Health-related quality of life and financial toxicity in Chinese patients with multiple myeloma: a two-year real-world multicentre study.

IF 3.4 2区 医学 Q1 HEALTH CARE SCIENCES & SERVICES
Weijia Wu, Yannan Wang, Yingqi Wu, Fei Wu, Wenqianzi Yang, Fengyuan Tang, Meiling Zhang, Qiquan Wu, Hengjin Dong, Aizong Shen
{"title":"Health-related quality of life and financial toxicity in Chinese patients with multiple myeloma: a two-year real-world multicentre study.","authors":"Weijia Wu, Yannan Wang, Yingqi Wu, Fei Wu, Wenqianzi Yang, Fengyuan Tang, Meiling Zhang, Qiquan Wu, Hengjin Dong, Aizong Shen","doi":"10.1186/s12955-025-02419-2","DOIUrl":null,"url":null,"abstract":"<p><strong>Background: </strong>The introduction of novel therapeutic agents has transformed the treatment landscape and significantly improved survival outcomes for patients with multiple myeloma (MM). However, the effects of these advancements on health-related quality of life (HRQoL) and financial toxicity in real-world settings remain insufficiently explored. The aim of this study was to investigate HRQoL and financial toxicity among Chinese patients with MM in the era of novel agents.</p><p><strong>Methods: </strong>In this longitudinal, multicentre, real-world study, data from Chinese patients with MM were collected between March 2021 and July 2023. HRQoL was assessed using the EQ-5D-5 L, EQ-VAS and FACT-MM, while financial toxicity was measured using the Comprehensive Score for Financial Toxicity (COST). Patients were evaluated at baseline and at 3-, 6-, 12-, and 24-month follow-up visits. Mixed-effect models were employed to examine the factors associated with HRQoL and financial toxicity over time.</p><p><strong>Results: </strong>A total of 441 patients were surveyed at baseline, with 412 (93.5%), 371 (84.1%), 335 (76.0%), and 253 (57.4%) completing the follow-up visits at 3, 6, 12, and 24 months, respectively. At baseline, the mean EQ-5D-5 L, EQ-VAS, FACT-MM, and COST scores were 0.79 (SD = 0.25), 81.96 (SD = 18.73), 117.46 (SD = 21.76), and 21.84 (SD = 5.78), respectively. The EQ-5D-5 L utility values and FACT-MM scores at follow-up visits were significantly higher than those at baseline, whereas the COST scores were significantly lower. Mixed-effect model analyses revealed that higher levels of financial toxicity were significantly associated with lower HRQoL (EQ-5D-5 L: β = 0.006, p < 0.001; FACT-MM: β = 1.60, p < 0.001). Moreover, significant interaction effects between socioeconomic status and COST were observed for both the EQ-5D-5 L (β = -0.001, p < 0.001) and the FACT-MM (β = -0.12, p < 0.001).</p><p><strong>Conclusions: </strong>HRQoL improved moderately over the 24-month follow-up period, whereas financial toxicity progressively worsened. Greater financial toxicity was significantly associated with poorer HRQoL, particularly among patients with lower SES. These findings may inform future health policy development and economic evaluations aimed at improving the quality of care and financial well-being of patients with MM.</p>","PeriodicalId":12980,"journal":{"name":"Health and Quality of Life Outcomes","volume":"23 1","pages":"87"},"PeriodicalIF":3.4000,"publicationDate":"2025-09-26","publicationTypes":"Journal Article","fieldsOfStudy":null,"isOpenAccess":false,"openAccessPdf":"https://www.ncbi.nlm.nih.gov/pmc/articles/PMC12465286/pdf/","citationCount":"0","resultStr":null,"platform":"Semanticscholar","paperid":null,"PeriodicalName":"Health and Quality of Life Outcomes","FirstCategoryId":"3","ListUrlMain":"https://doi.org/10.1186/s12955-025-02419-2","RegionNum":2,"RegionCategory":"医学","ArticlePicture":[],"TitleCN":null,"AbstractTextCN":null,"PMCID":null,"EPubDate":"","PubModel":"","JCR":"Q1","JCRName":"HEALTH CARE SCIENCES & SERVICES","Score":null,"Total":0}
引用次数: 0

Abstract

Background: The introduction of novel therapeutic agents has transformed the treatment landscape and significantly improved survival outcomes for patients with multiple myeloma (MM). However, the effects of these advancements on health-related quality of life (HRQoL) and financial toxicity in real-world settings remain insufficiently explored. The aim of this study was to investigate HRQoL and financial toxicity among Chinese patients with MM in the era of novel agents.

