Multivariate Assessment of Thyroid, Lipid, and Inflammatory Profiles by HBV Status and Viral Load: Age- and Sex-Specific Findings.

IF 3.5 3区 医学 Q2 VIROLOGY
Viruses-Basel Pub Date : 2025-09-03 DOI:10.3390/v17091208
Hyeokjun Yun, Jong Wan Kim, Jae Kyung Kim
{"title":"Multivariate Assessment of Thyroid, Lipid, and Inflammatory Profiles by HBV Status and Viral Load: Age- and Sex-Specific Findings.","authors":"Hyeokjun Yun, Jong Wan Kim, Jae Kyung Kim","doi":"10.3390/v17091208","DOIUrl":null,"url":null,"abstract":"<p><p>Chronic hepatitis B virus (HBV) infection may influence extrahepatic systems, including endocrine and lipid regulation. In this cross-sectional study, 186 adults were stratified by HBV DNA status and viral load to examine thyroid function, systemic inflammation, and lipid metabolism, with further analyses by age and sex. Thyroid-stimulating hormone (TSH, a pituitary regulator of thyroid function) levels were significantly lower in HBsAg-positive individuals compared with controls; however, this association was attenuated after stratification by viral load, indicating that the relationship is not unequivocally independent of HBV DNA levels, as free thyroxine (FT4, the circulating thyroid hormone reflecting gland activity) levels remained stable. Lipid profiles displayed demographic-specific patterns: males with high viral load exhibited lower HDL cholesterol, whereas younger HBV-positive individuals showed higher LDL cholesterol. CRP levels were unaffected by HBV status or viral load, aligning with the absence of systemic inflammation in early or inactive disease stages. Age was a major determinant across biomarkers, with complex interactions involving sex and viral load. These findings indicate subtle but clinically relevant extrahepatic effects of HBV infection and underscore the need for personalized monitoring and longitudinal studies to clarify metabolic and cardiovascular implications. These subgroup trends should be interpreted with caution given the absence of BMI, liver enzyme, fibrosis, medication, and comorbidity data in this retrospective cohort.</p>","PeriodicalId":49328,"journal":{"name":"Viruses-Basel","volume":"17 9","pages":""},"PeriodicalIF":3.5000,"publicationDate":"2025-09-03","publicationTypes":"Journal Article","fieldsOfStudy":null,"isOpenAccess":false,"openAccessPdf":"https://www.ncbi.nlm.nih.gov/pmc/articles/PMC12474459/pdf/","citationCount":"0","resultStr":null,"platform":"Semanticscholar","paperid":null,"PeriodicalName":"Viruses-Basel","FirstCategoryId":"3","ListUrlMain":"https://doi.org/10.3390/v17091208","RegionNum":3,"RegionCategory":"医学","ArticlePicture":[],"TitleCN":null,"AbstractTextCN":null,"PMCID":null,"EPubDate":"","PubModel":"","JCR":"Q2","JCRName":"VIROLOGY","Score":null,"Total":0}
引用次数: 0

Abstract

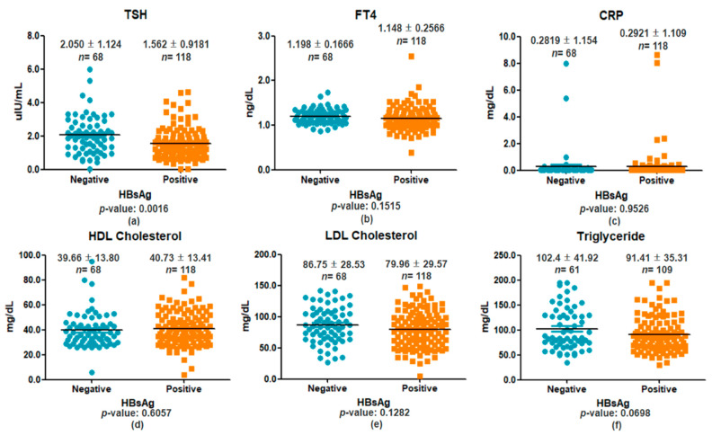
Chronic hepatitis B virus (HBV) infection may influence extrahepatic systems, including endocrine and lipid regulation. In this cross-sectional study, 186 adults were stratified by HBV DNA status and viral load to examine thyroid function, systemic inflammation, and lipid metabolism, with further analyses by age and sex. Thyroid-stimulating hormone (TSH, a pituitary regulator of thyroid function) levels were significantly lower in HBsAg-positive individuals compared with controls; however, this association was attenuated after stratification by viral load, indicating that the relationship is not unequivocally independent of HBV DNA levels, as free thyroxine (FT4, the circulating thyroid hormone reflecting gland activity) levels remained stable. Lipid profiles displayed demographic-specific patterns: males with high viral load exhibited lower HDL cholesterol, whereas younger HBV-positive individuals showed higher LDL cholesterol. CRP levels were unaffected by HBV status or viral load, aligning with the absence of systemic inflammation in early or inactive disease stages. Age was a major determinant across biomarkers, with complex interactions involving sex and viral load. These findings indicate subtle but clinically relevant extrahepatic effects of HBV infection and underscore the need for personalized monitoring and longitudinal studies to clarify metabolic and cardiovascular implications. These subgroup trends should be interpreted with caution given the absence of BMI, liver enzyme, fibrosis, medication, and comorbidity data in this retrospective cohort.

