.3000,"publicationDate":"2025-10-01","publicationTypes":"Journal Article","fieldsOfStudy":null,"isOpenAccess":false,"openAccessPdf":"https://www.ncbi.nlm.nih.gov/pmc/articles/PMC12487420/pdf/","citationCount":"0","resultStr":null,"platform":"Semanticscholar","paperid":null,"PeriodicalName":"BMC Endocrine Disorders","FirstCategoryId":"3","ListUrlMain":"https://doi.org/10.1186/s12902-025-02001-3","RegionNum":3,"RegionCategory":"医学","ArticlePicture":[],"TitleCN":null,"AbstractTextCN":null,"PMCID":null,"EPubDate":"","PubModel":"","JCR":"Q3","JCRName":"ENDOCRINOLOGY & METABOLISM","Score":null,"Total":0}
引用次数: 0

Abstract

Objective: This study aimed to investigate the association of soluble death receptors (FAS, TNFR1, and TRAIL-R2) with β-cell function in individuals with naïve prediabetes and newly diagnosed, treatment - naïve type 2 diabetes, and to assess the strength of this association to determine the independent variable that contributes to the variance of HOMA-B.

Methods and materials: This was a cross-sectional study done at the Endocrine Clinics of National Hospital. There were two groups: group 1 included 49 newly diagnosed, drug-naive prediabetic patients, and group 2 consisted of 29 newly diagnosed, drug-naive,T2DM patients. Written informed consent was obtained from all participants. This study was approved by the Medical Ethics Committee of Damascus University (No. m/471 -12/5/2021) and registered with the Australian New Zealand Clinical Trials Registry (Trial ID: ACTRN12624001135505). Inclusion criteria included newly diagnosed prediabetic or T2DM subjects who had received no treatment, based on the 2015 American Diabetes Association criteria. Exclusion criteria entailed past histories of severe cardiovascular, renal, tumor, or autoimmune diseases and use of drug therapies including oral hypoglycemic agents. General and demographic information (Sex, age, BMI) was obtained, and blood samples were taken after fasting for 12 h. Fasting plasma glucose (FPG) levels were measured using an automatic analyzer (AMS, Italy). HbA1c levels were measured photometrically using the HemoCue (HbA1c 501 analyzer,America).Insulin levels were determined via an ELISA kit (Diametra, Italy), and soluble death receptors (TNFR1, Fas, TRAIL-R2) were measured using ELISA kits (Raybiotech, USA). The following formula calculates Homeostatic Model Assessment of Beta Cell Function( HOMA-B), HOMA-B (%) = [360 × basal insulin (µIU/mL)] / [basal glucose (mg/dL) - 63]. Statistical analyses were carried out in SPSS version 25. Distribution of the data was carried out using the Kolmogorov-Smirnov test for normality. Student t test for independent samples were done for normally distributed data, while Mann-Whitney U test was used for nonnormal variables. The relationships between HOMA-B and FBG in addition to other variables with significance level were performed using linear regressions with p values < 0.05 were deemed to be statistically significant.

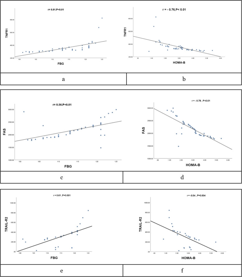
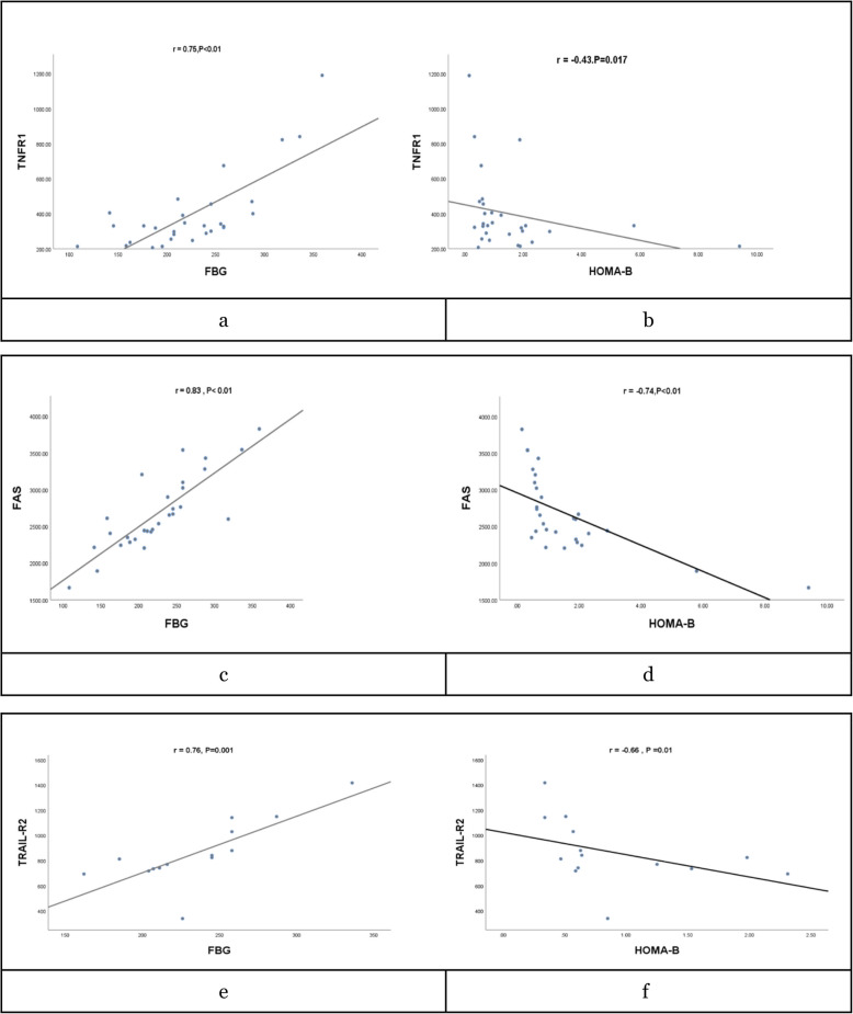
Results: The levels of TNFR1, Fas, and TRAIL-R2 were significantly higher in T2DM compared with prediabetes (p < 0.0001). TNFR1 and Fas exhibited a strong negative correlation with HOMA-B in both groups. Regression analysis indicated that Fas, followed by TRAIL-R2, was the main predictor of β-cell function. They combined accounted for 60% and 42% of the HOMA-B variance in prediabetes and T2DM, respectively.