Methods: In this longitudinal, multicentre, real-world study, data from Chinese patients with MM were collected between March 2021 and July 2023. HRQoL was assessed using the EQ-5D-5 L, EQ-VAS and FACT-MM, while financial toxicity was measured using the Comprehensive Score for Financial Toxicity (COST). Patients were evaluated at baseline and at 3-, 6-, 12-, and 24-month follow-up visits. Mixed-effect models were employed to examine the factors associated with HRQoL and financial toxicity over time.

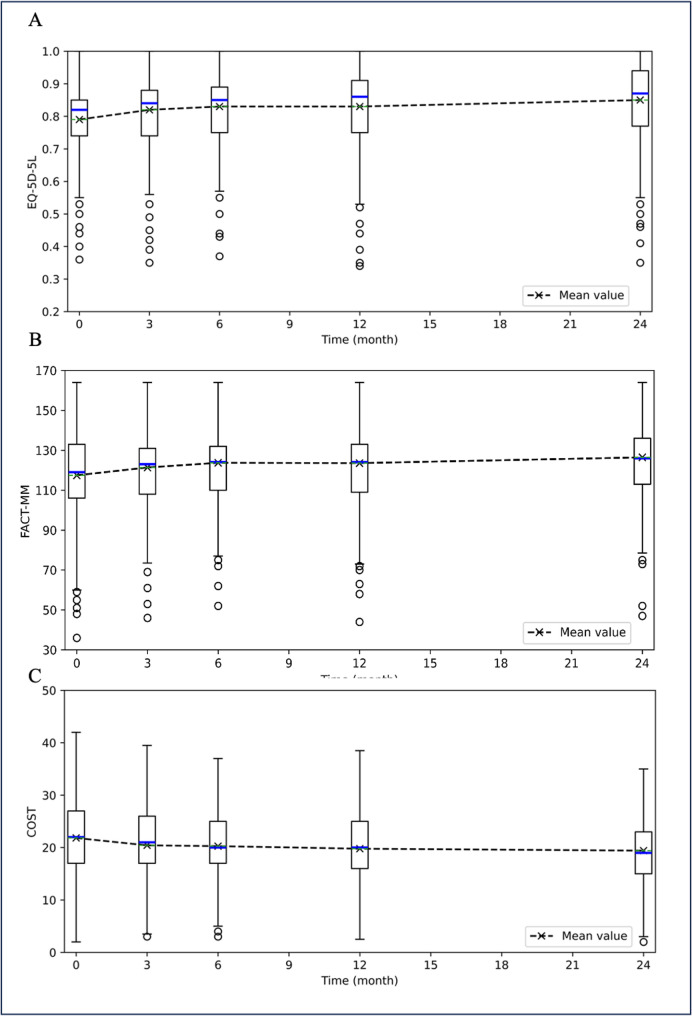
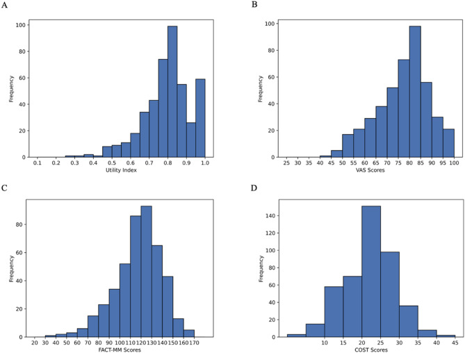
Results: A total of 441 patients were surveyed at baseline, with 412 (93.5%), 371 (84.1%), 335 (76.0%), and 253 (57.4%) completing the follow-up visits at 3, 6, 12, and 24 months, respectively. At baseline, the mean EQ-5D-5 L, EQ-VAS, FACT-MM, and COST scores were 0.79 (SD = 0.25), 81.96 (SD = 18.73), 117.46 (SD = 21.76), and 21.84 (SD = 5.78), respectively. The EQ-5D-5 L utility values and FACT-MM scores at follow-up visits were significantly higher than those at baseline, whereas the COST scores were significantly lower. Mixed-effect model analyses revealed that higher levels of financial toxicity were significantly associated with lower HRQoL (EQ-5D-5 L: β = 0.006, p < 0.001; FACT-MM: β = 1.60, p < 0.001). Moreover, significant interaction effects between socioeconomic status and COST were observed for both the EQ-5D-5 L (β = -0.001, p < 0.001) and the FACT-MM (β = -0.12, p < 0.001).

