Epidemiology and risk of pulmonary complications following hepatobiliary surgical procedures: A retrospective study.

IF 1.7 4区 医学 Q3 GASTROENTEROLOGY & HEPATOLOGY
Hui-Jie Meng, Zhong-Hao Chen, Guang-Meng Nie, Zhao-Shuai Ji, Yu-Jie Wang, Yong-Fang Hu, Jing Tang
{"title":"Epidemiology and risk of pulmonary complications following hepatobiliary surgical procedures: A retrospective study.","authors":"Hui-Jie Meng, Zhong-Hao Chen, Guang-Meng Nie, Zhao-Shuai Ji, Yu-Jie Wang, Yong-Fang Hu, Jing Tang","doi":"10.4240/wjgs.v17.i9.109631","DOIUrl":null,"url":null,"abstract":"<p><strong>Background: </strong>Postoperative pulmonary complications (PPCs) are the most common complications following major upper abdominal surgeries, particularly hepatobiliary procedures, and significantly compromise surgical outcomes and patients' quality of life. Although the adoption of laparoscopy has lowered their incidence, PPCs remain a frequent and serious concern after hepatobiliary surgery. Existing research on risk factors specific to hepatobiliary surgeries is limited, particularly regarding the epidemiology and risk factors of PPCs in liver and gallbladder surgeries in China. Therefore, this study aimed to investigate the risk factors for PPCs in a large hepatobiliary center.</p><p><strong>Aim: </strong>To identify the incidence and risk factors for PPCs following hepatobiliary surgery based on perioperative variables.</p><p><strong>Methods: </strong>Retrospective data were collected from patients who underwent liver, gallbladder, or pancreatic surgery at a hepatobiliary center in China between May 2023 and December 2023. We retrospectively reviewed comprehensive medical records to extract demographic and hospital admission information for determining PPC incidence. Statistically significant variables were initially screened through univariate analysis, followed by binary logistic regression modeling to identify independent predictors of PPCs. Hospitalization expenditures and duration of stay were further contrasted across the study cohorts.</p><p><strong>Results: </strong>This study included 1941 patients who underwent liver, gallbladder, or pancreatic surgery, of whom 78 developed PPCs, resulting in an incidence rate of 4.02%. Logistic regression analysis revealed two independent predictors of PPCs in hepatobiliary surgery patients: Age ≥ 75 year (odds ratio = 8.350, 95%CI: 3.521-19.798, <i>P</i> < 0.001) and prolonged anesthesia (odds ratio = 1.052, 95%CI: 1.015-1.091, <i>P</i> = 0.006). Patients with PPCs had significantly elevated healthcare resource utilization, including higher total hospitalization costs, increased medication expenses, longer hospital stays, and extended postoperative admissions (all <i>P</i> < 0.001).</p><p><strong>Conclusion: </strong>Age ≥ 75 years and prolonged anesthesia emerged as independent predictors of PPCs following hepatobiliary surgery. These complications were correlated with protracted hospitalization and increased healthcare costs.</p>","PeriodicalId":23759,"journal":{"name":"World Journal of Gastrointestinal Surgery","volume":"17 9","pages":"109631"},"PeriodicalIF":1.7000,"publicationDate":"2025-09-27","publicationTypes":"Journal Article","fieldsOfStudy":null,"isOpenAccess":false,"openAccessPdf":"https://www.ncbi.nlm.nih.gov/pmc/articles/PMC12476712/pdf/","citationCount":"0","resultStr":null,"platform":"Semanticscholar","paperid":null,"PeriodicalName":"World Journal of Gastrointestinal Surgery","FirstCategoryId":"3","ListUrlMain":"https://doi.org/10.4240/wjgs.v17.i9.109631","RegionNum":4,"RegionCategory":"医学","ArticlePicture":[],"TitleCN":null,"AbstractTextCN":null,"PMCID":null,"EPubDate":"","PubModel":"","JCR":"Q3","JCRName":"GASTROENTEROLOGY & HEPATOLOGY","Score":null,"Total":0}
引用次数: 0

Abstract

Background: Postoperative pulmonary complications (PPCs) are the most common complications following major upper abdominal surgeries, particularly hepatobiliary procedures, and significantly compromise surgical outcomes and patients' quality of life. Although the adoption of laparoscopy has lowered their incidence, PPCs remain a frequent and serious concern after hepatobiliary surgery. Existing research on risk factors specific to hepatobiliary surgeries is limited, particularly regarding the epidemiology and risk factors of PPCs in liver and gallbladder surgeries in China. Therefore, this study aimed to investigate the risk factors for PPCs in a large hepatobiliary center.

Aim: To identify the incidence and risk factors for PPCs following hepatobiliary surgery based on perioperative variables.

Methods: Retrospective data were collected from patients who underwent liver, gallbladder, or pancreatic surgery at a hepatobiliary center in China between May 2023 and December 2023. We retrospectively reviewed comprehensive medical records to extract demographic and hospital admission information for determining PPC incidence. Statistically significant variables were initially screened through univariate analysis, followed by binary logistic regression modeling to identify independent predictors of PPCs. Hospitalization expenditures and duration of stay were further contrasted across the study cohorts.

