Efficacy of combined immunotherapy and predictive role of inflammatory markers in elderly ESCC patients.

IF 2.1 Q3 MEDICINE, RESEARCH & EXPERIMENTAL
Future Science OA Pub Date : 2025-12-01 Epub Date: 2025-09-29 DOI:10.1080/20565623.2025.2564018
Bailong Liu, Guodong Nie, Rui Luo, Junjie Liu, Yang Ding, Mengyu Liu, Zhong Fan, Min Liu, Xiaonan Pang
{"title":"Efficacy of combined immunotherapy and predictive role of inflammatory markers in elderly ESCC patients.","authors":"Bailong Liu, Guodong Nie, Rui Luo, Junjie Liu, Yang Ding, Mengyu Liu, Zhong Fan, Min Liu, Xiaonan Pang","doi":"10.1080/20565623.2025.2564018","DOIUrl":null,"url":null,"abstract":"<p><strong>Aim: </strong>To assess the efficacy of immune checkpoint inhibitors (ICIs) combined with chemoradiotherapy and evaluate the prognostic value of peripheral inflammatory markers in elderly patients with inoperable esophageal squamous cell carcinoma (ESCC).</p><p><strong>Methods: </strong>A retrospective study of 124 elderly ESCC patients treated between 2021 and 2024. Patients were divided into immunotherapy and non-immunotherapy groups. Progression-free survival (PFS) was compared, and inflammatory markers were analyzed using Cox regression and ROC curves.</p><p><strong>Results: </strong>Median PFS was significantly longer in the ICI group (13.7 vs. 10.9 months, P = 0.043). Immunotherapy was an independent protective factor for PFS. Post-treatment NLR and PNI were predictive of outcomes in the ICI group.</p><p><strong>Conclusion: </strong>Combining ICIs with chemoradiotherapy improves survival in elderly inoperable ESCC patients. NLR and PNI may serve as accessible biomarkers to guide immunotherapy.</p>","PeriodicalId":12568,"journal":{"name":"Future Science OA","volume":"11 1","pages":"2564018"},"PeriodicalIF":2.1000,"publicationDate":"2025-12-01","publicationTypes":"Journal Article","fieldsOfStudy":null,"isOpenAccess":false,"openAccessPdf":"https://www.ncbi.nlm.nih.gov/pmc/articles/PMC12482436/pdf/","citationCount":"0","resultStr":null,"platform":"Semanticscholar","paperid":null,"PeriodicalName":"Future Science OA","FirstCategoryId":"1085","ListUrlMain":"https://doi.org/10.1080/20565623.2025.2564018","RegionNum":0,"RegionCategory":null,"ArticlePicture":[],"TitleCN":null,"AbstractTextCN":null,"PMCID":null,"EPubDate":"2025/9/29 0:00:00","PubModel":"Epub","JCR":"Q3","JCRName":"MEDICINE, RESEARCH & EXPERIMENTAL","Score":null,"Total":0}
引用次数: 0

Abstract

Aim: To assess the efficacy of immune checkpoint inhibitors (ICIs) combined with chemoradiotherapy and evaluate the prognostic value of peripheral inflammatory markers in elderly patients with inoperable esophageal squamous cell carcinoma (ESCC).

Methods: A retrospective study of 124 elderly ESCC patients treated between 2021 and 2024. Patients were divided into immunotherapy and non-immunotherapy groups. Progression-free survival (PFS) was compared, and inflammatory markers were analyzed using Cox regression and ROC curves.

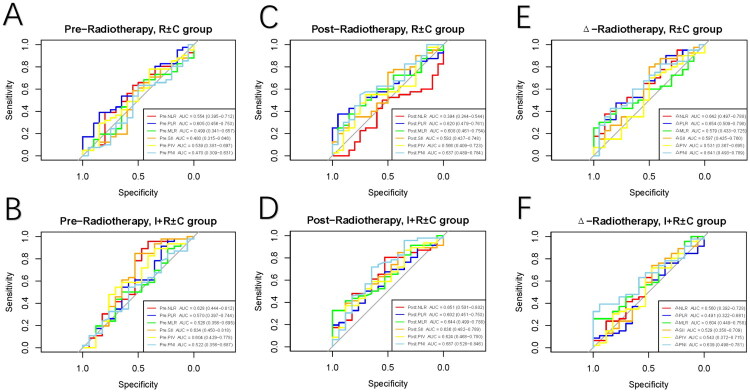
Results: Median PFS was significantly longer in the ICI group (13.7 vs. 10.9 months, P = 0.043). Immunotherapy was an independent protective factor for PFS. Post-treatment NLR and PNI were predictive of outcomes in the ICI group.

Conclusion: Combining ICIs with chemoradiotherapy improves survival in elderly inoperable ESCC patients. NLR and PNI may serve as accessible biomarkers to guide immunotherapy.

Abstract Image

Abstract Image

老年ESCC患者联合免疫治疗的疗效及炎症标志物的预测作用。
目的:评价免疫检查点抑制剂(ICIs)联合放化疗对老年不能手术的食管鳞状细胞癌(ESCC)患者预后的影响及外周炎症指标。方法:对2021 - 2024年间接受治疗的124例老年ESCC患者进行回顾性研究。患者分为免疫治疗组和非免疫治疗组。比较无进展生存期(PFS),并用Cox回归和ROC曲线分析炎症标志物。结果:ICI组的中位PFS明显更长(13.7个月比10.9个月,P = 0.043)。免疫治疗是PFS的独立保护因素。治疗后NLR和PNI可预测ICI组的预后。结论:ICIs联合放化疗可提高老年不能手术ESCC患者的生存率。NLR和PNI可作为指导免疫治疗的生物标志物。
本文章由计算机程序翻译,如有差异,请以英文原文为准。
求助全文
约1分钟内获得全文 求助全文
来源期刊
Future Science OA
Future Science OA MEDICINE, RESEARCH & EXPERIMENTAL-
CiteScore
5.00
自引率
4.00%
发文量
48
审稿时长
13 weeks
期刊介绍: Future Science OA is an online, open access, peer-reviewed title from the Future Science Group. The journal covers research and discussion related to advances in biotechnology, medicine and health. The journal embraces the importance of publishing all good-quality research with the potential to further the progress of research in these fields. All original research articles will be considered that are within the journal''s scope, and have been conducted with scientific rigour and research integrity. The journal also features review articles, editorials and perspectives, providing readers with a leading source of commentary and analysis. Submissions of the following article types will be considered: -Research articles -Preliminary communications -Short communications -Methodologies -Trial design articles -Trial results (including early-phase and negative studies) -Reviews -Perspectives -Commentaries
×
引用
GB/T 7714-2015
复制
MLA
复制
APA
复制
导出至
BibTeX EndNote RefMan NoteFirst NoteExpress
×
提示
您的信息不完整,为了账户安全,请先补充。
现在去补充
×
提示
您因"违规操作"
具体请查看互助需知
我知道了
×
提示
确定
请完成安全验证×
copy
已复制链接
快去分享给好友吧!
我知道了
右上角分享
点击右上角分享
0
联系我们:info@booksci.cn Book学术提供免费学术资源搜索服务,方便国内外学者检索中英文文献。致力于提供最便捷和优质的服务体验。 Copyright © 2023 布克学术 All rights reserved.
京ICP备2023020795号-1
ghs 京公网安备 11010802042870号
Book学术文献互助
Book学术文献互助群
群 号:604180095
Book学术官方微信