Dysregulated serum lipid profiles in neovascular age-related macular degeneration revealed by UPLC‒MS/MS lipidomics.

IF 3.9 2区 医学 Q2 BIOCHEMISTRY & MOLECULAR BIOLOGY
Yuan Qu, Yujuan Liu, Junwei Fang, Chong Chen, Lu Cheng, Xiaoyin Xu, Jing Jin, Xia Chen, Tian Niu, Hanying Wang, Xindan Xing, Xin Shi, Yinchen Shen, Kun Liu
{"title":"Dysregulated serum lipid profiles in neovascular age-related macular degeneration revealed by UPLC‒MS/MS lipidomics.","authors":"Yuan Qu, Yujuan Liu, Junwei Fang, Chong Chen, Lu Cheng, Xiaoyin Xu, Jing Jin, Xia Chen, Tian Niu, Hanying Wang, Xindan Xing, Xin Shi, Yinchen Shen, Kun Liu","doi":"10.1186/s12944-025-02735-y","DOIUrl":null,"url":null,"abstract":"<p><strong>Purpose: </strong>Neovascular age-related macular degeneration (nAMD) is a major aetiology of vision loss characterized by lipid metabolism dysregulation. This study investigated the alterations in lipid profiles associated with wet AMD (wAMD) and its subtype, polypoidal choroidal vasculopathy (PCV).</p><p><strong>Methods: </strong>A cross-sectional lipidomic analysis was derived from a prospective longitudinal study in China (2017-2019). Serum samples from 195 wAMD patients, 130 PCV patients and 119 controls were analysed using ultra-performance liquid chromatography‒tandem mass spectrometry (UPLC‒MS/MS), focusing on acylcarnitines, glycerophospholipids and sphingolipids. Training and test sets were randomly generated after sample size matching. Orthogonal partial least squares-discriminant (OPLS-DA), univariate and multivariate analyses were performed. The selection criteria for differential lipids were a variable importance in projection (VIP) > 1.0, a fold change (FC) > 1.2 or < 0.83, and a false discovery rate (FDR) < 0.05. Key lipids were refined using the Boruta algorithm and evaluated through Firth regression and receiver operating characteristic (ROC) analysis. Spearman's rank correlation analysis was used to assess the relationships between the differential lipids and ocular indicators, including central retinal thickness (CRT), central retinal volume (CRV) and best-corrected visual acuity (BCVA).</p><p><strong>Results: </strong>No significant Lipid profile differences were detected between wAMD and PCV. Compared with the controls, wAMD patients had 53 differential lipids (52 upregulated, 1 downregulated), whereas PCV patients had 34 (31 upregulated, 3 downregulated). Upregulated PC ae C42:0 was consistently associated with ocular indicators in both groups. A 9-lipid panel for wAMD and a 6-lipid panel for PCV showed moderate diagnostic performance in the ROC models. Significant correlations with macular structure and BCVA were observed in PCV patients for 12 phosphatidylcholines, 3 sphingomyelins and 2 acylcarnitines and in wAMD patients for one phosphatidylcholine and one acylcarnitine. Downregulated lipids were negatively correlated with CRT or CRV, whereas upregulated lipids showed the opposite trend. Age-related lipid associations were found in wAMD but not in PCV patients.</p><p><strong>Conclusions: </strong>PCV and wAMD had shared and distinct lipidomic dysregulations, with stronger systemic-retinal associations in PCV, suggesting that subtype-specific metabolic reprogramming may affect nAMD pathology, offering new perspectives regarding early diagnosis and intervention strategies to mitigate disease burden.</p><p><strong>Trial registration: </strong>NCT03128463 ( www.</p><p><strong>Clinicaltrial: </strong>gov ) was registered on 9 March 2017.</p>","PeriodicalId":18073,"journal":{"name":"Lipids in Health and Disease","volume":"24 1","pages":"302"},"PeriodicalIF":3.9000,"publicationDate":"2025-09-29","publicationTypes":"Journal Article","fieldsOfStudy":null,"isOpenAccess":false,"openAccessPdf":"https://www.ncbi.nlm.nih.gov/pmc/articles/PMC12481816/pdf/","citationCount":"0","resultStr":null,"platform":"Semanticscholar","paperid":null,"PeriodicalName":"Lipids in Health and Disease","FirstCategoryId":"3","ListUrlMain":"https://doi.org/10.1186/s12944-025-02735-y","RegionNum":2,"RegionCategory":"医学","ArticlePicture":[],"TitleCN":null,"AbstractTextCN":null,"PMCID":null,"EPubDate":"","PubModel":"","JCR":"Q2","JCRName":"BIOCHEMISTRY & MOLECULAR BIOLOGY","Score":null,"Total":0}
引用次数: 0

