The Viremic Phase and Humoral Immune Response Against African Horse Sickness Virus That Emerged in Thailand in 2020.

IF 2.3 2区 农林科学 Q2 VETERINARY SCIENCES
Paphavee Pipitpornsirikul, Nattarat Thangthamniyom, Aree Laikul, Tapanut Songkasupa, Watcharapol Pathomsakulwong, Tawanhathai Apichaimongkonkun, Suwicha Kasemsuwan, Teerasak E-Kobon, Porntippa Lekcharoensuk
{"title":"The Viremic Phase and Humoral Immune Response Against African Horse Sickness Virus That Emerged in Thailand in 2020.","authors":"Paphavee Pipitpornsirikul, Nattarat Thangthamniyom, Aree Laikul, Tapanut Songkasupa, Watcharapol Pathomsakulwong, Tawanhathai Apichaimongkonkun, Suwicha Kasemsuwan, Teerasak E-Kobon, Porntippa Lekcharoensuk","doi":"10.3390/vetsci12090878","DOIUrl":null,"url":null,"abstract":"<p><p>African horse sickness (AHS), a life-threatening disease caused by African horse sickness virus serotype 1 (AHSV-1), emerged in Thailand in February 2020 with 607 cases and a 93% fatality rate. The outbreak was mitigated by vector control and a live attenuated virus (LAV) vaccine. Information regarding viremia and immunity after infection and vaccination during outbreaks are essential for controlling disease transmission. This study evaluated these parameters in 15 infected naïve horses and 11 vaccinated horses during the 2020 outbreak. Whole blood was collected and subjected to RT real-time PCR to detect viremia up to 52 weeks post-infection. ASHV-specific antibodies were accessed by blocking ELISA until 37 weeks post-vaccination. In both groups, viremia appeared in the first week and lasted until week 5 in 25% of the horses. Moreover, seroconversion occurred at week 5 in 73.3% of infected horses and at week 3 in 90% of vaccinated horses. Antibodies persisted in both groups until the end of study, with more uniform levels in vaccinated animals. Chronological relations among clinical signs, viremia, and immunity were analyzed. These findings support the use of insect-proof housing for horses for at least 5 weeks after exposure or vaccination, and provide essential insights into AHSV epidemiology and control.</p>","PeriodicalId":23694,"journal":{"name":"Veterinary Sciences","volume":"12 9","pages":""},"PeriodicalIF":2.3000,"publicationDate":"2025-09-11","publicationTypes":"Journal Article","fieldsOfStudy":null,"isOpenAccess":false,"openAccessPdf":"https://www.ncbi.nlm.nih.gov/pmc/articles/PMC12474096/pdf/","citationCount":"0","resultStr":null,"platform":"Semanticscholar","paperid":null,"PeriodicalName":"Veterinary Sciences","FirstCategoryId":"97","ListUrlMain":"https://doi.org/10.3390/vetsci12090878","RegionNum":2,"RegionCategory":"农林科学","ArticlePicture":[],"TitleCN":null,"AbstractTextCN":null,"PMCID":null,"EPubDate":"","PubModel":"","JCR":"Q2","JCRName":"VETERINARY SCIENCES","Score":null,"Total":0}
引用次数: 0

Abstract

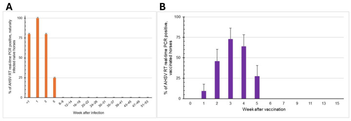
African horse sickness (AHS), a life-threatening disease caused by African horse sickness virus serotype 1 (AHSV-1), emerged in Thailand in February 2020 with 607 cases and a 93% fatality rate. The outbreak was mitigated by vector control and a live attenuated virus (LAV) vaccine. Information regarding viremia and immunity after infection and vaccination during outbreaks are essential for controlling disease transmission. This study evaluated these parameters in 15 infected naïve horses and 11 vaccinated horses during the 2020 outbreak. Whole blood was collected and subjected to RT real-time PCR to detect viremia up to 52 weeks post-infection. ASHV-specific antibodies were accessed by blocking ELISA until 37 weeks post-vaccination. In both groups, viremia appeared in the first week and lasted until week 5 in 25% of the horses. Moreover, seroconversion occurred at week 5 in 73.3% of infected horses and at week 3 in 90% of vaccinated horses. Antibodies persisted in both groups until the end of study, with more uniform levels in vaccinated animals. Chronological relations among clinical signs, viremia, and immunity were analyzed. These findings support the use of insect-proof housing for horses for at least 5 weeks after exposure or vaccination, and provide essential insights into AHSV epidemiology and control.

Abstract Image

Abstract Image

Abstract Image

针对2020年在泰国出现的非洲马病病毒的病毒期和体液免疫反应。
非洲马病(AHS)是一种由非洲马病1血清型病毒(AHSV-1)引起的威胁生命的疾病,于2020年2月在泰国出现,有607例,致死率为93%。病媒控制和减毒活疫苗减轻了疫情。关于病毒血症和感染后免疫以及疫情期间接种疫苗的信息对于控制疾病传播至关重要。本研究在2020年暴发期间评估了15匹感染naïve马和11匹接种疫苗的马的这些参数。采集全血,RT - real-time PCR检测感染后52周的病毒血症。阻断ELISA可获得ashv特异性抗体,直至疫苗接种后37周。在两组中,25%的马在第一周出现病毒血症,并持续到第5周。此外,73.3%的感染马在第5周发生血清转化,90%的接种马在第3周发生血清转化。抗体在两组中一直持续到研究结束,在接种过疫苗的动物中抗体的水平更加一致。分析临床症状、病毒血症和免疫之间的时间关系。这些发现支持在马匹接触或接种疫苗后至少5周使用防虫住房,并为AHSV流行病学和控制提供重要见解。
本文章由计算机程序翻译,如有差异,请以英文原文为准。
求助全文
约1分钟内获得全文 求助全文
来源期刊
Veterinary Sciences
Veterinary Sciences VETERINARY SCIENCES-
CiteScore
2.90
自引率
8.30%
发文量
612
审稿时长
6 weeks
期刊介绍: Veterinary Sciences is an international and interdisciplinary scholarly open access journal. It publishes original that are relevant to any field of veterinary sciences, including prevention, diagnosis and treatment of disease, disorder and injury in animals. This journal covers almost all topics related to animal health and veterinary medicine. Research fields of interest include but are not limited to: anaesthesiology anatomy bacteriology biochemistry cardiology dentistry dermatology embryology endocrinology epidemiology genetics histology immunology microbiology molecular biology mycology neurobiology oncology ophthalmology parasitology pathology pharmacology physiology radiology surgery theriogenology toxicology virology.
×
引用
GB/T 7714-2015
复制
MLA
复制
APA
复制
导出至
BibTeX EndNote RefMan NoteFirst NoteExpress
×
提示
您的信息不完整,为了账户安全,请先补充。
现在去补充
×
提示
您因"违规操作"
具体请查看互助需知
我知道了
×
提示
确定
请完成安全验证×
copy
已复制链接
快去分享给好友吧!
我知道了
右上角分享
点击右上角分享
0
联系我们:info@booksci.cn Book学术提供免费学术资源搜索服务,方便国内外学者检索中英文文献。致力于提供最便捷和优质的服务体验。 Copyright © 2023 布克学术 All rights reserved.
京ICP备2023020795号-1
ghs 京公网安备 11010802042870号
Book学术文献互助
Book学术文献互助群
群 号:604180095
Book学术官方微信