Efficacy and safety of endoscopic retrograde cholangiopancreatography in the treatment of bile duct stones.

IF 1.7 4区 医学 Q3 GASTROENTEROLOGY & HEPATOLOGY
Dan-Feng Gong, Long Cheng
{"title":"Efficacy and safety of endoscopic retrograde cholangiopancreatography in the treatment of bile duct stones.","authors":"Dan-Feng Gong, Long Cheng","doi":"10.4240/wjgs.v17.i9.109270","DOIUrl":null,"url":null,"abstract":"<p><strong>Background: </strong>The current surgical treatments for bile duct stones (BDSs) demonstrate suboptimal efficacy, warranting further exploration of superior therapies or improvement of existing surgical protocols.</p><p><strong>Aim: </strong>To assess the therapeutic efficacy and safety profiles of endoscopic retrograde cholangiopancreatography (ERCP) <i>vs</i> common bile duct exploration (CBDE) in BDS treatment.</p><p><strong>Methods: </strong>This study enrolled 103 consecutive patients with BDSs treated at the First People's Hospital of Changde from January 2024 to January 2025, with 53 patients undergoing ERCP (ERCP group) and 50 receiving conventional CBDE (CBDE group). Comprehensive comparative analyses were conducted across multiple parameters, including clinical efficacy, surgical success rate, safety (bile leakage incidence, surgical site infection, acute pancreatitis, and acute cholangitis), postoperative biochemical markers (total bilirubin and serum amylase), surgery-related metrics (stone removal time, procedure duration, intraoperative blood loss, and hospitalization time), and postoperative recovery indicators (time to intestinal recovery, jaundice resolution, biliary drainage removal, and postoperative activity recovery).</p><p><strong>Results: </strong>The ERCP group demonstrated markedly superior overall efficacy than the CBDE group, with similar surgical success rates and comparable stone removal durations. Importantly, patients undergoing ERCP experienced fewer complications overall, required less operative time, had minimal intraoperative blood loss, and needed shorter hospitalization periods. Recovery parameters such as bowel function recovery, jaundice resolution, biliary stent removal, and normal activity resumption, were significantly improved in the ERCP group. Both groups demonstrated substantial postoperative reductions in total bilirubin and amylase, with no significant intergroup differences.</p><p><strong>Conclusion: </strong>ERCP demonstrates effectiveness and safety in managing BDSs, thereby providing notable clinical benefits that support its broader implementation in medical practice.</p>","PeriodicalId":23759,"journal":{"name":"World Journal of Gastrointestinal Surgery","volume":"17 9","pages":"109270"},"PeriodicalIF":1.7000,"publicationDate":"2025-09-27","publicationTypes":"Journal Article","fieldsOfStudy":null,"isOpenAccess":false,"openAccessPdf":"https://www.ncbi.nlm.nih.gov/pmc/articles/PMC12476720/pdf/","citationCount":"0","resultStr":null,"platform":"Semanticscholar","paperid":null,"PeriodicalName":"World Journal of Gastrointestinal Surgery","FirstCategoryId":"3","ListUrlMain":"https://doi.org/10.4240/wjgs.v17.i9.109270","RegionNum":4,"RegionCategory":"医学","ArticlePicture":[],"TitleCN":null,"AbstractTextCN":null,"PMCID":null,"EPubDate":"","PubModel":"","JCR":"Q3","JCRName":"GASTROENTEROLOGY & HEPATOLOGY","Score":null,"Total":0}
引用次数: 0

Abstract

Background: The current surgical treatments for bile duct stones (BDSs) demonstrate suboptimal efficacy, warranting further exploration of superior therapies or improvement of existing surgical protocols.

Aim: To assess the therapeutic efficacy and safety profiles of endoscopic retrograde cholangiopancreatography (ERCP) vs common bile duct exploration (CBDE) in BDS treatment.

Methods: This study enrolled 103 consecutive patients with BDSs treated at the First People's Hospital of Changde from January 2024 to January 2025, with 53 patients undergoing ERCP (ERCP group) and 50 receiving conventional CBDE (CBDE group). Comprehensive comparative analyses were conducted across multiple parameters, including clinical efficacy, surgical success rate, safety (bile leakage incidence, surgical site infection, acute pancreatitis, and acute cholangitis), postoperative biochemical markers (total bilirubin and serum amylase), surgery-related metrics (stone removal time, procedure duration, intraoperative blood loss, and hospitalization time), and postoperative recovery indicators (time to intestinal recovery, jaundice resolution, biliary drainage removal, and postoperative activity recovery).