Abstract

Purpose: Neovascular age-related macular degeneration (nAMD) is a major aetiology of vision loss characterized by lipid metabolism dysregulation. This study investigated the alterations in lipid profiles associated with wet AMD (wAMD) and its subtype, polypoidal choroidal vasculopathy (PCV).

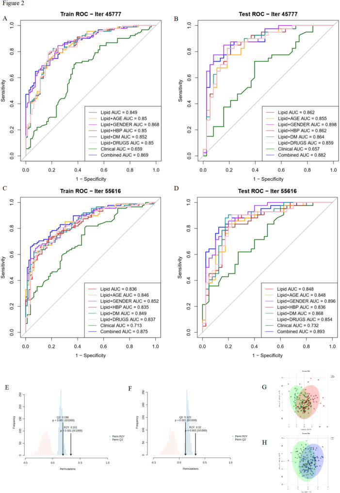
Methods: A cross-sectional lipidomic analysis was derived from a prospective longitudinal study in China (2017-2019). Serum samples from 195 wAMD patients, 130 PCV patients and 119 controls were analysed using ultra-performance liquid chromatography‒tandem mass spectrometry (UPLC‒MS/MS), focusing on acylcarnitines, glycerophospholipids and sphingolipids. Training and test sets were randomly generated after sample size matching. Orthogonal partial least squares-discriminant (OPLS-DA), univariate and multivariate analyses were performed. The selection criteria for differential lipids were a variable importance in projection (VIP) > 1.0, a fold change (FC) > 1.2 or < 0.83, and a false discovery rate (FDR) < 0.05. Key lipids were refined using the Boruta algorithm and evaluated through Firth regression and receiver operating characteristic (ROC) analysis. Spearman's rank correlation analysis was used to assess the relationships between the differential lipids and ocular indicators, including central retinal thickness (CRT), central retinal volume (CRV) and best-corrected visual acuity (BCVA).

Results: No significant Lipid profile differences were detected between wAMD and PCV. Compared with the controls, wAMD patients had 53 differential lipids (52 upregulated, 1 downregulated), whereas PCV patients had 34 (31 upregulated, 3 downregulated). Upregulated PC ae C42:0 was consistently associated with ocular indicators in both groups. A 9-lipid panel for wAMD and a 6-lipid panel for PCV showed moderate diagnostic performance in the ROC models. Significant correlations with macular structure and BCVA were observed in PCV patients for 12 phosphatidylcholines, 3 sphingomyelins and 2 acylcarnitines and in wAMD patients for one phosphatidylcholine and one acylcarnitine. Downregulated lipids were negatively correlated with CRT or CRV, whereas upregulated lipids showed the opposite trend. Age-related lipid associations were found in wAMD but not in PCV patients.

Conclusions: PCV and wAMD had shared and distinct lipidomic dysregulations, with stronger systemic-retinal associations in PCV, suggesting that subtype-specific metabolic reprogramming may affect nAMD pathology, offering new perspectives regarding early diagnosis and intervention strategies to mitigate disease burden.

Trial registration: NCT03128463 ( www.

Clinicaltrial: gov ) was registered on 9 March 2017.

