Risk modeling of delayed postoperative bleeding after endoscopic submucosal dissection for early colorectal cancer and precancerous lesions.

IF 1.7 4区 医学 Q3 GASTROENTEROLOGY & HEPATOLOGY
Jun Qian, Ya-Li Tao, Shu-Sen Zheng
{"title":"Risk modeling of delayed postoperative bleeding after endoscopic submucosal dissection for early colorectal cancer and precancerous lesions.","authors":"Jun Qian, Ya-Li Tao, Shu-Sen Zheng","doi":"10.4240/wjgs.v17.i9.107326","DOIUrl":null,"url":null,"abstract":"<p><strong>Background: </strong>As a minimally invasive technique, endoscopic submucosal dissection (ESD) is widely used in treating early colorectal cancer (ECRC) and precancerous lesions (PCLs). However, a common postoperative complication - delayed postoperative bleeding (DPOB) - can significantly hinder patient recovery.</p><p><strong>Aim: </strong>To build and validate a predictive model for assessing post-ESD DPOB risk in ECRC and PCL patients, utilizing logistic regression methodology.</p><p><strong>Methods: </strong>A retrospective review was conducted on ECRC/PCL 302 patients who received ESD at our hospital between July 2021 and July 2024. The cohort was stratified based on the incidence of DPOB following ESD, forming DPOB and non-DPOB groups. Through allocation, they were further allocated into model and validation cohorts. Clinical variables from both cohorts were collated and subjected to univariate analysis to determine potential factors associated with post-ESD DPOB. Subsequently, we constructed a predictive model for DPOB risk employing logistic regression analysis. Model performance assessment used receiver operating characteristic curves in both the training and validation cohorts, with internal validation accomplished <i>via</i> 10-fold cross-validation.</p><p><strong>Results: </strong>The occurrence rate of DPOB was 9.93%. Univariate analysis revealed that the number of lesions, lesion size, lesion location, degree of submucosal fibrosis, and intraoperative bleeding were significantly associated with DPOB. Binary logistic regression analysis identified the number of lesions, lesion size, lesion location, and degree of submucosal fibrosis as independent DPOB determinants. A nomogram that was developed to quantify the DPOB risk exhibited that an increment in the total score corresponded to an increased risk. The model achieved area under the curve values of 0.831 and 0.821 in the model and validation groups, respectively, with <i>P</i> values of 0.853 and 0.203 in the Hosmer-Lemeshow test. The model demonstrated robust discriminative performance, with an average area under the curve of 0.795 (95% confidence interval: 0.702-0.887) in 10-fold cross-validation.</p><p><strong>Conclusion: </strong>Collectively, the presence of multiple lesions, lesion size of ≥ 3 cm, lesion localization in the rectum, and severe fibrosis are significant independent predictors of DPOB in patients undergoing surgery for ECRC or PCLs. The proposed risk prediction model, which integrates these factors, demonstrates excellent predictive accuracy and clinical utility, thereby providing a valuable tool for risk stratification and postoperative management in this patient population.</p>","PeriodicalId":23759,"journal":{"name":"World Journal of Gastrointestinal Surgery","volume":"17 9","pages":"107326"},"PeriodicalIF":1.7000,"publicationDate":"2025-09-27","publicationTypes":"Journal Article","fieldsOfStudy":null,"isOpenAccess":false,"openAccessPdf":"https://www.ncbi.nlm.nih.gov/pmc/articles/PMC12476782/pdf/","citationCount":"0","resultStr":null,"platform":"Semanticscholar","paperid":null,"PeriodicalName":"World Journal of Gastrointestinal Surgery","FirstCategoryId":"3","ListUrlMain":"https://doi.org/10.4240/wjgs.v17.i9.107326","RegionNum":4,"RegionCategory":"医学","ArticlePicture":[],"TitleCN":null,"AbstractTextCN":null,"PMCID":null,"EPubDate":"","PubModel":"","JCR":"Q3","JCRName":"GASTROENTEROLOGY & HEPATOLOGY","Score":null,"Total":0}
引用次数: 0

Abstract

Background: As a minimally invasive technique, endoscopic submucosal dissection (ESD) is widely used in treating early colorectal cancer (ECRC) and precancerous lesions (PCLs). However, a common postoperative complication - delayed postoperative bleeding (DPOB) - can significantly hinder patient recovery.

Aim: To build and validate a predictive model for assessing post-ESD DPOB risk in ECRC and PCL patients, utilizing logistic regression methodology.

