Enhanced CO Poisoning Resistance for HOR of PEMFC by Ni-Doped Pt-Based Catalysts

IF 0.8 4区 工程技术 Q4 ELECTROCHEMISTRY
Miaomiao He, Zhixia Deng, Zehao Tan, Jiewei Yin, Qu Feng, Yong Feng
{"title":"Enhanced CO Poisoning Resistance for HOR of PEMFC by Ni-Doped Pt-Based Catalysts","authors":"Miaomiao He,&nbsp;Zhixia Deng,&nbsp;Zehao Tan,&nbsp;Jiewei Yin,&nbsp;Qu Feng,&nbsp;Yong Feng","doi":"10.1134/S1023193524600986","DOIUrl":null,"url":null,"abstract":"<p>Fuel cells are efficient power generation devices that directly convert chemical energy into electrical energy through chemical reactions. Fuel cell vehicles powered by proton exchange membrane fuel cells have many advantages, such as low operating temperature, quick start-up, high energy density, high power density, and fast response to load changes. However, the performance of the catalyst in the anode reaction deteriorates sharply due to the extreme sensitivity of Pt atoms to CO in the anode reaction. CO easily occupies the reactive sites of Pt atoms, leading to a significant decrease in the catalytic performance of the anode reaction. Therefore, in this study, the impregnation reduction method is used to introduce transition metal Ni elements to modify Pt/C catalysts to enhance the CO tolerance of Pt-based catalysts. In a H<sub>2</sub> + 100 ppm CO atmosphere, the mass-specific activity (MA) reaches 1.307 A/mg, which is 3.48 times that of commercial Pt/C catalysts The influence of different Ni element ratios on the resistance of Pt-based catalysts to CO poisoning is analyzed, providing a new approach for developing anode catalysts with high CO tolerance.</p>","PeriodicalId":760,"journal":{"name":"Russian Journal of Electrochemistry","volume":"61 7","pages":"333 - 343"},"PeriodicalIF":0.8000,"publicationDate":"2025-10-01","publicationTypes":"Journal Article","fieldsOfStudy":null,"isOpenAccess":false,"openAccessPdf":"","citationCount":"0","resultStr":null,"platform":"Semanticscholar","paperid":null,"PeriodicalName":"Russian Journal of Electrochemistry","FirstCategoryId":"5","ListUrlMain":"https://link.springer.com/article/10.1134/S1023193524600986","RegionNum":4,"RegionCategory":"工程技术","ArticlePicture":[],"TitleCN":null,"AbstractTextCN":null,"PMCID":null,"EPubDate":"","PubModel":"","JCR":"Q4","JCRName":"ELECTROCHEMISTRY","Score":null,"Total":0}
引用次数: 0

Abstract

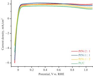
Fuel cells are efficient power generation devices that directly convert chemical energy into electrical energy through chemical reactions. Fuel cell vehicles powered by proton exchange membrane fuel cells have many advantages, such as low operating temperature, quick start-up, high energy density, high power density, and fast response to load changes. However, the performance of the catalyst in the anode reaction deteriorates sharply due to the extreme sensitivity of Pt atoms to CO in the anode reaction. CO easily occupies the reactive sites of Pt atoms, leading to a significant decrease in the catalytic performance of the anode reaction. Therefore, in this study, the impregnation reduction method is used to introduce transition metal Ni elements to modify Pt/C catalysts to enhance the CO tolerance of Pt-based catalysts. In a H2 + 100 ppm CO atmosphere, the mass-specific activity (MA) reaches 1.307 A/mg, which is 3.48 times that of commercial Pt/C catalysts The influence of different Ni element ratios on the resistance of Pt-based catalysts to CO poisoning is analyzed, providing a new approach for developing anode catalysts with high CO tolerance.

Abstract Image

镍掺杂pt基催化剂增强了PEMFC的耐CO中毒性能
燃料电池是通过化学反应将化学能直接转化为电能的高效发电装置。以质子交换膜燃料电池为动力的燃料电池汽车具有工作温度低、启动快、能量密度高、功率密度大、对负载变化响应快等优点。然而,由于Pt原子在阳极反应中对CO极度敏感,催化剂在阳极反应中的性能急剧下降。CO很容易占据Pt原子的反应位点,导致阳极反应的催化性能明显下降。因此,本研究采用浸渍还原法,引入过渡金属Ni元素对Pt/C催化剂进行改性,提高Pt基催化剂的CO耐受性。在H2 + 100 ppm CO气氛下,质量比活性(MA)达到1.307 a /mg,是商品Pt/C催化剂的3.48倍。分析了不同Ni元素配比对Pt基催化剂抗CO中毒性能的影响,为开发高CO耐受性阳极催化剂提供了新的途径。
本文章由计算机程序翻译,如有差异,请以英文原文为准。
求助全文
约1分钟内获得全文 求助全文
来源期刊
Russian Journal of Electrochemistry
Russian Journal of Electrochemistry 工程技术-电化学
CiteScore
1.90
自引率
8.30%
发文量
102
审稿时长
6 months
期刊介绍: Russian Journal of Electrochemistry is a journal that covers all aspects of research in modern electrochemistry. The journal welcomes submissions in English or Russian regardless of country and nationality of authors.
×
引用
GB/T 7714-2015
复制
MLA
复制
APA
复制
导出至
BibTeX EndNote RefMan NoteFirst NoteExpress
×
提示
您的信息不完整,为了账户安全,请先补充。
现在去补充
×
提示
您因"违规操作"
具体请查看互助需知
我知道了
×
提示
确定
请完成安全验证×
copy
已复制链接
快去分享给好友吧!
我知道了
右上角分享
点击右上角分享
0
联系我们:info@booksci.cn Book学术提供免费学术资源搜索服务,方便国内外学者检索中英文文献。致力于提供最便捷和优质的服务体验。 Copyright © 2023 布克学术 All rights reserved.
京ICP备2023020795号-1
ghs 京公网安备 11010802042870号
Book学术文献互助
Book学术文献互助群
群 号:604180095
Book学术官方微信