Structural Properties Before and After Ripening of Ice Cream Made with Different Dairy Fat Bases.

IF 5.1 2区 农林科学 Q1 FOOD SCIENCE & TECHNOLOGY
Foods Pub Date : 2025-09-22 DOI:10.3390/foods14183276
Paulo Henrique da Silva Santos, Cristina Kaori Suzuki, Suzana Caetano da Silva Lannes
{"title":"Structural Properties Before and After Ripening of Ice Cream Made with Different Dairy Fat Bases.","authors":"Paulo Henrique da Silva Santos, Cristina Kaori Suzuki, Suzana Caetano da Silva Lannes","doi":"10.3390/foods14183276","DOIUrl":null,"url":null,"abstract":"<p><p>Ice cream is a frozen aerated dessert composed of milk solids, sugars, stabilizers, and fat-with the latter being a key component in defining its structural and sensory properties. This study evaluated the influence of four fat sources-low-trans vegetable fat (T1), butter (T2), UHT cream (T3), and fresh cream (T4)-on the physical and structural characteristics of ice cream, including overrun, melting resistance, texture, color, and rheology, at different stages of processing (before and after maturation). Oscillatory rheological analysis revealed predominantly elastic behavior (G' > G″) after maturation in all samples, indicating a stable viscoelastic solid structure. Formulations containing T3 and T1 showed the highest overrun values, indicating greater air incorporation, whereas the butter-based formulation (T2) showed the lowest overrun values. Melting resistance followed the following order: T3 > T4 > T2 > T1; therein, the UHT cream formulation exhibited the greatest thermal stability, which was likely due to protein denaturation and aggregation induced by high-temperature processing. Texture analysis showed that the T1 formulation required the lowest maximum extrusion force, while T2 required the highest, reflecting an inverse correlation with overrun values. T1 also displayed the most distinct rheological profile, which was likely due to its specific crystallization behavior and reduced destabilization of the fat globule membrane-which favored the development of a more structured internal network. These findings demonstrate that both the source and processing of fat have a significant impact on the formation of the structural matrix and the final functional properties of ice cream. The results offer technical insights for the development of formulations tailored to specific physical characteristics, optimizing texture, stability, and performance throughout the production process.</p>","PeriodicalId":12386,"journal":{"name":"Foods","volume":"14 18","pages":""},"PeriodicalIF":5.1000,"publicationDate":"2025-09-22","publicationTypes":"Journal Article","fieldsOfStudy":null,"isOpenAccess":false,"openAccessPdf":"https://www.ncbi.nlm.nih.gov/pmc/articles/PMC12470061/pdf/","citationCount":"0","resultStr":null,"platform":"Semanticscholar","paperid":null,"PeriodicalName":"Foods","FirstCategoryId":"97","ListUrlMain":"https://doi.org/10.3390/foods14183276","RegionNum":2,"RegionCategory":"农林科学","ArticlePicture":[],"TitleCN":null,"AbstractTextCN":null,"PMCID":null,"EPubDate":"","PubModel":"","JCR":"Q1","JCRName":"FOOD SCIENCE & TECHNOLOGY","Score":null,"Total":0}
引用次数: 0

Abstract

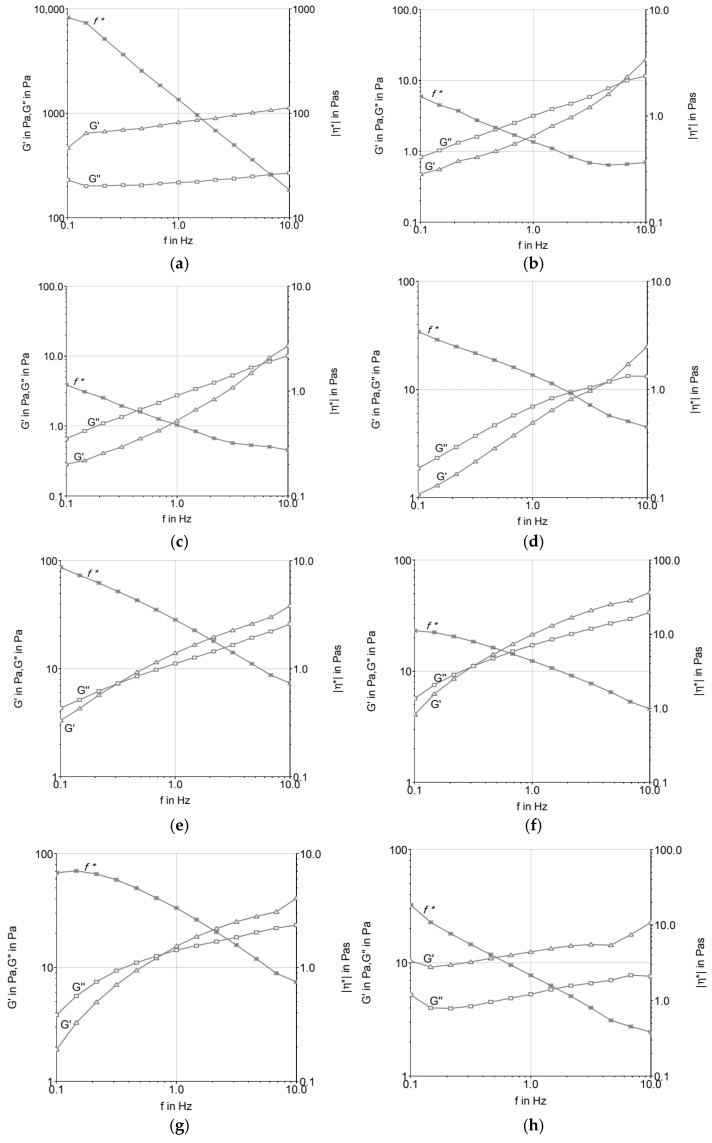
Ice cream is a frozen aerated dessert composed of milk solids, sugars, stabilizers, and fat-with the latter being a key component in defining its structural and sensory properties. This study evaluated the influence of four fat sources-low-trans vegetable fat (T1), butter (T2), UHT cream (T3), and fresh cream (T4)-on the physical and structural characteristics of ice cream, including overrun, melting resistance, texture, color, and rheology, at different stages of processing (before and after maturation). Oscillatory rheological analysis revealed predominantly elastic behavior (G' > G″) after maturation in all samples, indicating a stable viscoelastic solid structure. Formulations containing T3 and T1 showed the highest overrun values, indicating greater air incorporation, whereas the butter-based formulation (T2) showed the lowest overrun values. Melting resistance followed the following order: T3 > T4 > T2 > T1; therein, the UHT cream formulation exhibited the greatest thermal stability, which was likely due to protein denaturation and aggregation induced by high-temperature processing. Texture analysis showed that the T1 formulation required the lowest maximum extrusion force, while T2 required the highest, reflecting an inverse correlation with overrun values. T1 also displayed the most distinct rheological profile, which was likely due to its specific crystallization behavior and reduced destabilization of the fat globule membrane-which favored the development of a more structured internal network. These findings demonstrate that both the source and processing of fat have a significant impact on the formation of the structural matrix and the final functional properties of ice cream. The results offer technical insights for the development of formulations tailored to specific physical characteristics, optimizing texture, stability, and performance throughout the production process.