Abstract Image

Abstract Image

Abstract Image

UPLC-MS /MS脂质组学揭示的新生血管性年龄相关性黄斑变性患者血清脂质谱失调
目的:新生血管性年龄相关性黄斑变性(nAMD)是一种以脂质代谢失调为特征的视力丧失的主要病因。本研究探讨了与湿性AMD (wAMD)及其亚型息肉样脉络膜血管病变(PCV)相关的脂质谱变化。方法:对中国一项前瞻性纵向研究(2017-2019)进行横断面脂质组学分析。采用超高效液相色谱-串联质谱(UPLC-MS /MS)对195例wAMD患者、130例PCV患者和119例对照组的血清样本进行分析,重点分析酰基肉碱、甘油磷脂和鞘脂。样本量匹配后随机生成训练集和测试集。进行正交偏最小二乘-判别(OPLS-DA)、单因素和多因素分析。差异脂质选择标准为:可变重要度投影(VIP) >.0,倍变(FC) >.2或结果:在wAMD和PCV之间未检测到显著的脂质谱差异。与对照组相比,wAMD患者有53种不同的脂质(52种上调,1种下调),而PCV患者有34种(31种上调,3种下调)。在两组中,上调的PC ae C42:0与眼部指标一致相关。在ROC模型中,wAMD的9脂质面板和PCV的6脂质面板显示出中等的诊断性能。PCV患者中有12种磷脂酰胆碱、3种鞘鞘磷脂和2种酰基肉碱,wAMD患者中有1种磷脂酰胆碱和1种酰基肉碱与黄斑结构和BCVA有显著相关性。下调的血脂与CRT或CRV呈负相关,而上调的血脂呈相反的趋势。年龄相关的脂质关联在wAMD患者中发现,但在PCV患者中未发现。结论:PCV和wAMD具有共同且独特的脂质组失调,PCV具有更强的系统性视网膜关联,提示亚型特异性代谢重编程可能影响nAMD病理,为早期诊断和减轻疾病负担的干预策略提供了新的视角。试验注册:NCT03128463 (www.Clinicaltrial: gov)于2017年3月9日注册。
本文章由计算机程序翻译,如有差异,请以英文原文为准。
求助全文
约1分钟内获得全文 求助全文
来源期刊
Lipids in Health and Disease
Lipids in Health and Disease 生物-生化与分子生物学
CiteScore
7.70
自引率
2.20%
发文量
122
审稿时长
3-8 weeks
期刊介绍: Lipids in Health and Disease is an open access, peer-reviewed, journal that publishes articles on all aspects of lipids: their biochemistry, pharmacology, toxicology, role in health and disease, and the synthesis of new lipid compounds. Lipids in Health and Disease is aimed at all scientists, health professionals and physicians interested in the area of lipids. Lipids are defined here in their broadest sense, to include: cholesterol, essential fatty acids, saturated fatty acids, phospholipids, inositol lipids, second messenger lipids, enzymes and synthetic machinery that is involved in the metabolism of various lipids in the cells and tissues, and also various aspects of lipid transport, etc. In addition, the journal also publishes research that investigates and defines the role of lipids in various physiological processes, pathology and disease. In particular, the journal aims to bridge the gap between the bench and the clinic by publishing articles that are particularly relevant to human diseases and the role of lipids in the management of various diseases.
×
引用
GB/T 7714-2015
复制
MLA
复制
APA
复制
导出至
BibTeX EndNote RefMan NoteFirst NoteExpress
×
提示
您的信息不完整,为了账户安全,请先补充。
现在去补充
×
提示
您因"违规操作"
具体请查看互助需知
我知道了
×
提示
确定
请完成安全验证×
copy
已复制链接
快去分享给好友吧!
我知道了
右上角分享
点击右上角分享
0
联系我们:info@booksci.cn Book学术提供免费学术资源搜索服务,方便国内外学者检索中英文文献。致力于提供最便捷和优质的服务体验。 Copyright © 2023 布克学术 All rights reserved.
京ICP备2023020795号-1
ghs 京公网安备 11010802042870号
Book学术文献互助
Book学术文献互助群
群 号:604180095
Book学术官方微信