Clinical efficacy of neoadjuvant chemotherapy combined with radical gastrectomy in elderly patients with advanced gastric cancer.

IF 1.7 4区 医学 Q3 GASTROENTEROLOGY & HEPATOLOGY
Liu-Liu Wei, Yue-Liang Lai, Kang-Hua Qiu, Xin He, Tao Yang
{"title":"Clinical efficacy of neoadjuvant chemotherapy combined with radical gastrectomy in elderly patients with advanced gastric cancer.","authors":"Liu-Liu Wei, Yue-Liang Lai, Kang-Hua Qiu, Xin He, Tao Yang","doi":"10.4240/wjgs.v17.i9.106995","DOIUrl":null,"url":null,"abstract":"<p><strong>Background: </strong>Neoadjuvant chemotherapy combined with radical gastrectomy is a safe and effective treatment for elderly patients with advanced gastric cancer. Despite the increased risk of pulmonary complications, such as pleural effusion and pulmonary infection, postoperative recovery time and survival outcomes are similar to younger patients.</p><p><strong>Aim: </strong>To investigate the safety and efficacy of neoadjuvant chemotherapy combined with radical gastrectomy in elderly patients with advanced gastric cancer by comparing treatment-related complications, surgical outcomes, and long-term survival between elderly patients (≥ 65 years) and younger patients (< 65 years).</p><p><strong>Methods: </strong>The clinical data of 148 patients with advanced gastric cancer in elderly patients who received neoadjuvant chemotherapy in our hospital from January 2015 to October 2023 were retrospectively analyzed, and these patients were divided into young and middle-aged groups (111 patients) and elderly groups (37 patients), and their clinicopathology and prognosis were compared.</p><p><strong>Results: </strong>Neoadjuvant chemotherapy induced anemia (<i>χ</i> <sup>2</sup> = 0.235, <i>P</i> = 0.628), leukopenia (<i>χ</i> <sup>2</sup> = 0.613, <i>P</i> = 0.434), neutropenia (<i>χ</i> <sup>2</sup> = 0.011, <i>P</i> = 0.918) and thrombocytopenia (<i>χ</i> <sup>2</sup> = 0.253, <i>P</i> = 0.628) in both groups. Hematological complications, nausea (<i>χ</i> <sup>2</sup> = 0.092, <i>P</i> = 0.762), vomiting (<i>χ</i> <sup>2</sup> = 0.166, <i>P</i> = 0.683), diarrhea (<i>χ</i> <sup>2</sup> = 0.015, <i>P</i> = 0.902) and mucositis (<i>χ</i> <sup>2</sup> = 0.199), and there was no significant difference in the incidence of nonhematological complications (<i>P</i> = 0.766). Between the old group and the young and middle-aged groups, no significant differences were observed in operative time (<i>t</i> = 0.270, <i>P</i> = 0.604), intraoperative blood loss (<i>t</i> = 1.140, <i>P</i> = 0.250), or R0 removal rate (<i>χ</i> <sup>2</sup> = 0.105, <i>P</i> = 0.750). Although the incidence of postoperative complications was higher in the old group (37.8%) compared to the young and middle-aged groups (25.2%), this difference did not reach statistical significance (<i>χ</i> <sup>2</sup> = 2.172, <i>P</i> = 0.141). However, the elderly group demonstrated significantly higher incidences of pleural effusion (<i>χ</i> <sup>2</sup> = 7.007, <i>P</i> = 0.008) and pulmonary infection (<i>χ</i> <sup>2</sup> = 10.204, <i>P</i> = 0.001) than the young and middle-aged groups. When examining survival outcomes, neither the 3-year progression-free survival (<i>t</i> = 0.494, <i>P</i> = 0.482) nor the 3-year overall survival (<i>t</i> = 0.013, <i>P</i> = 0.908) showed significant differences between the elderly group and the young and middle-aged groups.</p><p><strong>Conclusion: </strong>Neoadjuvant chemotherapy combined with radical gastrectomy is safe and effective in elderly patients with advanced gastric cancer, but there are more pulmonary complications (specifically pleural effusion and pulmonary infection) during the perioperative period.</p>","PeriodicalId":23759,"journal":{"name":"World Journal of Gastrointestinal Surgery","volume":"17 9","pages":"106995"},"PeriodicalIF":1.7000,"publicationDate":"2025-09-27","publicationTypes":"Journal Article","fieldsOfStudy":null,"isOpenAccess":false,"openAccessPdf":"https://www.ncbi.nlm.nih.gov/pmc/articles/PMC12476703/pdf/","citationCount":"0","resultStr":null,"platform":"Semanticscholar","paperid":null,"PeriodicalName":"World Journal of Gastrointestinal Surgery","FirstCategoryId":"3","ListUrlMain":"https://doi.org/10.4240/wjgs.v17.i9.106995","RegionNum":4,"RegionCategory":"医学","ArticlePicture":[],"TitleCN":null,"AbstractTextCN":null,"PMCID":null,"EPubDate":"","PubModel":"","JCR":"Q3","JCRName":"GASTROENTEROLOGY & HEPATOLOGY","Score":null,"Total":0}
引用次数: 0