Methods: A retrospective review was conducted on ECRC/PCL 302 patients who received ESD at our hospital between July 2021 and July 2024. The cohort was stratified based on the incidence of DPOB following ESD, forming DPOB and non-DPOB groups. Through allocation, they were further allocated into model and validation cohorts. Clinical variables from both cohorts were collated and subjected to univariate analysis to determine potential factors associated with post-ESD DPOB. Subsequently, we constructed a predictive model for DPOB risk employing logistic regression analysis. Model performance assessment used receiver operating characteristic curves in both the training and validation cohorts, with internal validation accomplished via 10-fold cross-validation.

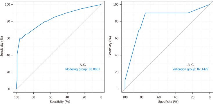
Results: The occurrence rate of DPOB was 9.93%. Univariate analysis revealed that the number of lesions, lesion size, lesion location, degree of submucosal fibrosis, and intraoperative bleeding were significantly associated with DPOB. Binary logistic regression analysis identified the number of lesions, lesion size, lesion location, and degree of submucosal fibrosis as independent DPOB determinants. A nomogram that was developed to quantify the DPOB risk exhibited that an increment in the total score corresponded to an increased risk. The model achieved area under the curve values of 0.831 and 0.821 in the model and validation groups, respectively, with P values of 0.853 and 0.203 in the Hosmer-Lemeshow test. The model demonstrated robust discriminative performance, with an average area under the curve of 0.795 (95% confidence interval: 0.702-0.887) in 10-fold cross-validation.

Conclusion: Collectively, the presence of multiple lesions, lesion size of ≥ 3 cm, lesion localization in the rectum, and severe fibrosis are significant independent predictors of DPOB in patients undergoing surgery for ECRC or PCLs. The proposed risk prediction model, which integrates these factors, demonstrates excellent predictive accuracy and clinical utility, thereby providing a valuable tool for risk stratification and postoperative management in this patient population.

Abstract Image

Abstract Image

早期结直肠癌及癌前病变内镜下粘膜下剥离术后迟发性出血的风险建模。
背景:内镜下粘膜剥离术(ESD)作为一种微创技术,广泛应用于早期结直肠癌(ECRC)和癌前病变(pcl)的治疗。然而,常见的术后并发症-延迟术后出血(DPOB) -可能会严重阻碍患者的康复。目的:利用logistic回归方法,建立并验证ECRC和PCL患者esd后DPOB风险评估的预测模型。方法:回顾性分析我院2021年7月至2024年7月期间接受ESD治疗的ECRC/PCL患者302例。根据ESD后DPOB的发生率对队列进行分层,分为DPOB组和非DPOB组。通过分配,将他们进一步分配到模型和验证队列中。对两个队列的临床变量进行整理并进行单变量分析,以确定与esd后DPOB相关的潜在因素。随后,我们利用逻辑回归分析构建了DPOB风险的预测模型。模型性能评估在训练和验证队列中均使用受试者工作特征曲线,内部验证通过10倍交叉验证完成。结果:DPOB的发生率为9.93%。单因素分析显示,病变数量、病变大小、病变位置、黏膜下纤维化程度、术中出血与DPOB显著相关。二元logistic回归分析确定病变数量、病变大小、病变位置和粘膜下纤维化程度是DPOB的独立决定因素。为量化DPOB风险而开发的nomogram显示总分的增加与风险的增加相对应。模型和验证组的曲线下面积分别为0.831和0.821,Hosmer-Lemeshow检验的P值分别为0.853和0.203。10倍交叉验证的平均曲线下面积为0.795(95%置信区间为0.702 ~ 0.887),模型具有稳健的判别性能。结论:总的来说,存在多发病变、病变大小≥3cm、病变定位于直肠、严重纤维化是ECRC或pcl手术患者DPOB的重要独立预测因素。该风险预测模型综合了这些因素,具有良好的预测准确性和临床实用性,为该患者群体的风险分层和术后管理提供了有价值的工具。
本文章由计算机程序翻译,如有差异,请以英文原文为准。
求助全文
约1分钟内获得全文 求助全文
来源期刊
自引率
5.00%
发文量
111
×
引用
GB/T 7714-2015
复制
MLA
复制
APA
复制
导出至
BibTeX EndNote RefMan NoteFirst NoteExpress
×
提示
您的信息不完整,为了账户安全,请先补充。
现在去补充
×
提示
您因"违规操作"
具体请查看互助需知
我知道了
×
提示
确定
请完成安全验证×
copy
已复制链接
快去分享给好友吧!
我知道了
右上角分享
点击右上角分享
0
联系我们:info@booksci.cn Book学术提供免费学术资源搜索服务,方便国内外学者检索中英文文献。致力于提供最便捷和优质的服务体验。 Copyright © 2023 布克学术 All rights reserved.
京ICP备2023020795号-1
ghs 京公网安备 11010802042870号
Book学术文献互助
Book学术文献互助群
群 号:604180095
Book学术官方微信