Predictive role of parenteral and enteral nutrition duration in parenteral nutrition-associated cholestasis among very preterm infants.

IF 2 3区 医学 Q2 PEDIATRICS
Frontiers in Pediatrics Pub Date : 2025-09-11 eCollection Date: 2025-01-01 DOI:10.3389/fped.2025.1651046
Xiaolei Ma, Ying Zhou, Yanting Guo, Li Ye
{"title":"Predictive role of parenteral and enteral nutrition duration in parenteral nutrition-associated cholestasis among very preterm infants.","authors":"Xiaolei Ma, Ying Zhou, Yanting Guo, Li Ye","doi":"10.3389/fped.2025.1651046","DOIUrl":null,"url":null,"abstract":"<p><strong>Background: </strong>Parenteral nutrition-associated cholestasis (PNAC) is common among very and extremely preterm infants (VPT). This study aims to investigate the relationship between the duration of parenteral nutrition (PN), enteral nutrition (EN), and the PN/EN ratio and the occurrence of PNAC in VPT, with the goal of providing a basis for the early identification of high-risk infants in clinical practice.</p><p><strong>Methods: </strong>A total of 230 VPT were retrospectively enrolled and divided into two groups based on the occurrence of PNAC. Baseline characteristics such as gestational age, sex, and birth weight, as well as clinical features, were compared between groups. Multivariable logistic regression was used to analyze the association between the duration of enteral nutrition (EN), parenteral nutrition (PN), and the development of PNAC. Interaction effects between PN, EN, the PN/EN ratio, and clinical variables were also explored. Restricted cubic spline (RCS) regression was employed to assess potential nonlinear relationships between PN, EN duration, PN/EN ratio, and PNAC. Predictive performance was evaluated using the area under the receiver operating characteristic curve (AUC).</p><p><strong>Results: </strong>Infants in the PNAC group had significantly lower gestational age, birth weight, and Apgar scores compared to the non-PNAC group. In contrast, the incidence of premature rupture of membranes and mechanical ventilation was significantly higher. In VPT, longer PN duration, shorter EN duration, and a higher PN/EN ratio were significantly associated with increased risk of PNAC, showing linear or near-linear trends. ROC analysis indicated that the PN/EN ratio had better predictive performance for PNAC than either PN or EN duration alone. Interaction analysis revealed that the association between PN/EN and PNAC risk was stronger in infants with lower birth weight and lower 1-minute Apgar scores.</p><p><strong>Conclusions: </strong>Longer PN duration, shorter EN duration, and a higher PN/EN ratio are significant risk factors for PNAC in VPT. The PN/EN ratio demonstrated the best predictive accuracy. The association between PN/EN and PNAC was more pronounced in infants with lower birth weight and lower 1-minute Apgar scores.</p>","PeriodicalId":12637,"journal":{"name":"Frontiers in Pediatrics","volume":"13 ","pages":"1651046"},"PeriodicalIF":2.0000,"publicationDate":"2025-09-11","publicationTypes":"Journal Article","fieldsOfStudy":null,"isOpenAccess":false,"openAccessPdf":"https://www.ncbi.nlm.nih.gov/pmc/articles/PMC12460352/pdf/","citationCount":"0","resultStr":null,"platform":"Semanticscholar","paperid":null,"PeriodicalName":"Frontiers in Pediatrics","FirstCategoryId":"3","ListUrlMain":"https://doi.org/10.3389/fped.2025.1651046","RegionNum":3,"RegionCategory":"医学","ArticlePicture":[],"TitleCN":null,"AbstractTextCN":null,"PMCID":null,"EPubDate":"2025/1/1 0:00:00","PubModel":"eCollection","JCR":"Q2","JCRName":"PEDIATRICS","Score":null,"Total":0}
引用次数: 0

Abstract

Background: Parenteral nutrition-associated cholestasis (PNAC) is common among very and extremely preterm infants (VPT). This study aims to investigate the relationship between the duration of parenteral nutrition (PN), enteral nutrition (EN), and the PN/EN ratio and the occurrence of PNAC in VPT, with the goal of providing a basis for the early identification of high-risk infants in clinical practice.

Methods: A total of 230 VPT were retrospectively enrolled and divided into two groups based on the occurrence of PNAC. Baseline characteristics such as gestational age, sex, and birth weight, as well as clinical features, were compared between groups. Multivariable logistic regression was used to analyze the association between the duration of enteral nutrition (EN), parenteral nutrition (PN), and the development of PNAC. Interaction effects between PN, EN, the PN/EN ratio, and clinical variables were also explored. Restricted cubic spline (RCS) regression was employed to assess potential nonlinear relationships between PN, EN duration, PN/EN ratio, and PNAC. Predictive performance was evaluated using the area under the receiver operating characteristic curve (AUC).

