Fabrication Water Solubility of Curcumin-Mogroside Self-Assembly Nanoparticles: Characterization, Antioxidant, and HepG2 Cell Cytotoxicity Activity Evaluation.

IF 3.1 Q2 FOOD SCIENCE & TECHNOLOGY
International Journal of Food Science Pub Date : 2025-09-09 eCollection Date: 2025-01-01 DOI:10.1155/ijfo/1744361
Minmin Chen, Fengling Qiu, Youzuo Zhang, Guangzhi Xu
{"title":"Fabrication Water Solubility of Curcumin-Mogroside Self-Assembly Nanoparticles: Characterization, Antioxidant, and HepG2 Cell Cytotoxicity Activity Evaluation.","authors":"Minmin Chen, Fengling Qiu, Youzuo Zhang, Guangzhi Xu","doi":"10.1155/ijfo/1744361","DOIUrl":null,"url":null,"abstract":"<p><p>Curcumin (CUR) is a hydrophobic polyphenol from turmeric with various biological activities. However, its poor water solubility limits its application in food and pharmaceutical fields. Here, the curcumin and mogroside (MOG) self-assembled nanoparticles (CUR-MOG NPs) with well water solubility were successfully prepared. The CUR-MOG NPs were characterized by dynamic light scattering (DLS), transmission electron microscopy (TEM), x-ray diffraction (XRD), UV-visible spectrophotometer, Fourier transform infrared (FTIR) spectroscopy, and thermogravimetric analysis (TGA). The antioxidant activity and HepG2 cell cytotoxicity were further evaluated. CUR-MOG NPs exhibited a particle size of 59.96 ± 0.852 nm with a polydispersity coefficient of 0.077 ± 0.013. The CUR encapsulation efficiency of CUR-MOG NPs was 86.35<i>%</i> ± 0.877<i>%</i>. The XRD, UV-visible spectrophotometer, FTIR, and TGA confirmed that the <i>π</i>-<i>π</i> stacking, hydrophobic interaction, and hydrogen bonding may contribute to the successfully formed self-assembled nanoparticles. Moreover, nanoparticles had significantly enhanced the water solubility of CUR, increasing from 10.7 ng/mL in pure CUR to 1.135 mg/mL in CUR-MOG NPs. The CUR-MOG NPs demonstrated comparable DPPH radical scavenging activity and HepG2 cell cytotoxicity with those of free CUR. CUR-MOG NPs exhibited a superior water-soluble capability, which may serve as a promising system for improving its applications in food and pharmaceutical products.</p>","PeriodicalId":14125,"journal":{"name":"International Journal of Food Science","volume":"2025 ","pages":"1744361"},"PeriodicalIF":3.1000,"publicationDate":"2025-09-09","publicationTypes":"Journal Article","fieldsOfStudy":null,"isOpenAccess":false,"openAccessPdf":"https://www.ncbi.nlm.nih.gov/pmc/articles/PMC12420913/pdf/","citationCount":"0","resultStr":null,"platform":"Semanticscholar","paperid":null,"PeriodicalName":"International Journal of Food Science","FirstCategoryId":"1085","ListUrlMain":"https://doi.org/10.1155/ijfo/1744361","RegionNum":0,"RegionCategory":null,"ArticlePicture":[],"TitleCN":null,"AbstractTextCN":null,"PMCID":null,"EPubDate":"2025/1/1 0:00:00","PubModel":"eCollection","JCR":"Q2","JCRName":"FOOD SCIENCE & TECHNOLOGY","Score":null,"Total":0}
引用次数: 0

