Water-Soluble Vitamins (Riboflavin, Niacin, Pantothenic Acid) in Dogs with Chronic Liver Disease vs. Healthy Controls.

IF 2.3 2区 农林科学 Q2 VETERINARY SCIENCES
Verena Habermaass, Aurora Cogozzo, Francesco Bartoli, Valentina Vitelli, Rebecca Dini, Veronica Marchetti
{"title":"Water-Soluble Vitamins (Riboflavin, Niacin, Pantothenic Acid) in Dogs with Chronic Liver Disease vs. Healthy Controls.","authors":"Verena Habermaass, Aurora Cogozzo, Francesco Bartoli, Valentina Vitelli, Rebecca Dini, Veronica Marchetti","doi":"10.3390/vetsci12090877","DOIUrl":null,"url":null,"abstract":"<p><strong>Background: </strong>Water-soluble vitamin deficiencies are common in human chronic liver disease (CLD) due to impaired metabolic pathways. Vitamins B2 (riboflavin), B3 (niacin), and B5 (pantothenic acid) assume critical roles in hepatic and lipid metabolism and may exert hepatoprotective effects. In canine CLD, data beyond cobalamin are sparse, and no guidelines currently endorse B-vitamin supplementation.</p><p><strong>Methods: </strong>This case-control study analysed 66 stored serum samples from client-owned dogs with CLD and 50 from healthy blood-donor dogs. CLD diagnosis required persistent (>2 months) elevation of at least two liver enzymes (ALP, GGT, AST, ALT) and ultrasonographic evidence of CLD. Serum vitamin concentrations were quantified by LC-MS/MS (ng/mL).</p><p><strong>Results: </strong>Vitamin B2 was significantly lower in CLD dogs versus controls (median 48.4 vs. 85.5 ng/mL; <i>p</i> = 0.002). No significant difference was observed in B3 levels (<i>p</i> = 0.25). Vitamin B5 concentrations were significantly higher in the CLD group (median 176.5 vs. 116.1 ng/mL; <i>p</i> = 0.003).</p><p><strong>Conclusions: </strong>Reduced B2 may reflect impaired hepatic processing or absorption in canine CLD. The presence of normal or elevated B3 and B5 may relate to alternative metabolic pathways. This constitutes the first study assessing B2, B3, and B5 in canine CLD, underscoring riboflavin's potential interest in CLD dogs.</p>","PeriodicalId":23694,"journal":{"name":"Veterinary Sciences","volume":"12 9","pages":""},"PeriodicalIF":2.3000,"publicationDate":"2025-09-11","publicationTypes":"Journal Article","fieldsOfStudy":null,"isOpenAccess":false,"openAccessPdf":"https://www.ncbi.nlm.nih.gov/pmc/articles/PMC12474323/pdf/","citationCount":"0","resultStr":null,"platform":"Semanticscholar","paperid":null,"PeriodicalName":"Veterinary Sciences","FirstCategoryId":"97","ListUrlMain":"https://doi.org/10.3390/vetsci12090877","RegionNum":2,"RegionCategory":"农林科学","ArticlePicture":[],"TitleCN":null,"AbstractTextCN":null,"PMCID":null,"EPubDate":"","PubModel":"","JCR":"Q2","JCRName":"VETERINARY SCIENCES","Score":null,"Total":0}
引用次数: 0

Abstract

Background: Water-soluble vitamin deficiencies are common in human chronic liver disease (CLD) due to impaired metabolic pathways. Vitamins B2 (riboflavin), B3 (niacin), and B5 (pantothenic acid) assume critical roles in hepatic and lipid metabolism and may exert hepatoprotective effects. In canine CLD, data beyond cobalamin are sparse, and no guidelines currently endorse B-vitamin supplementation.

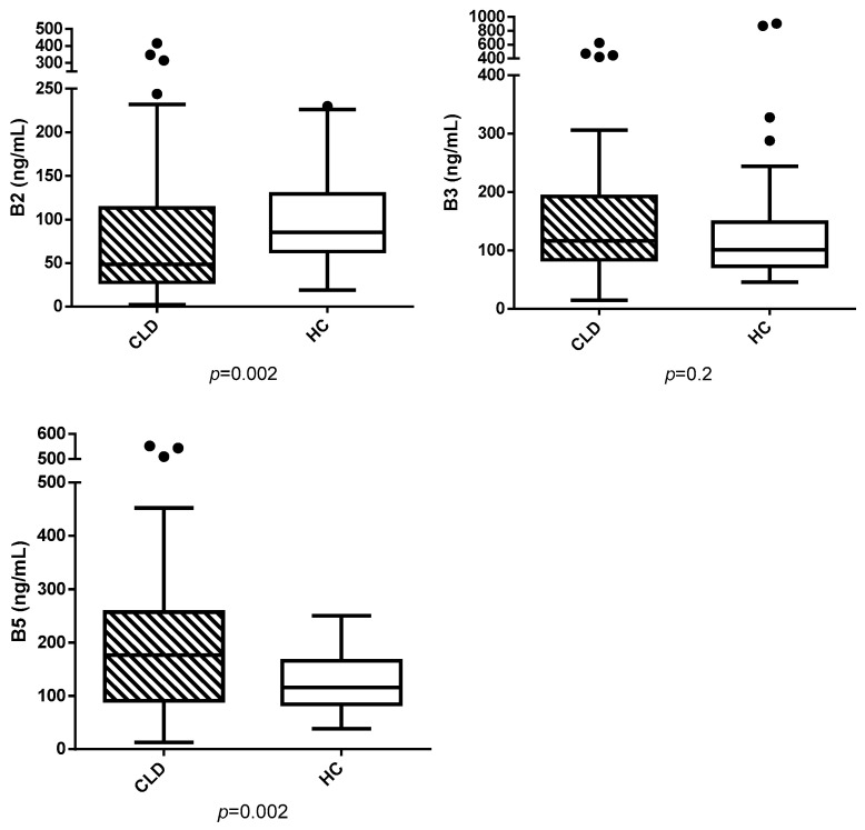
Methods: This case-control study analysed 66 stored serum samples from client-owned dogs with CLD and 50 from healthy blood-donor dogs. CLD diagnosis required persistent (>2 months) elevation of at least two liver enzymes (ALP, GGT, AST, ALT) and ultrasonographic evidence of CLD. Serum vitamin concentrations were quantified by LC-MS/MS (ng/mL).

