Phylogenetic meta-analysis of persistent SARS-CoV-2 infections in immunocompromised individuals highlights the challenges of robust evolutionary rate estimation caused by low genetic diversity.

IF 4 2区 医学 Q1 VIROLOGY
Virus Evolution Pub Date : 2025-08-30 eCollection Date: 2025-01-01 DOI:10.1093/ve/veaf065
Sanni Översti, Emily Gaul, Björn-Erik Ole Jensen, Denise Kühnert
{"title":"Phylogenetic meta-analysis of persistent SARS-CoV-2 infections in immunocompromised individuals highlights the challenges of robust evolutionary rate estimation caused by low genetic diversity.","authors":"Sanni Översti, Emily Gaul, Björn-Erik Ole Jensen, Denise Kühnert","doi":"10.1093/ve/veaf065","DOIUrl":null,"url":null,"abstract":"<p><p>Time-stamped genomic sequences from rapidly evolving pathogens can be used to estimate the rates of evolution through molecular tip-dating. The validity of this approach, however, depends on whether detectable levels of genetic variation have accumulated over the given sampling interval, generating a temporal signal. Moreover, molecular dating methods have demonstrated varying degrees of systematic biases under different biologically realistic scenarios, such as the presence of phylo-temporal clustering. Persistent SARS-CoV-2 infections in immunocompromised individuals have been linked to accelerated intrahost molecular rates compared to those of global lineages, facilitating the emergence of novel viral lineages. Yet, studies reporting elevated rates lack assessment of data properties, such as evaluation of temporal signal and comparison of multiple methods of inference, both crucial for robust rate estimation. In this study, we applied a range of molecular dating approaches to reassess the rate of SARS-CoV-2 intrahost evolution in immunocompromised individuals using publicly available datasets. Our findings suggest that even during long-term infections, the limited number of genetic changes accumulating may pose a challenge for robust inference of within-host evolutionary rates, particularly when relying on consensus sequences and when datasets are small or unevenly sampled. Moreover, our results highlight that when certain methodological limitations are overlooked, evolutionary rates can be significantly overestimated. In general, our findings demonstrate that estimating within-host evolutionary rates is a challenging question necessitating thorough assessment of data quality, careful selection of appropriate methods, and cautious interpretation of the resulting estimates. Whereas our phylogenetic analyses of viral consensus sequences provide no evidence of elevated evolutionary rates across the complete genome during chronic SARS-CoV-2 infection, prolonged viral shedding may nevertheless promote the emergence of new viral variants in immunocompromised individuals.</p>","PeriodicalId":56026,"journal":{"name":"Virus Evolution","volume":"11 1","pages":"veaf065"},"PeriodicalIF":4.0000,"publicationDate":"2025-08-30","publicationTypes":"Journal Article","fieldsOfStudy":null,"isOpenAccess":false,"openAccessPdf":"https://www.ncbi.nlm.nih.gov/pmc/articles/PMC12477587/pdf/","citationCount":"0","resultStr":null,"platform":"Semanticscholar","paperid":null,"PeriodicalName":"Virus Evolution","FirstCategoryId":"3","ListUrlMain":"https://doi.org/10.1093/ve/veaf065","RegionNum":2,"RegionCategory":"医学","ArticlePicture":[],"TitleCN":null,"AbstractTextCN":null,"PMCID":null,"EPubDate":"2025/1/1 0:00:00","PubModel":"eCollection","JCR":"Q1","JCRName":"VIROLOGY","Score":null,"Total":0}
引用次数: 0