Abstract

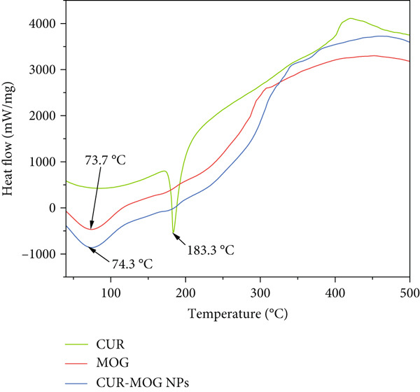
Curcumin (CUR) is a hydrophobic polyphenol from turmeric with various biological activities. However, its poor water solubility limits its application in food and pharmaceutical fields. Here, the curcumin and mogroside (MOG) self-assembled nanoparticles (CUR-MOG NPs) with well water solubility were successfully prepared. The CUR-MOG NPs were characterized by dynamic light scattering (DLS), transmission electron microscopy (TEM), x-ray diffraction (XRD), UV-visible spectrophotometer, Fourier transform infrared (FTIR) spectroscopy, and thermogravimetric analysis (TGA). The antioxidant activity and HepG2 cell cytotoxicity were further evaluated. CUR-MOG NPs exhibited a particle size of 59.96 ± 0.852 nm with a polydispersity coefficient of 0.077 ± 0.013. The CUR encapsulation efficiency of CUR-MOG NPs was 86.35% ± 0.877%. The XRD, UV-visible spectrophotometer, FTIR, and TGA confirmed that the π-π stacking, hydrophobic interaction, and hydrogen bonding may contribute to the successfully formed self-assembled nanoparticles. Moreover, nanoparticles had significantly enhanced the water solubility of CUR, increasing from 10.7 ng/mL in pure CUR to 1.135 mg/mL in CUR-MOG NPs. The CUR-MOG NPs demonstrated comparable DPPH radical scavenging activity and HepG2 cell cytotoxicity with those of free CUR. CUR-MOG NPs exhibited a superior water-soluble capability, which may serve as a promising system for improving its applications in food and pharmaceutical products.

Abstract Image

Abstract Image

Abstract Image

姜黄素-苦苷自组装纳米粒子的水溶性制备:表征、抗氧化和HepG2细胞毒性活性评价。
姜黄素(Curcumin, CUR)是从姜黄中提取的疏水多酚,具有多种生物活性。但其水溶性较差,限制了其在食品和制药领域的应用。本研究成功制备了具有良好水溶性的姜黄素和苦苷(MOG)自组装纳米粒子(curc -MOG NPs)。采用动态光散射(DLS)、透射电子显微镜(TEM)、x射线衍射(XRD)、紫外可见分光光度计、傅里叶变换红外光谱(FTIR)和热重分析(TGA)对cu - mog NPs进行了表征。进一步评价其抗氧化活性和HepG2细胞毒性。cu - mog NPs的粒径为59.96±0.852 nm,多分散性系数为0.077±0.013。CUR- mog NPs包封率为86.35%±0.87%。XRD、uv -可见分光光度计、FTIR和TGA证实了π-π堆积、疏水相互作用和氢键可能有助于成功形成自组装纳米颗粒。此外,纳米颗粒显著提高了CUR的水溶性,从纯CUR的10.7 ng/mL增加到CUR- mog NPs的1.135 mg/mL。在DPPH自由基清除能力和HepG2细胞毒性方面,curg - mog NPs表现出与游离CUR相当的能力,且具有良好的水溶性,在食品和医药领域的应用前景广阔。
本文章由计算机程序翻译,如有差异,请以英文原文为准。
求助全文
约1分钟内获得全文 求助全文
来源期刊
International Journal of Food Science
International Journal of Food Science Agricultural and Biological Sciences-Food Science
CiteScore
6.20
自引率
2.50%
发文量
105
审稿时长
11 weeks
期刊介绍: International Journal of Food Science is a peer-reviewed, Open Access journal that publishes research and review articles in all areas of food science. As a multidisciplinary journal, articles discussing all aspects of food science will be considered, including, but not limited to: enhancing shelf life, food deterioration, food engineering, food handling, food processing, food quality, food safety, microbiology, and nutritional research. The journal aims to provide a valuable resource for food scientists, food producers, food retailers, nutritionists, the public health sector, and relevant governmental and non-governmental agencies.
×
引用
GB/T 7714-2015
复制
MLA
复制
APA
复制
导出至
BibTeX EndNote RefMan NoteFirst NoteExpress
×
提示
您的信息不完整,为了账户安全,请先补充。
现在去补充
×
提示
您因"违规操作"
具体请查看互助需知
我知道了
×
提示
确定
请完成安全验证×
copy
已复制链接
快去分享给好友吧!
我知道了
右上角分享
点击右上角分享
0
联系我们:info@booksci.cn Book学术提供免费学术资源搜索服务,方便国内外学者检索中英文文献。致力于提供最便捷和优质的服务体验。 Copyright © 2023 布克学术 All rights reserved.
京ICP备2023020795号-1
ghs 京公网安备 11010802042870号
Book学术文献互助
Book学术文献互助群
群 号:604180095
Book学术官方微信