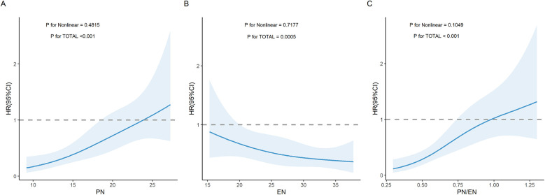
Results: Infants in the PNAC group had significantly lower gestational age, birth weight, and Apgar scores compared to the non-PNAC group. In contrast, the incidence of premature rupture of membranes and mechanical ventilation was significantly higher. In VPT, longer PN duration, shorter EN duration, and a higher PN/EN ratio were significantly associated with increased risk of PNAC, showing linear or near-linear trends. ROC analysis indicated that the PN/EN ratio had better predictive performance for PNAC than either PN or EN duration alone. Interaction analysis revealed that the association between PN/EN and PNAC risk was stronger in infants with lower birth weight and lower 1-minute Apgar scores.

Conclusions: Longer PN duration, shorter EN duration, and a higher PN/EN ratio are significant risk factors for PNAC in VPT. The PN/EN ratio demonstrated the best predictive accuracy. The association between PN/EN and PNAC was more pronounced in infants with lower birth weight and lower 1-minute Apgar scores.

Abstract Image

Abstract Image

肠外和肠内营养持续时间对极早产儿肠外营养相关性胆汁淤积的预测作用。
背景:肠外营养相关性胆汁淤积症(PNAC)在非常早产儿和极早产儿(VPT)中很常见。本研究旨在探讨VPT患儿肠外营养(PN)、肠内营养(EN)持续时间及PN/EN比值与PNAC发生的关系,为临床早期识别高危儿提供依据。方法:回顾性分析230例VPT患者,根据PNAC的发生情况分为两组。基线特征,如胎龄,性别,出生体重,以及临床特征,在组之间进行比较。采用多变量logistic回归分析肠内营养(EN)、肠外营养(PN)持续时间与PNAC发展的相关性。还探讨了PN、EN、PN/EN比率和临床变量之间的相互作用效应。采用限制性三次样条(RCS)回归评估PN、EN持续时间、PN/EN比和PNAC之间潜在的非线性关系。使用受试者工作特征曲线下面积(AUC)评估预测性能。结果:与非PNAC组相比,PNAC组婴儿的胎龄、出生体重和Apgar评分显著降低。相比之下,膜早破和机械通气的发生率明显更高。在VPT中,较长的PN持续时间、较短的EN持续时间和较高的PN/EN比率与PNAC风险增加显著相关,呈线性或近线性趋势。ROC分析表明,PN/EN比单独PN或EN持续时间对PNAC有更好的预测效果。相互作用分析显示,在出生体重较低和1分钟Apgar评分较低的婴儿中,PN/EN和PNAC风险之间的关联更强。结论:较长的PN持续时间、较短的EN持续时间和较高的PN/EN比值是VPT患者PNAC的重要危险因素。PN/EN比显示出最好的预测准确性。在出生体重较低和1分钟Apgar评分较低的婴儿中,PN/EN和PNAC之间的关联更为明显。
本文章由计算机程序翻译,如有差异,请以英文原文为准。
求助全文
约1分钟内获得全文 求助全文
来源期刊
Frontiers in Pediatrics
Frontiers in Pediatrics Medicine-Pediatrics, Perinatology and Child Health
CiteScore
3.60
自引率
7.70%
发文量
2132
审稿时长
14 weeks
期刊介绍: Frontiers in Pediatrics (Impact Factor 2.33) publishes rigorously peer-reviewed research broadly across the field, from basic to clinical research that meets ongoing challenges in pediatric patient care and child health. Field Chief Editors Arjan Te Pas at Leiden University and Michael L. Moritz at the Children''s Hospital of Pittsburgh are supported by an outstanding Editorial Board of international experts. This multidisciplinary open-access journal is at the forefront of disseminating and communicating scientific knowledge and impactful discoveries to researchers, academics, clinicians and the public worldwide. Frontiers in Pediatrics also features Research Topics, Frontiers special theme-focused issues managed by Guest Associate Editors, addressing important areas in pediatrics. In this fashion, Frontiers serves as an outlet to publish the broadest aspects of pediatrics in both basic and clinical research, including high-quality reviews, case reports, editorials and commentaries related to all aspects of pediatrics.
×
引用
GB/T 7714-2015
复制
MLA
复制
APA
复制
导出至
BibTeX EndNote RefMan NoteFirst NoteExpress
×
提示
您的信息不完整,为了账户安全,请先补充。
现在去补充
×
提示
您因"违规操作"
具体请查看互助需知
我知道了
×
提示
确定
请完成安全验证×
copy
已复制链接
快去分享给好友吧!
我知道了
右上角分享
点击右上角分享
0
联系我们:info@booksci.cn Book学术提供免费学术资源搜索服务,方便国内外学者检索中英文文献。致力于提供最便捷和优质的服务体验。 Copyright © 2023 布克学术 All rights reserved.
京ICP备2023020795号-1
ghs 京公网安备 11010802042870号
Book学术文献互助
Book学术文献互助群
群 号:604180095
Book学术官方微信