Abstract

Background: Neoadjuvant chemotherapy combined with radical gastrectomy is a safe and effective treatment for elderly patients with advanced gastric cancer. Despite the increased risk of pulmonary complications, such as pleural effusion and pulmonary infection, postoperative recovery time and survival outcomes are similar to younger patients.

Aim: To investigate the safety and efficacy of neoadjuvant chemotherapy combined with radical gastrectomy in elderly patients with advanced gastric cancer by comparing treatment-related complications, surgical outcomes, and long-term survival between elderly patients (≥ 65 years) and younger patients (< 65 years).

Methods: The clinical data of 148 patients with advanced gastric cancer in elderly patients who received neoadjuvant chemotherapy in our hospital from January 2015 to October 2023 were retrospectively analyzed, and these patients were divided into young and middle-aged groups (111 patients) and elderly groups (37 patients), and their clinicopathology and prognosis were compared.

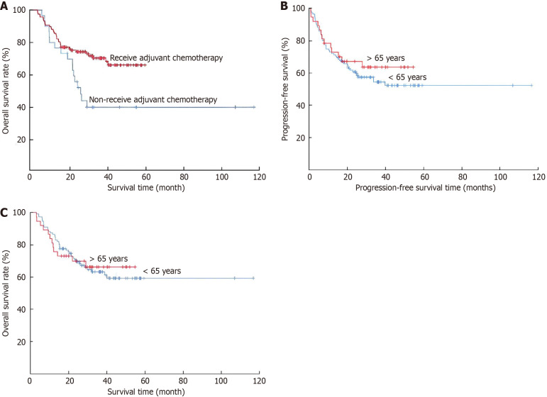
Results: Neoadjuvant chemotherapy induced anemia (χ 2 = 0.235, P = 0.628), leukopenia (χ 2 = 0.613, P = 0.434), neutropenia (χ 2 = 0.011, P = 0.918) and thrombocytopenia (χ 2 = 0.253, P = 0.628) in both groups. Hematological complications, nausea (χ 2 = 0.092, P = 0.762), vomiting (χ 2 = 0.166, P = 0.683), diarrhea (χ 2 = 0.015, P = 0.902) and mucositis (χ 2 = 0.199), and there was no significant difference in the incidence of nonhematological complications (P = 0.766). Between the old group and the young and middle-aged groups, no significant differences were observed in operative time (t = 0.270, P = 0.604), intraoperative blood loss (t = 1.140, P = 0.250), or R0 removal rate (χ 2 = 0.105, P = 0.750). Although the incidence of postoperative complications was higher in the old group (37.8%) compared to the young and middle-aged groups (25.2%), this difference did not reach statistical significance (χ 2 = 2.172, P = 0.141). However, the elderly group demonstrated significantly higher incidences of pleural effusion (χ 2 = 7.007, P = 0.008) and pulmonary infection (χ 2 = 10.204, P = 0.001) than the young and middle-aged groups. When examining survival outcomes, neither the 3-year progression-free survival (t = 0.494, P = 0.482) nor the 3-year overall survival (t = 0.013, P = 0.908) showed significant differences between the elderly group and the young and middle-aged groups.

