Prechemoradiotherapy number of natural teeth as a prognostic factor in patients with locally advanced nasopharyngeal cancer: A retrospective observational study.

IF 1.5 4区 医学 Q4 MEDICINE, RESEARCH & EXPERIMENTAL
Journal of International Medical Research Pub Date : 2025-09-01 Epub Date: 2025-09-29 DOI:10.1177/03000605251379977
Erkan Topkan, Efsun Somay, Sibel Bascil, Duriye Ozturk, Ugur Selek
{"title":"Prechemoradiotherapy number of natural teeth as a prognostic factor in patients with locally advanced nasopharyngeal cancer: A retrospective observational study.","authors":"Erkan Topkan, Efsun Somay, Sibel Bascil, Duriye Ozturk, Ugur Selek","doi":"10.1177/03000605251379977","DOIUrl":null,"url":null,"abstract":"<p><p>ObjectiveThis study evaluated the prognostic value of the pretreatment number of natural teeth on progression-free survival and overall survival in patients with locally advanced nasopharyngeal carcinoma treated with concurrent chemoradiotherapy.MethodsWe retrospectively analyzed 248 patients with locally advanced nasopharyngeal carcinoma treated with intensity-modulated radiotherapy-based concurrent chemoradiotherapy and adjuvant chemotherapy between June 2010 and December 2021. The number of natural teeth was assessed before concurrent chemoradiotherapy. A receiver operating characteristic curve analysis was performed to identify the optimal number of natural teeth threshold predictive of overall survival and progression-free survival.ResultsThe optimal cutoff value for the number of natural teeth was 19.5 (area under the curve: 70.6%). Patients were grouped into those with a number of natural teeth <20 (<i>n</i> = 76) and those with a number of natural teeth ≥20 (<i>n</i> = 172). The number of natural teeth ≥20 group had significantly improved overall survival (not reached vs. 71.0 months; p < 0.001) and progression-free survival (117 vs. 38.0 months; p < 0.001). Multivariate analysis confirmed the number of natural teeth <20 as an independent predictor of worse outcomes.ConclusionsA pretreatment number of natural teeth <20 independently predicts poorer survival in patients with locally advanced nasopharyngeal carcinoma receiving concurrent chemoradiotherapy, suggesting that the number of natural teeth may serve as a simple, accessible prognostic biomarker in head and neck oncology.</p>","PeriodicalId":16129,"journal":{"name":"Journal of International Medical Research","volume":"53 9","pages":"3000605251379977"},"PeriodicalIF":1.5000,"publicationDate":"2025-09-01","publicationTypes":"Journal Article","fieldsOfStudy":null,"isOpenAccess":false,"openAccessPdf":"https://www.ncbi.nlm.nih.gov/pmc/articles/PMC12480824/pdf/","citationCount":"0","resultStr":null,"platform":"Semanticscholar","paperid":null,"PeriodicalName":"Journal of International Medical Research","FirstCategoryId":"3","ListUrlMain":"https://doi.org/10.1177/03000605251379977","RegionNum":4,"RegionCategory":"医学","ArticlePicture":[],"TitleCN":null,"AbstractTextCN":null,"PMCID":null,"EPubDate":"2025/9/29 0:00:00","PubModel":"Epub","JCR":"Q4","JCRName":"MEDICINE, RESEARCH & EXPERIMENTAL","Score":null,"Total":0}
引用次数: 0

Abstract

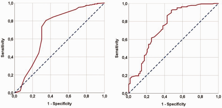
ObjectiveThis study evaluated the prognostic value of the pretreatment number of natural teeth on progression-free survival and overall survival in patients with locally advanced nasopharyngeal carcinoma treated with concurrent chemoradiotherapy.MethodsWe retrospectively analyzed 248 patients with locally advanced nasopharyngeal carcinoma treated with intensity-modulated radiotherapy-based concurrent chemoradiotherapy and adjuvant chemotherapy between June 2010 and December 2021. The number of natural teeth was assessed before concurrent chemoradiotherapy. A receiver operating characteristic curve analysis was performed to identify the optimal number of natural teeth threshold predictive of overall survival and progression-free survival.ResultsThe optimal cutoff value for the number of natural teeth was 19.5 (area under the curve: 70.6%). Patients were grouped into those with a number of natural teeth <20 (n = 76) and those with a number of natural teeth ≥20 (n = 172). The number of natural teeth ≥20 group had significantly improved overall survival (not reached vs. 71.0 months; p < 0.001) and progression-free survival (117 vs. 38.0 months; p < 0.001). Multivariate analysis confirmed the number of natural teeth <20 as an independent predictor of worse outcomes.ConclusionsA pretreatment number of natural teeth <20 independently predicts poorer survival in patients with locally advanced nasopharyngeal carcinoma receiving concurrent chemoradiotherapy, suggesting that the number of natural teeth may serve as a simple, accessible prognostic biomarker in head and neck oncology.

Abstract Image

Abstract Image

Abstract Image

局部晚期鼻咽癌患者放化疗前天然牙数量作为预后因素:一项回顾性观察研究。
目的探讨天然牙预处理数量对局部晚期鼻咽癌同步放化疗患者无进展生存期和总生存期的预后价值。方法回顾性分析2010年6月至2021年12月期间248例局部晚期鼻咽癌患者接受调强放疗为主的同步放化疗和辅助化疗。在同步放化疗前评估天然牙的数量。进行受试者工作特征曲线分析,以确定预测总生存期和无进展生存期的最佳自然牙数阈值。结果自然牙数的最佳截断值为19.5(曲线下面积为70.6%)。将患者分为天然牙数76颗(n = 76)和天然牙数≥20颗(n = 172)。自然牙数≥20个组总生存期(未达到vs. 71.0个月)显著提高
本文章由计算机程序翻译,如有差异,请以英文原文为准。
求助全文
约1分钟内获得全文 求助全文
来源期刊
CiteScore
3.20
自引率
0.00%
发文量
555
审稿时长
1 months
期刊介绍: _Journal of International Medical Research_ is a leading international journal for rapid publication of original medical, pre-clinical and clinical research, reviews, preliminary and pilot studies on a page charge basis. As a service to authors, every article accepted by peer review will be given a full technical edit to make papers as accessible and readable to the international medical community as rapidly as possible. Once the technical edit queries have been answered to the satisfaction of the journal, the paper will be published and made available freely to everyone under a creative commons licence. Symposium proceedings, summaries of presentations or collections of medical, pre-clinical or clinical data on a specific topic are welcome for publication as supplements. Print ISSN: 0300-0605
×
引用
GB/T 7714-2015
复制
MLA
复制
APA
复制
导出至
BibTeX EndNote RefMan NoteFirst NoteExpress
×
提示
您的信息不完整,为了账户安全,请先补充。
现在去补充
×
提示
您因"违规操作"
具体请查看互助需知
我知道了
×
提示
确定
请完成安全验证×
copy
已复制链接
快去分享给好友吧!
我知道了
右上角分享
点击右上角分享
0
联系我们:info@booksci.cn Book学术提供免费学术资源搜索服务,方便国内外学者检索中英文文献。致力于提供最便捷和优质的服务体验。 Copyright © 2023 布克学术 All rights reserved.
京ICP备2023020795号-1
ghs 京公网安备 11010802042870号
Book学术文献互助
Book学术文献互助群
群 号:604180095
Book学术官方微信