Abstract

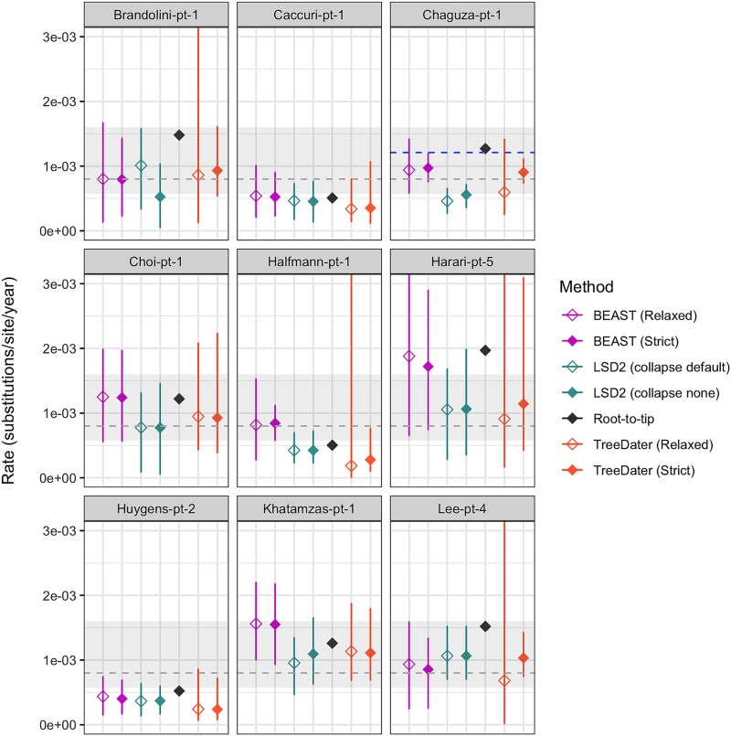
Time-stamped genomic sequences from rapidly evolving pathogens can be used to estimate the rates of evolution through molecular tip-dating. The validity of this approach, however, depends on whether detectable levels of genetic variation have accumulated over the given sampling interval, generating a temporal signal. Moreover, molecular dating methods have demonstrated varying degrees of systematic biases under different biologically realistic scenarios, such as the presence of phylo-temporal clustering. Persistent SARS-CoV-2 infections in immunocompromised individuals have been linked to accelerated intrahost molecular rates compared to those of global lineages, facilitating the emergence of novel viral lineages. Yet, studies reporting elevated rates lack assessment of data properties, such as evaluation of temporal signal and comparison of multiple methods of inference, both crucial for robust rate estimation. In this study, we applied a range of molecular dating approaches to reassess the rate of SARS-CoV-2 intrahost evolution in immunocompromised individuals using publicly available datasets. Our findings suggest that even during long-term infections, the limited number of genetic changes accumulating may pose a challenge for robust inference of within-host evolutionary rates, particularly when relying on consensus sequences and when datasets are small or unevenly sampled. Moreover, our results highlight that when certain methodological limitations are overlooked, evolutionary rates can be significantly overestimated. In general, our findings demonstrate that estimating within-host evolutionary rates is a challenging question necessitating thorough assessment of data quality, careful selection of appropriate methods, and cautious interpretation of the resulting estimates. Whereas our phylogenetic analyses of viral consensus sequences provide no evidence of elevated evolutionary rates across the complete genome during chronic SARS-CoV-2 infection, prolonged viral shedding may nevertheless promote the emergence of new viral variants in immunocompromised individuals.

Abstract Image

Abstract Image

Abstract Image

免疫功能低下个体持续感染SARS-CoV-2的系统发育荟萃分析强调了由低遗传多样性引起的稳健进化速率估计的挑战。
来自快速进化病原体的带有时间戳的基因组序列可用于通过分子尖端年代测定来估计进化速率。然而,这种方法的有效性取决于是否在给定的采样间隔内积累了可检测的遗传变异水平,从而产生时间信号。此外,分子定年方法在不同的生物学现实情景下显示出不同程度的系统偏差,例如存在种-时间聚类。与全球谱系相比,免疫功能低下个体中持续的SARS-CoV-2感染与宿主内分子速率加快有关,从而促进了新病毒谱系的出现。然而,报告高速率的研究缺乏对数据特性的评估,例如对时间信号的评估和多种推断方法的比较,这两者对于稳健的速率估计至关重要。在这项研究中,我们应用了一系列分子定年方法,利用公开可用的数据集重新评估免疫功能低下个体中SARS-CoV-2宿主内进化的速度。我们的研究结果表明,即使在长期感染期间,积累的有限数量的遗传变化也可能对宿主内进化速率的可靠推断构成挑战,特别是当依赖于共识序列和当数据集很小或采样不均匀时。此外,我们的结果强调,当某些方法上的限制被忽视时,进化速度可能被严重高估。总的来说,我们的研究结果表明,估计宿主内进化率是一个具有挑战性的问题,需要对数据质量进行彻底评估,仔细选择适当的方法,并对结果估计进行谨慎的解释。尽管我们对病毒一致序列的系统发育分析没有提供证据表明在慢性SARS-CoV-2感染期间整个全基因组的进化速率升高,但病毒脱落的延长可能促进免疫功能低下个体中新的病毒变体的出现。
本文章由计算机程序翻译,如有差异,请以英文原文为准。
求助全文
约1分钟内获得全文 求助全文
来源期刊
Virus Evolution
Virus Evolution Immunology and Microbiology-Microbiology
CiteScore
10.50
自引率
5.70%
发文量
108
审稿时长
14 weeks
期刊介绍: Virus Evolution is a new Open Access journal focusing on the long-term evolution of viruses, viruses as a model system for studying evolutionary processes, viral molecular epidemiology and environmental virology. The aim of the journal is to provide a forum for original research papers, reviews, commentaries and a venue for in-depth discussion on the topics relevant to virus evolution.
×
引用
GB/T 7714-2015
复制
MLA
复制
APA
复制
导出至
BibTeX EndNote RefMan NoteFirst NoteExpress
×
提示
您的信息不完整,为了账户安全,请先补充。
现在去补充
×
提示
您因"违规操作"
具体请查看互助需知
我知道了
×
提示
确定
请完成安全验证×
copy
已复制链接
快去分享给好友吧!
我知道了
右上角分享
点击右上角分享
0
联系我们:info@booksci.cn Book学术提供免费学术资源搜索服务,方便国内外学者检索中英文文献。致力于提供最便捷和优质的服务体验。 Copyright © 2023 布克学术 All rights reserved.
京ICP备2023020795号-1
ghs 京公网安备 11010802042870号
Book学术文献互助
Book学术文献互助群
群 号:604180095
Book学术官方微信