Abstract Image

Abstract Image

Abstract Image

不同乳脂肪基冰淇淋成熟前后的结构特性
冰淇淋是一种冷冻的充气甜点,由牛奶固体、糖、稳定剂和脂肪组成,后者是决定其结构和感官特性的关键成分。本研究评估了四种脂肪来源——低反式植物脂肪(T1)、黄油(T2)、UHT奶油(T3)和鲜奶油(T4)在不同加工阶段(成熟前后)对冰淇淋物理和结构特征的影响,包括溢出、抗融化、质地、颜色和流变学。振荡流变学分析显示,所有样品成熟后的主要弹性行为(G' > G″),表明稳定的粘弹性固体结构。含有T3和T1的配方显示出最高的溢出值,表明更多的空气进入,而黄油基配方(T2)显示出最低的溢出值。熔阻顺序为:T3 > T4 > T2 > T1;其中,UHT乳膏配方表现出最大的热稳定性,这可能是由于高温加工引起的蛋白质变性和聚集。织构分析表明,T1配方对最大挤压力的要求最低,T2配方对最大挤压力的要求最高,与超限值呈负相关。T1也表现出最独特的流变特征,这可能是由于其特定的结晶行为和减少脂肪球膜的不稳定性,这有利于形成更结构化的内部网络。这些发现表明,脂肪的来源和加工对冰淇淋结构基质的形成和最终功能特性都有重大影响。研究结果为开发适合特定物理特性的配方提供了技术见解,优化了整个生产过程中的质地、稳定性和性能。
本文章由计算机程序翻译,如有差异,请以英文原文为准。
求助全文
约1分钟内获得全文 求助全文
来源期刊
Foods
Foods Immunology and Microbiology-Microbiology
CiteScore
7.40
自引率
15.40%
发文量
3516
审稿时长
15.83 days
期刊介绍: Foods (ISSN 2304-8158) is an international, peer-reviewed scientific open access journal which provides an advanced forum for studies related to all aspects of food research. It publishes reviews, regular research papers and short communications. Our aim is to encourage scientists, researchers, and other food professionals to publish their experimental and theoretical results in as much detail as possible or share their knowledge with as much readers unlimitedly as possible. There is no restriction on the length of the papers. The full experimental details must be provided so that the results can be reproduced. There are, in addition, unique features of this journal: Ÿ manuscripts regarding research proposals and research ideas will be particularly welcomed Ÿ electronic files or software regarding the full details of the calculation and experimental procedure, if unable to be published in a normal way, can be deposited as supplementary material Ÿ we also accept manuscripts communicating to a broader audience with regard to research projects financed with public funds
×
引用
GB/T 7714-2015
复制
MLA
复制
APA
复制
导出至
BibTeX EndNote RefMan NoteFirst NoteExpress
×
提示
您的信息不完整,为了账户安全,请先补充。
现在去补充
×
提示
您因"违规操作"
具体请查看互助需知
我知道了
×
提示
确定
请完成安全验证×
copy
已复制链接
快去分享给好友吧!
我知道了
右上角分享
点击右上角分享
0
联系我们:info@booksci.cn Book学术提供免费学术资源搜索服务,方便国内外学者检索中英文文献。致力于提供最便捷和优质的服务体验。 Copyright © 2023 布克学术 All rights reserved.
京ICP备2023020795号-1
ghs 京公网安备 11010802042870号
Book学术文献互助
Book学术文献互助群
群 号:604180095
Book学术官方微信