Conclusion: Elevated soluble death receptor levels, particularly Fas, are a marker of impaired β-cell function in prediabetes and T2DM. These observations suggest that death receptors-mediated apoptosis may play a role in the progression of β-cell dysfunction from prediabetes to T2DM and point toward possible use of these markers as early indicators of β-cell dysfunction.

Abstract Image

Abstract Image

Abstract Image

可溶性凋亡生物标志物(FAS,TNFR1和TRAIL-R2)与早期血糖失调中β细胞功能障碍的关联
目的:本研究旨在探讨可溶性死亡受体(FAS、TNFR1和TRAIL-R2)与naïve前驱糖尿病和新诊断、治疗- naïve 2型糖尿病患者β细胞功能的相关性,并评估这种相关性的强度,以确定导致HOMA-B变异的自变量。方法和材料:本研究是在国立医院内分泌门诊进行的横断面研究。分为两组:1组49例新诊断、未用药的糖尿病前期患者,2组29例新诊断、未用药的T2DM患者。所有参与者均获得书面知情同意。本研究经大马士革大学医学伦理委员会批准(No. 6)。m/471 -12/5/2021),并在澳大利亚新西兰临床试验注册中心注册(试验ID: ACTRN12624001135505)。纳入标准基于2015年美国糖尿病协会标准,包括未接受治疗的新诊断的糖尿病前期或2型糖尿病受试者。排除标准包括严重心血管、肾脏、肿瘤或自身免疫性疾病的既往病史,以及使用药物治疗,包括口服降糖药。获得一般和人口统计信息(性别、年龄、BMI),禁食12小时后采集血液样本。使用自动分析仪(AMS,意大利)测量空腹血糖(FPG)水平。采用HemoCue(美国HbA1c 501分析仪)光度法测定HbA1c水平。胰岛素水平通过ELISA试剂盒(直径,意大利)测定,可溶性死亡受体(TNFR1, Fas, TRAIL-R2)使用ELISA试剂盒(Raybiotech,美国)测定。下式计算稳态模型β细胞功能评估(HOMA-B), HOMA-B (%) = [360 ×基础胰岛素(µIU/mL)] /[基础葡萄糖(mg/dL) - 63]。采用SPSS 25进行统计分析。数据的分布采用Kolmogorov-Smirnov正态性检验。正态分布的数据采用独立样本的学生t检验,非正态分布的数据采用Mann-Whitney U检验。结果:T2DM患者TNFR1、Fas和TRAIL-R2水平明显高于糖尿病前期(p)。结论:可溶性死亡受体水平升高,尤其是Fas水平升高,是糖尿病前期和T2DM患者β细胞功能受损的标志。这些观察结果表明,死亡受体介导的细胞凋亡可能在β细胞功能障碍从糖尿病前期发展到2型糖尿病的过程中发挥作用,并指出这些标志物可能作为β细胞功能障碍的早期指标。
本文章由计算机程序翻译,如有差异,请以英文原文为准。
求助全文
约1分钟内获得全文 求助全文
来源期刊
BMC Endocrine Disorders
BMC Endocrine Disorders ENDOCRINOLOGY & METABOLISM-
CiteScore
4.40
自引率
0.00%
发文量
280
审稿时长
>12 weeks
期刊介绍: BMC Endocrine Disorders is an open access, peer-reviewed journal that considers articles on all aspects of the prevention, diagnosis and management of endocrine disorders, as well as related molecular genetics, pathophysiology, and epidemiology.
×
引用
GB/T 7714-2015
复制
MLA
复制
APA
复制
导出至
BibTeX EndNote RefMan NoteFirst NoteExpress
×
提示
您的信息不完整,为了账户安全,请先补充。
现在去补充
×
提示
您因"违规操作"
具体请查看互助需知
我知道了
×
提示
确定
请完成安全验证×
copy
已复制链接
快去分享给好友吧!
我知道了
右上角分享
点击右上角分享
0
联系我们:info@booksci.cn Book学术提供免费学术资源搜索服务,方便国内外学者检索中英文文献。致力于提供最便捷和优质的服务体验。 Copyright © 2023 布克学术 All rights reserved.
京ICP备2023020795号-1
ghs 京公网安备 11010802042870号
Book学术文献互助
Book学术文献互助群
群 号:604180095
Book学术官方微信