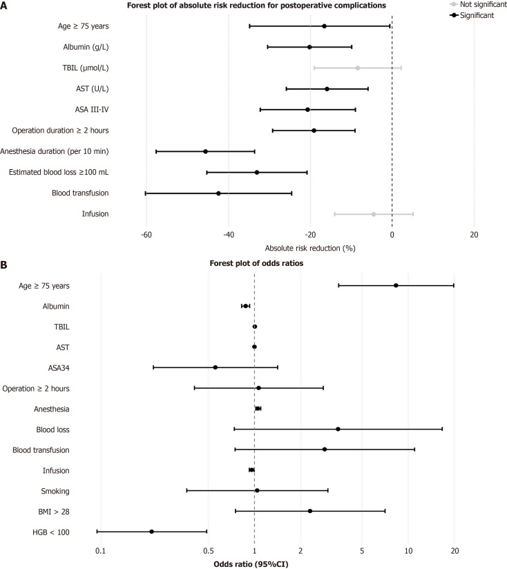
Results: This study included 1941 patients who underwent liver, gallbladder, or pancreatic surgery, of whom 78 developed PPCs, resulting in an incidence rate of 4.02%. Logistic regression analysis revealed two independent predictors of PPCs in hepatobiliary surgery patients: Age ≥ 75 year (odds ratio = 8.350, 95%CI: 3.521-19.798, P < 0.001) and prolonged anesthesia (odds ratio = 1.052, 95%CI: 1.015-1.091, P = 0.006). Patients with PPCs had significantly elevated healthcare resource utilization, including higher total hospitalization costs, increased medication expenses, longer hospital stays, and extended postoperative admissions (all P < 0.001).

Conclusion: Age ≥ 75 years and prolonged anesthesia emerged as independent predictors of PPCs following hepatobiliary surgery. These complications were correlated with protracted hospitalization and increased healthcare costs.

Abstract Image

Abstract Image

肝胆外科手术后肺部并发症的流行病学和风险:一项回顾性研究。
背景:术后肺部并发症(PPCs)是主要上腹部手术,特别是肝胆手术后最常见的并发症,严重影响手术效果和患者的生活质量。虽然腹腔镜的应用降低了PPCs的发生率,但PPCs仍然是肝胆外科手术后常见且严重的问题。现有关于肝胆外科手术危险因素的研究有限,特别是关于中国肝胆外科手术中PPCs的流行病学和危险因素的研究。因此,本研究旨在探讨大型肝胆中心PPCs的危险因素。目的:基于围手术期变量,探讨肝胆外科术后PPCs的发生率及危险因素。方法:回顾性收集2023年5月至2023年12月期间在中国肝胆中心接受肝脏、胆囊或胰腺手术的患者的数据。我们回顾性地回顾了全面的医疗记录,以提取人口统计和住院信息,以确定PPC的发病率。首先通过单变量分析筛选具有统计学意义的变量,然后通过二元逻辑回归模型确定PPCs的独立预测因子。住院费用和住院时间在研究队列中进一步对比。结果:本研究包括1941例接受肝、胆囊或胰腺手术的患者,其中78例发生PPCs,发生率为4.02%。Logistic回归分析显示肝胆手术患者PPCs的两个独立预测因素:年龄≥75岁(优势比= 8.350,95%CI: 3.521 ~ 19.798, P < 0.001)和麻醉时间延长(优势比= 1.052,95%CI: 1.015 ~ 1.091, P = 0.006)。PPCs患者的医疗资源利用率显著提高,包括总住院费用较高、药物费用增加、住院时间较长和术后住院时间延长(均P < 0.001)。结论:年龄≥75岁和麻醉时间延长是肝胆手术后PPCs的独立预测因素。这些并发症与住院时间延长和医疗费用增加有关。
本文章由计算机程序翻译,如有差异,请以英文原文为准。
求助全文
约1分钟内获得全文 求助全文
来源期刊
自引率
5.00%
发文量
111
×
引用
GB/T 7714-2015
复制
MLA
复制
APA
复制
导出至
BibTeX EndNote RefMan NoteFirst NoteExpress
×
提示
您的信息不完整,为了账户安全,请先补充。
现在去补充
×
提示
您因"违规操作"
具体请查看互助需知
我知道了
×
提示
确定
请完成安全验证×
copy
已复制链接
快去分享给好友吧!
我知道了
右上角分享
点击右上角分享
0
联系我们:info@booksci.cn Book学术提供免费学术资源搜索服务,方便国内外学者检索中英文文献。致力于提供最便捷和优质的服务体验。 Copyright © 2023 布克学术 All rights reserved.
京ICP备2023020795号-1
ghs 京公网安备 11010802042870号
Book学术文献互助
Book学术文献互助群
群 号:604180095
Book学术官方微信