Partitioned RIS-Assisted Vehicular Secure Communication Based on Meta-Learning and Reinforcement Learning.

IF 3.5 3区 综合性期刊 Q2 CHEMISTRY, ANALYTICAL
Sensors Pub Date : 2025-09-19 DOI:10.3390/s25185874
Hui Li, Fengshuan Wang, Jin Qian, Pengcheng Zhu, Aiping Zhou
{"title":"Partitioned RIS-Assisted Vehicular Secure Communication Based on Meta-Learning and Reinforcement Learning.","authors":"Hui Li, Fengshuan Wang, Jin Qian, Pengcheng Zhu, Aiping Zhou","doi":"10.3390/s25185874","DOIUrl":null,"url":null,"abstract":"<p><p>This study tackles the issue of ensuring secure communications in vehicular ad hoc networks (VANETs) under dynamic eavesdropping threats, where eavesdroppers adaptively reposition to intercept transmissions. We introduce a scheme utilizing a partitioned reconfigurable intelligent surface (RIS) to assist in the joint transmission of confidential signals and artificial noise (AN) from a source station. The RIS is divided into segments: one enhances legitimate signal reflection toward the intended vehicular receiver, while the other directs AN toward eavesdroppers to degrade their reception. To maximize secrecy performance in rapidly changing environments, we introduce a joint optimization framework integrating meta-learning for RIS partitioning and reinforcement learning (RL) for reflection matrix optimization. The meta-learning component rapidly determines the optimal RIS partitioning ratio when encountering new eavesdropping scenarios, leveraging prior experience to adapt with minimal data. Subsequently, RL is employed to dynamically optimize both beamforming vectors as well as RIS reflection coefficients, thereby further improving the security performance. Extensive simulations demonstrate that the suggested approach attain a 28% higher secrecy rate relative to conventional RIS-assisted techniques, along with more rapid convergence compared to traditional deep learning approaches. This framework successfully balances signal enhancement with jamming interference, guaranteeing robust and energy-efficient security in highly dynamic vehicular settings.</p>","PeriodicalId":21698,"journal":{"name":"Sensors","volume":"25 18","pages":""},"PeriodicalIF":3.5000,"publicationDate":"2025-09-19","publicationTypes":"Journal Article","fieldsOfStudy":null,"isOpenAccess":false,"openAccessPdf":"https://www.ncbi.nlm.nih.gov/pmc/articles/PMC12473604/pdf/","citationCount":"0","resultStr":null,"platform":"Semanticscholar","paperid":null,"PeriodicalName":"Sensors","FirstCategoryId":"103","ListUrlMain":"https://doi.org/10.3390/s25185874","RegionNum":3,"RegionCategory":"综合性期刊","ArticlePicture":[],"TitleCN":null,"AbstractTextCN":null,"PMCID":null,"EPubDate":"","PubModel":"","JCR":"Q2","JCRName":"CHEMISTRY, ANALYTICAL","Score":null,"Total":0}
引用次数: 0

Abstract

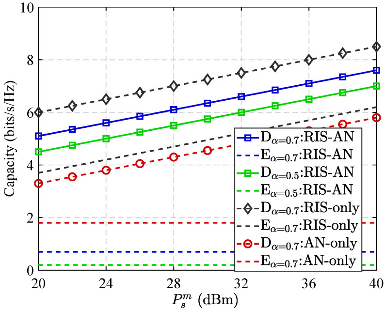
This study tackles the issue of ensuring secure communications in vehicular ad hoc networks (VANETs) under dynamic eavesdropping threats, where eavesdroppers adaptively reposition to intercept transmissions. We introduce a scheme utilizing a partitioned reconfigurable intelligent surface (RIS) to assist in the joint transmission of confidential signals and artificial noise (AN) from a source station. The RIS is divided into segments: one enhances legitimate signal reflection toward the intended vehicular receiver, while the other directs AN toward eavesdroppers to degrade their reception. To maximize secrecy performance in rapidly changing environments, we introduce a joint optimization framework integrating meta-learning for RIS partitioning and reinforcement learning (RL) for reflection matrix optimization. The meta-learning component rapidly determines the optimal RIS partitioning ratio when encountering new eavesdropping scenarios, leveraging prior experience to adapt with minimal data. Subsequently, RL is employed to dynamically optimize both beamforming vectors as well as RIS reflection coefficients, thereby further improving the security performance. Extensive simulations demonstrate that the suggested approach attain a 28% higher secrecy rate relative to conventional RIS-assisted techniques, along with more rapid convergence compared to traditional deep learning approaches. This framework successfully balances signal enhancement with jamming interference, guaranteeing robust and energy-efficient security in highly dynamic vehicular settings.

Abstract Image

Abstract Image

Abstract Image

基于元学习和强化学习的分区ris辅助车辆安全通信。
本研究解决了在动态窃听威胁下确保车辆自组织网络(VANETs)安全通信的问题,其中窃听者自适应地重新定位以拦截传输。我们介绍了一种利用分区可重构智能表面(RIS)来辅助源站机密信号和人工噪声(AN)的联合传输的方案。RIS分为几个部分:一个部分增强了对预期车载接收器的合法信号反射,而另一个部分则将AN指向窃听者以降低其接收能力。为了在快速变化的环境中最大限度地提高保密性能,我们引入了一个联合优化框架,该框架集成了用于RIS划分的元学习和用于反射矩阵优化的强化学习(RL)。元学习组件在遇到新的窃听场景时快速确定最佳RIS划分比例,利用先前的经验以最小的数据进行适应。随后,利用RL对波束形成矢量和RIS反射系数进行动态优化,进一步提高了安全性能。大量的模拟表明,与传统的ris辅助技术相比,该方法的保密率提高了28%,与传统的深度学习方法相比,收敛速度更快。该框架成功地平衡了信号增强与干扰干扰,保证了高动态车辆环境下的鲁棒性和高能效安全性。
本文章由计算机程序翻译,如有差异,请以英文原文为准。
求助全文
约1分钟内获得全文 求助全文
来源期刊
Sensors
Sensors 工程技术-电化学
CiteScore
7.30
自引率
12.80%
发文量
8430
审稿时长
1.7 months
期刊介绍: Sensors (ISSN 1424-8220) provides an advanced forum for the science and technology of sensors and biosensors. It publishes reviews (including comprehensive reviews on the complete sensors products), regular research papers and short notes. Our aim is to encourage scientists to publish their experimental and theoretical results in as much detail as possible. There is no restriction on the length of the papers. The full experimental details must be provided so that the results can be reproduced.
×
引用
GB/T 7714-2015
复制
MLA
复制
APA
复制
导出至
BibTeX EndNote RefMan NoteFirst NoteExpress
×
提示
您的信息不完整,为了账户安全,请先补充。
现在去补充
×
提示
您因"违规操作"
具体请查看互助需知
我知道了
×
提示
确定
请完成安全验证×
copy
已复制链接
快去分享给好友吧!
我知道了
右上角分享
点击右上角分享
0
联系我们:info@booksci.cn Book学术提供免费学术资源搜索服务,方便国内外学者检索中英文文献。致力于提供最便捷和优质的服务体验。 Copyright © 2023 布克学术 All rights reserved.
京ICP备2023020795号-1
ghs 京公网安备 11010802042870号
Book学术文献互助
Book学术文献互助群
群 号:604180095
Book学术官方微信