Results: Vitamin B2 was significantly lower in CLD dogs versus controls (median 48.4 vs. 85.5 ng/mL; p = 0.002). No significant difference was observed in B3 levels (p = 0.25). Vitamin B5 concentrations were significantly higher in the CLD group (median 176.5 vs. 116.1 ng/mL; p = 0.003).

Conclusions: Reduced B2 may reflect impaired hepatic processing or absorption in canine CLD. The presence of normal or elevated B3 and B5 may relate to alternative metabolic pathways. This constitutes the first study assessing B2, B3, and B5 in canine CLD, underscoring riboflavin's potential interest in CLD dogs.

Abstract Image

慢性肝病犬的水溶性维生素(核黄素、烟酸、泛酸)与健康对照
背景:由于代谢途径受损,水溶性维生素缺乏在人类慢性肝病(CLD)中很常见。维生素B2(核黄素)、B3(烟酸)和B5(泛酸)在肝脏和脂质代谢中起关键作用,并可能发挥肝脏保护作用。在犬类CLD中,除了钴胺素之外的数据很少,目前也没有支持补充b族维生素的指南。方法:本病例-对照研究分析了66份客户拥有的CLD犬和50份健康供血犬的血清样本。CLD的诊断需要至少两种肝酶(ALP, GGT, AST, ALT)持续升高(至少2个月)和CLD的超声证据。采用LC-MS/MS法测定血清维生素浓度(ng/mL)。结果:CLD犬的维生素B2水平明显低于对照组(中位数48.4 vs 85.5 ng/mL; p = 0.002)。两组间B3水平差异无统计学意义(p = 0.25)。CLD组的维生素B5浓度显著较高(中位数为176.5 vs. 116.1 ng/mL; p = 0.003)。结论:B2的减少可能反映了犬CLD的肝脏加工或吸收受损。正常或升高的B3和B5可能与其他代谢途径有关。这是第一个评估犬CLD中B2、B3和B5的研究,强调了核黄素对CLD犬的潜在兴趣。
本文章由计算机程序翻译,如有差异,请以英文原文为准。
求助全文
约1分钟内获得全文 求助全文
来源期刊
Veterinary Sciences
Veterinary Sciences VETERINARY SCIENCES-
CiteScore
2.90
自引率
8.30%
发文量
612
审稿时长
6 weeks
期刊介绍: Veterinary Sciences is an international and interdisciplinary scholarly open access journal. It publishes original that are relevant to any field of veterinary sciences, including prevention, diagnosis and treatment of disease, disorder and injury in animals. This journal covers almost all topics related to animal health and veterinary medicine. Research fields of interest include but are not limited to: anaesthesiology anatomy bacteriology biochemistry cardiology dentistry dermatology embryology endocrinology epidemiology genetics histology immunology microbiology molecular biology mycology neurobiology oncology ophthalmology parasitology pathology pharmacology physiology radiology surgery theriogenology toxicology virology.
×
引用
GB/T 7714-2015
复制
MLA
复制
APA
复制
导出至
BibTeX EndNote RefMan NoteFirst NoteExpress
×
提示
您的信息不完整,为了账户安全,请先补充。
现在去补充
×
提示
您因"违规操作"
具体请查看互助需知
我知道了
×
提示
确定
请完成安全验证×
copy
已复制链接
快去分享给好友吧!
我知道了
右上角分享
点击右上角分享
0
联系我们:info@booksci.cn Book学术提供免费学术资源搜索服务,方便国内外学者检索中英文文献。致力于提供最便捷和优质的服务体验。 Copyright © 2023 布克学术 All rights reserved.
京ICP备2023020795号-1
ghs 京公网安备 11010802042870号
Book学术文献互助
Book学术文献互助群
群 号:604180095
Book学术官方微信