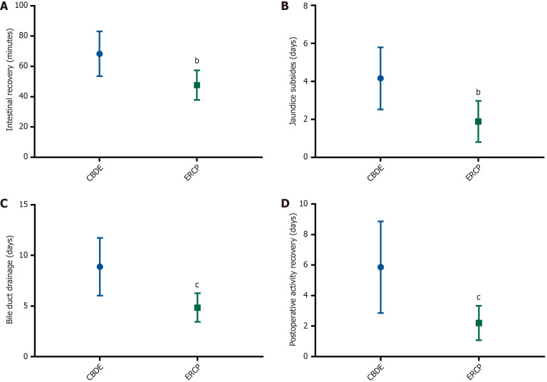
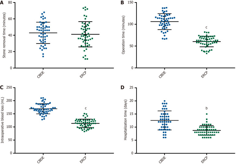
Results: The ERCP group demonstrated markedly superior overall efficacy than the CBDE group, with similar surgical success rates and comparable stone removal durations. Importantly, patients undergoing ERCP experienced fewer complications overall, required less operative time, had minimal intraoperative blood loss, and needed shorter hospitalization periods. Recovery parameters such as bowel function recovery, jaundice resolution, biliary stent removal, and normal activity resumption, were significantly improved in the ERCP group. Both groups demonstrated substantial postoperative reductions in total bilirubin and amylase, with no significant intergroup differences.

Conclusion: ERCP demonstrates effectiveness and safety in managing BDSs, thereby providing notable clinical benefits that support its broader implementation in medical practice.

Abstract Image

Abstract Image

Abstract Image

内镜逆行胆管造影治疗胆管结石的疗效和安全性。
背景:目前胆管结石的手术治疗效果不理想,需要进一步探索更好的治疗方法或改进现有的手术方案。目的:评价内窥镜逆行胆管造影(ERCP)与胆总管探查(CBDE)治疗BDS的疗效和安全性。方法:本研究纳入常德市第一人民医院于2024年1月至2025年1月连续治疗的bds患者103例,其中53例接受ERCP (ERCP组),50例接受常规CBDE (CBDE组)。对临床疗效、手术成功率、安全性(胆漏发生率、手术部位感染、急性胰腺炎、急性胆管炎)、术后生化指标(总胆红素、血清淀粉酶)、手术相关指标(取石时间、手术时间、术中出血量、住院时间)、术后恢复指标(肠道恢复时间、黄疸消退,胆道引流清除,术后活动恢复)。结果:ERCP组的总体疗效明显优于CBDE组,手术成功率和结石取出时间相似。重要的是,接受ERCP的患者总的并发症更少,手术时间更短,术中出血量最小,住院时间更短。ERCP组的恢复参数如肠功能恢复、黄疸消退、胆道支架移除和正常活动恢复均有显著改善。两组术后总胆红素和淀粉酶均显著降低,组间无显著差异。结论:ERCP在治疗bds方面显示出有效性和安全性,从而提供了显著的临床效益,支持其在医疗实践中的广泛实施。
本文章由计算机程序翻译,如有差异,请以英文原文为准。
求助全文
约1分钟内获得全文 求助全文
来源期刊
自引率
5.00%
发文量
111
×
引用
GB/T 7714-2015
复制
MLA
复制
APA
复制
导出至
BibTeX EndNote RefMan NoteFirst NoteExpress
×
提示
您的信息不完整,为了账户安全,请先补充。
现在去补充
×
提示
您因"违规操作"
具体请查看互助需知
我知道了
×
提示
确定
请完成安全验证×
copy
已复制链接
快去分享给好友吧!
我知道了
右上角分享
点击右上角分享
0
联系我们:info@booksci.cn Book学术提供免费学术资源搜索服务,方便国内外学者检索中英文文献。致力于提供最便捷和优质的服务体验。 Copyright © 2023 布克学术 All rights reserved.
京ICP备2023020795号-1
ghs 京公网安备 11010802042870号
Book学术文献互助
Book学术文献互助群
群 号:604180095
Book学术官方微信