Conclusion: Neoadjuvant chemotherapy combined with radical gastrectomy is safe and effective in elderly patients with advanced gastric cancer, but there are more pulmonary complications (specifically pleural effusion and pulmonary infection) during the perioperative period.

Abstract Image

新辅助化疗联合胃癌根治术治疗老年晚期胃癌的临床疗效。
背景:新辅助化疗联合胃癌根治术是一种安全有效的治疗老年晚期胃癌的方法。尽管肺部并发症的风险增加,如胸腔积液和肺部感染,但术后恢复时间和生存结果与年轻患者相似。目的:通过比较老年患者(≥65岁)和年轻患者(< 65岁)的治疗相关并发症、手术结局和长期生存,探讨新辅助化疗联合胃癌根治术治疗老年晚期胃癌的安全性和有效性。方法:回顾性分析我院2015年1月至2023年10月接受新辅助化疗的148例老年晚期胃癌患者的临床资料,将患者分为中青年组(111例)和老年组(37例),比较其临床病理及预后。结果:两组患者新辅助化疗所致贫血(χ 2 = 0.235, P = 0.628)、白细胞减少(χ 2 = 0.613, P = 0.434)、中性粒细胞减少(χ 2 = 0.011, P = 0.918)、血小板减少(χ 2 = 0.253, P = 0.628)。血液学并发症、恶心(χ 2 = 0.092, P = 0.762)、呕吐(χ 2 = 0.166, P = 0.683)、腹泻(χ 2 = 0.015, P = 0.902)、黏膜炎(χ 2 = 0.199)的发生率差异无统计学意义(P = 0.766)。老年组与中青年组手术时间(t = 0.270, P = 0.604)、术中出血量(t = 1.140, P = 0.250)、R0去除率(χ 2 = 0.105, P = 0.750)差异均无统计学意义。老年组术后并发症发生率(37.8%)高于中青年组(25.2%),但差异无统计学意义(χ 2 = 2.172, P = 0.141)。老年组胸腔积液(χ 2 = 7.007, P = 0.008)和肺部感染(χ 2 = 10.204, P = 0.001)的发生率明显高于中青年组。在检查生存结局时,老年组与中青年组的3年无进展生存期(t = 0.494, P = 0.482)和3年总生存期(t = 0.013, P = 0.908)均无显著差异。结论:新辅助化疗联合胃癌根治术治疗老年晚期胃癌安全有效,但围手术期肺部并发症(特别是胸腔积液和肺部感染)较多。
本文章由计算机程序翻译,如有差异,请以英文原文为准。
求助全文
约1分钟内获得全文 求助全文
来源期刊
自引率
5.00%
发文量
111
×
引用
GB/T 7714-2015
复制
MLA
复制
APA
复制
导出至
BibTeX EndNote RefMan NoteFirst NoteExpress
×
提示
您的信息不完整,为了账户安全,请先补充。
现在去补充
×
提示
您因"违规操作"
具体请查看互助需知
我知道了
×
提示
确定
请完成安全验证×
copy
已复制链接
快去分享给好友吧!
我知道了
右上角分享
点击右上角分享
0
联系我们:info@booksci.cn Book学术提供免费学术资源搜索服务,方便国内外学者检索中英文文献。致力于提供最便捷和优质的服务体验。 Copyright © 2023 布克学术 All rights reserved.
京ICP备2023020795号-1
ghs 京公网安备 11010802042870号
Book学术文献互助
Book学术文献互助群
群 号:604180095
Book学术官方微信