Conclusions: HRQoL improved moderately over the 24-month follow-up period, whereas financial toxicity progressively worsened. Greater financial toxicity was significantly associated with poorer HRQoL, particularly among patients with lower SES. These findings may inform future health policy development and economic evaluations aimed at improving the quality of care and financial well-being of patients with MM.

Abstract Image

Abstract Image

Abstract Image

中国多发性骨髓瘤患者的健康相关生活质量和财务毒性:一项为期两年的真实世界多中心研究
背景:新型治疗药物的引入已经改变了多发性骨髓瘤(MM)患者的治疗前景,并显著改善了患者的生存结果。然而,在现实环境中,这些进步对健康相关生活质量(HRQoL)和财务毒性的影响仍未得到充分探讨。本研究旨在探讨新型药物时代中国MM患者的HRQoL和财务毒性。方法:在这项纵向、多中心、真实世界的研究中,收集了2021年3月至2023年7月期间中国MM患者的数据。HRQoL使用eq - 5d - 5l、EQ-VAS和FACT-MM进行评估,而财务毒性使用财务毒性综合评分(COST)进行测量。在基线和3、6、12和24个月的随访中对患者进行评估。采用混合效应模型来检查HRQoL和财务毒性随时间变化的相关因素。结果:在基线时共调查了441例患者,其中412例(93.5%),371例(84.1%),335例(76.0%)和253例(57.4%)分别在3、6、12和24个月完成了随访。基线时,eq - 5d - 5l、EQ-VAS、FACT-MM和COST平均评分分别为0.79 (SD = 0.25)、81.96 (SD = 18.73)、117.46 (SD = 21.76)和21.84 (SD = 5.78)。随访时eq - 5d - 5l效用值和FACT-MM评分显著高于基线时,COST评分显著低于基线时。混合效应模型分析显示,较高水平的金融毒性与较低的HRQoL显著相关(eq - 5d - 5l: β = 0.006, p)。结论:在24个月的随访期间,HRQoL中度改善,而金融毒性逐渐恶化。较大的经济毒性与较差的HRQoL显著相关,特别是在社会经济地位较低的患者中。这些发现可能为未来的卫生政策制定和经济评估提供信息,旨在提高MM患者的护理质量和经济福利。
本文章由计算机程序翻译,如有差异,请以英文原文为准。
求助全文
约1分钟内获得全文 求助全文
来源期刊
CiteScore
7.30
自引率
2.80%
发文量
154
审稿时长
3-8 weeks
期刊介绍: Health and Quality of Life Outcomes is an open access, peer-reviewed, journal offering high quality articles, rapid publication and wide diffusion in the public domain. Health and Quality of Life Outcomes considers original manuscripts on the Health-Related Quality of Life (HRQOL) assessment for evaluation of medical and psychosocial interventions. It also considers approaches and studies on psychometric properties of HRQOL and patient reported outcome measures, including cultural validation of instruments if they provide information about the impact of interventions. The journal publishes study protocols and reviews summarising the present state of knowledge concerning a particular aspect of HRQOL and patient reported outcome measures. Reviews should generally follow systematic review methodology. Comments on articles and letters to the editor are welcome.
×
引用
GB/T 7714-2015
复制
MLA
复制
APA
复制
导出至
BibTeX EndNote RefMan NoteFirst NoteExpress
×
提示
您的信息不完整,为了账户安全,请先补充。
现在去补充
×
提示
您因"违规操作"
具体请查看互助需知
我知道了
×
提示
确定
请完成安全验证×
copy
已复制链接
快去分享给好友吧!
我知道了
右上角分享
点击右上角分享
0
联系我们:info@booksci.cn Book学术提供免费学术资源搜索服务,方便国内外学者检索中英文文献。致力于提供最便捷和优质的服务体验。 Copyright © 2023 布克学术 All rights reserved.
京ICP备2023020795号-1
ghs 京公网安备 11010802042870号
Book学术文献互助
Book学术文献互助群
群 号:604180095
Book学术官方微信