Structural and Kinetic Properties of Liver Rhodanese from Coptodon zillii: Implications for Cyanide Detoxification in Gold Mining-Impacted Aquatic Ecosystems.

IF 4.1 3区 环境科学与生态学 Q2 ENVIRONMENTAL SCIENCES
Toxics Pub Date : 2025-09-03 DOI:10.3390/toxics13090750
Oluwaseun E Agboola, Zainab A Ayinla, Babamotemi O Itakorode, Priscilla O Akinsanya, Raphael E Okonji, Othuke B Odeghe, Samuel S Agboola, Olaiya E Oluranti, Folake O Olojo, Babatunji E Oyinloye
{"title":"Structural and Kinetic Properties of Liver Rhodanese from <i>Coptodon zillii</i>: Implications for Cyanide Detoxification in Gold Mining-Impacted Aquatic Ecosystems.","authors":"Oluwaseun E Agboola, Zainab A Ayinla, Babamotemi O Itakorode, Priscilla O Akinsanya, Raphael E Okonji, Othuke B Odeghe, Samuel S Agboola, Olaiya E Oluranti, Folake O Olojo, Babatunji E Oyinloye","doi":"10.3390/toxics13090750","DOIUrl":null,"url":null,"abstract":"<p><p>The global gold extraction industry has been reported to use cyanide-based recovery processes, which pose environmental effects on water resources. The study examined <i>Coptodon zillii</i> liver rhodanese from a gold mining-impacted reservoir with a specific focus on the enzyme's critical function in cyanide detoxification. Rhodanese was purified using successive chromatographic techniques with 5.4 U/mg specific activity and 3.1-fold purification. The molecular weight of the native enzyme was 36 kDa, and the subunits were 17 kDa, indicative of a dimeric structure. Optimal enzymatic activity was recorded at pH 8.0 and 50 °C. The effect of metal ions was significantly varied: the activity was inhibited by BaCl<sub>2</sub>, CaCl<sub>2</sub>, NaCl, and MgCl<sub>2</sub>, and KCl enhanced performance. The kinetic determinations showed Michaelis-Menten kinetics with a Km of 20.0 mM for sodium thiosulfate and 25.0 mM for potassium cyanide. The enzyme's minimal activity was identified toward 2-mercaptoethanol, ammonium persulfate, and ammonium sulfate, but with evidence of preference for thiosulfate utilization under the substrate specificity tests. The major interactions between the enzyme and the substrate were revealed by the molecular docking experiments. These showed Glu159, Gln161, and Arg173 formed important hydrogen bonds with thiosulfate, while Arg156 and Val172 were also involved. Other substrates are bound to Gln121 and Trp139 residues with much lower binding energy than thiosulfate. The findings increase our understanding of biochemical adaptation process knowledge in anthropogenically stressed environments, showing strategies of ecological resilience. The characterized enzymatic features showed potent cyanide detoxification potential, and the possible applications are in bioremediation strategies for mining-impacted aquatic ecosystems.</p>","PeriodicalId":23195,"journal":{"name":"Toxics","volume":"13 9","pages":""},"PeriodicalIF":4.1000,"publicationDate":"2025-09-03","publicationTypes":"Journal Article","fieldsOfStudy":null,"isOpenAccess":false,"openAccessPdf":"https://www.ncbi.nlm.nih.gov/pmc/articles/PMC12473897/pdf/","citationCount":"0","resultStr":null,"platform":"Semanticscholar","paperid":null,"PeriodicalName":"Toxics","FirstCategoryId":"93","ListUrlMain":"https://doi.org/10.3390/toxics13090750","RegionNum":3,"RegionCategory":"环境科学与生态学","ArticlePicture":[],"TitleCN":null,"AbstractTextCN":null,"PMCID":null,"EPubDate":"","PubModel":"","JCR":"Q2","JCRName":"ENVIRONMENTAL SCIENCES","Score":null,"Total":0}
引用次数: 0