Abstract Image

Abstract Image

Abstract Image

HBV状态和病毒载量对甲状腺、脂质和炎症特征的多变量评估:年龄和性别特异性发现。
慢性乙型肝炎病毒(HBV)感染可能影响肝外系统,包括内分泌和脂质调节。在这项横断面研究中,186名成年人按HBV DNA状态和病毒载量分层,检查甲状腺功能、全身炎症和脂质代谢,并进一步按年龄和性别进行分析。与对照组相比,hbsag阳性个体的促甲状腺激素(TSH,一种甲状腺功能的垂体调节剂)水平显著降低;然而,在病毒载量分层后,这种关联减弱,表明这种关系并非完全独立于HBV DNA水平,因为游离甲状腺素(FT4,反映腺体活性的循环甲状腺激素)水平保持稳定。脂质谱显示了人口统计学的特定模式:高病毒载量的男性表现出较低的高密度脂蛋白胆固醇,而年轻的hbv阳性个体表现出较高的低密度脂蛋白胆固醇。CRP水平不受HBV状态或病毒载量的影响,这与早期或非活动性疾病阶段没有全身性炎症一致。年龄是生物标志物的主要决定因素,涉及性别和病毒载量的复杂相互作用。这些发现提示了HBV感染的微妙但临床相关的肝外影响,并强调了个性化监测和纵向研究的必要性,以阐明代谢和心血管影响。考虑到该回顾性队列中缺乏BMI、肝酶、纤维化、药物和合并症数据,这些亚组趋势应谨慎解释。
本文章由计算机程序翻译,如有差异,请以英文原文为准。
求助全文
约1分钟内获得全文 求助全文
来源期刊
Viruses-Basel
Viruses-Basel VIROLOGY-
CiteScore
7.30
自引率
12.80%
发文量
2445
审稿时长
1 months
期刊介绍: Viruses (ISSN 1999-4915) is an open access journal which provides an advanced forum for studies of viruses. It publishes reviews, regular research papers, communications, conference reports and short notes. Our aim is to encourage scientists to publish their experimental and theoretical results in as much detail as possible. There is no restriction on the length of the papers. The full experimental details must be provided so that the results can be reproduced. We also encourage the publication of timely reviews and commentaries on topics of interest to the virology community and feature highlights from the virology literature in the ''News and Views'' section. Electronic files or software regarding the full details of the calculation and experimental procedure, if unable to be published in a normal way, can be deposited as supplementary material.
×
引用
GB/T 7714-2015
复制
MLA
复制
APA
复制
导出至
BibTeX EndNote RefMan NoteFirst NoteExpress
×
提示
您的信息不完整,为了账户安全,请先补充。
现在去补充
×
提示
您因"违规操作"
具体请查看互助需知
我知道了
×
提示
确定
请完成安全验证×
copy
已复制链接
快去分享给好友吧!
我知道了
右上角分享
点击右上角分享
0
联系我们:info@booksci.cn Book学术提供免费学术资源搜索服务,方便国内外学者检索中英文文献。致力于提供最便捷和优质的服务体验。 Copyright © 2023 布克学术 All rights reserved.
京ICP备2023020795号-1
ghs 京公网安备 11010802042870号
Book学术文献互助
Book学术文献互助群
群 号:604180095
Book学术官方微信