Hydrophilic Antistatic Modification: Preparation and Properties of Long-Chain Segment Copolymerized PET

IF 1 4区 化学 Q4 POLYMER SCIENCE
Chaoyou Chen, Shuyang Li, Wangyang Xiao, Ben Wei, Xuzhen Zhang, Xiuhua Wang, Chongyin Zhang
{"title":"Hydrophilic Antistatic Modification: Preparation and Properties of Long-Chain Segment Copolymerized PET","authors":"Chaoyou Chen,&nbsp;Shuyang Li,&nbsp;Wangyang Xiao,&nbsp;Ben Wei,&nbsp;Xuzhen Zhang,&nbsp;Xiuhua Wang,&nbsp;Chongyin Zhang","doi":"10.1134/S1560090425600226","DOIUrl":null,"url":null,"abstract":"<p>To address the issue of poly(ethylene terephthalate) being highly hydrophobic and prone to static electricity due to friction, this study modifies PET through copolymerization with flexible long-chain monomers containing hydrophilic functional groups, creating a novel spinning-grade modified polyester with both hydrophilic and antistatic properties. Specifically, polyethylene glycol with a specific molecular weight (<i>M</i><sub>n</sub> = 4000) was used as a reactive hydrophilic and antistatic modification component, with a copolymerization content of 5~20%. Testing and characterization of the copolyester structure and properties showed that, compared to pure PET polyester, the introduction of hydrophilic ether bonds resulted in a significant hydrophilic modification effect, with the moisture absorption rate increasing from 0.11 to 1.12% and the surface water contact angle decreasing from 89.6° to 64.1°. Meanwhile, the volume resistivity of the copolyester decreased by 3–4 orders of magnitude compared to pure PET. This study improves the hydrophilic and antistatic properties of PET polyester through a low-cost modification method, providing essential reference for the development of functional polyesters and their fiber products.</p>","PeriodicalId":739,"journal":{"name":"Polymer Science, Series B","volume":"66 6","pages":"703 - 715"},"PeriodicalIF":1.0000,"publicationDate":"2025-05-28","publicationTypes":"Journal Article","fieldsOfStudy":null,"isOpenAccess":false,"openAccessPdf":"","citationCount":"0","resultStr":null,"platform":"Semanticscholar","paperid":null,"PeriodicalName":"Polymer Science, Series B","FirstCategoryId":"1","ListUrlMain":"https://link.springer.com/article/10.1134/S1560090425600226","RegionNum":4,"RegionCategory":"化学","ArticlePicture":[],"TitleCN":null,"AbstractTextCN":null,"PMCID":null,"EPubDate":"","PubModel":"","JCR":"Q4","JCRName":"POLYMER SCIENCE","Score":null,"Total":0}
引用次数: 0

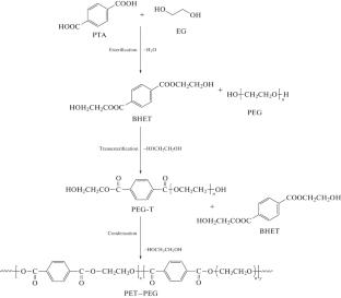
Abstract

To address the issue of poly(ethylene terephthalate) being highly hydrophobic and prone to static electricity due to friction, this study modifies PET through copolymerization with flexible long-chain monomers containing hydrophilic functional groups, creating a novel spinning-grade modified polyester with both hydrophilic and antistatic properties. Specifically, polyethylene glycol with a specific molecular weight (Mn = 4000) was used as a reactive hydrophilic and antistatic modification component, with a copolymerization content of 5~20%. Testing and characterization of the copolyester structure and properties showed that, compared to pure PET polyester, the introduction of hydrophilic ether bonds resulted in a significant hydrophilic modification effect, with the moisture absorption rate increasing from 0.11 to 1.12% and the surface water contact angle decreasing from 89.6° to 64.1°. Meanwhile, the volume resistivity of the copolyester decreased by 3–4 orders of magnitude compared to pure PET. This study improves the hydrophilic and antistatic properties of PET polyester through a low-cost modification method, providing essential reference for the development of functional polyesters and their fiber products.

Abstract Image

亲水抗静电改性:长链段共聚PET的制备及其性能
为了解决聚对苯二甲酸乙酯高度疏水和摩擦产生静电的问题,本研究通过与含有亲水性官能团的柔性长链单体共聚改性PET,制备了一种具有亲水性和抗静电性能的新型纺丝级改性聚酯。具体而言,采用比分子量(Mn = 4000)的聚乙二醇作为反应性亲水性抗静电改性组分,共聚含量为5~20%。对共聚酯结构和性能的测试和表征表明,与纯PET聚酯相比,引入亲水性醚键的共聚酯具有明显的亲水性改性效果,吸湿率从0.11%提高到1.12%,表面水接触角从89.6°降低到64.1°。同时,共聚酯的体积电阻率比纯PET降低了3-4个数量级。本研究通过低成本的改性方法提高了PET聚酯的亲水性和抗静电性能,为功能性聚酯及其纤维制品的开发提供了必要的参考。
本文章由计算机程序翻译,如有差异,请以英文原文为准。
求助全文
约1分钟内获得全文 求助全文
来源期刊
Polymer Science, Series B
Polymer Science, Series B 化学-高分子科学
CiteScore
1.80
自引率
8.30%
发文量
58
审稿时长
>0 weeks
期刊介绍: Polymer Science, Series B is a journal published in collaboration with the Russian Academy of Sciences. Series B experimental and theoretical papers and reviews dealing with the synthesis, kinetics, catalysis, and chemical transformations of macromolecules, supramolecular structures, and polymer matrix-based composites (6 issues a year). All journal series present original papers and reviews covering all fundamental aspects of macromolecular science. Contributions should be of marked novelty and interest for a broad readership. Articles may be written in English or Russian regardless of country and nationality of authors. All manuscripts are peer reviewed
×
引用
GB/T 7714-2015
复制
MLA
复制
APA
复制
导出至
BibTeX EndNote RefMan NoteFirst NoteExpress
×
提示
您的信息不完整,为了账户安全,请先补充。
现在去补充
×
提示
您因"违规操作"
具体请查看互助需知
我知道了
×
提示
确定
请完成安全验证×
copy
已复制链接
快去分享给好友吧!
我知道了
右上角分享
点击右上角分享
0
联系我们:info@booksci.cn Book学术提供免费学术资源搜索服务,方便国内外学者检索中英文文献。致力于提供最便捷和优质的服务体验。 Copyright © 2023 布克学术 All rights reserved.
京ICP备2023020795号-1
ghs 京公网安备 11010802042870号
Book学术文献互助
Book学术文献互助群
群 号:604180095
Book学术官方微信