Abstract

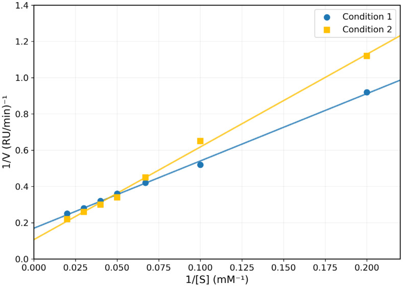
The global gold extraction industry has been reported to use cyanide-based recovery processes, which pose environmental effects on water resources. The study examined Coptodon zillii liver rhodanese from a gold mining-impacted reservoir with a specific focus on the enzyme's critical function in cyanide detoxification. Rhodanese was purified using successive chromatographic techniques with 5.4 U/mg specific activity and 3.1-fold purification. The molecular weight of the native enzyme was 36 kDa, and the subunits were 17 kDa, indicative of a dimeric structure. Optimal enzymatic activity was recorded at pH 8.0 and 50 °C. The effect of metal ions was significantly varied: the activity was inhibited by BaCl2, CaCl2, NaCl, and MgCl2, and KCl enhanced performance. The kinetic determinations showed Michaelis-Menten kinetics with a Km of 20.0 mM for sodium thiosulfate and 25.0 mM for potassium cyanide. The enzyme's minimal activity was identified toward 2-mercaptoethanol, ammonium persulfate, and ammonium sulfate, but with evidence of preference for thiosulfate utilization under the substrate specificity tests. The major interactions between the enzyme and the substrate were revealed by the molecular docking experiments. These showed Glu159, Gln161, and Arg173 formed important hydrogen bonds with thiosulfate, while Arg156 and Val172 were also involved. Other substrates are bound to Gln121 and Trp139 residues with much lower binding energy than thiosulfate. The findings increase our understanding of biochemical adaptation process knowledge in anthropogenically stressed environments, showing strategies of ecological resilience. The characterized enzymatic features showed potent cyanide detoxification potential, and the possible applications are in bioremediation strategies for mining-impacted aquatic ecosystems.

Abstract Image

Abstract Image

Abstract Image

紫齿象肝脏罗丹斯的结构和动力学性质:金矿开采影响的水生生态系统中氰化物解毒的意义。
据报道,全球黄金开采行业使用基于氰化物的回收工艺,这对水资源造成环境影响。该研究检查了来自金矿开采影响水库的紫齿象肝脏罗丹斯,特别关注酶在氰化物解毒中的关键功能。采用连续层析技术纯化罗丹斯蛋白,比活性为5.4 U/mg,纯化倍数为3.1倍。天然酶分子量为36 kDa,亚基为17 kDa,为二聚体结构。在pH 8.0和50℃条件下酶活性最佳。金属离子的作用差异显著:BaCl2、CaCl2、NaCl和MgCl2抑制了活性,KCl增强了性能。动力学测定结果显示,硫代硫酸钠和氰化钾的Km分别为20.0 mM和25.0 mM, Michaelis-Menten动力学。该酶对2-巯基乙醇、过硫酸铵和硫酸铵的活性最低,但在底物特异性试验中,有证据表明该酶对硫代硫酸盐的利用更有利。分子对接实验揭示了酶与底物之间的主要相互作用。这些结果表明,Glu159、Gln161和Arg173与硫代硫酸盐形成了重要的氢键,Arg156和Val172也参与其中。其他底物与Gln121和Trp139残基结合的结合能比硫代硫酸盐低得多。这一发现增加了我们对人为应激环境下生物化学适应过程的认识,揭示了生态恢复策略。所表征的酶特性显示出强大的氰化物解毒潜力,并可能应用于采矿影响的水生生态系统的生物修复策略。
本文章由计算机程序翻译,如有差异,请以英文原文为准。
求助全文
约1分钟内获得全文 求助全文
来源期刊
Toxics
Toxics Chemical Engineering-Chemical Health and Safety
CiteScore
4.50
自引率
10.90%
发文量
681
审稿时长
6 weeks
期刊介绍: Toxics (ISSN 2305-6304) is an international, peer-reviewed, open access journal which provides an advanced forum for studies related to all aspects of toxic chemicals and materials. It publishes reviews, regular research papers, and short communications. Our aim is to encourage scientists to publish their experimental and theoretical results in detail. There is, therefore, no restriction on the maximum length of the papers, although authors should write their papers in a clear and concise way. The full experimental details must be provided so that the results can be reproduced. Electronic files or software regarding the full details of calculations and experimental procedure can be deposited as supplementary material, if it is not possible to publish them along with the text.
×
引用
GB/T 7714-2015
复制
MLA
复制
APA
复制
导出至
BibTeX EndNote RefMan NoteFirst NoteExpress
×
提示
您的信息不完整,为了账户安全,请先补充。
现在去补充
×
提示
您因"违规操作"
具体请查看互助需知
我知道了
×
提示
确定
请完成安全验证×
copy
已复制链接
快去分享给好友吧!
我知道了
右上角分享
点击右上角分享
0
联系我们:info@booksci.cn Book学术提供免费学术资源搜索服务,方便国内外学者检索中英文文献。致力于提供最便捷和优质的服务体验。 Copyright © 2023 布克学术 All rights reserved.
京ICP备2023020795号-1
ghs 京公网安备 11010802042870号
Book学术文献互助
Book学术文献互助群
群 号:604180095
Book学术官方微信