Plasmon Polaritons of the TE and TM Types in a Metal Film Bordering a Superlattice. III: Plasmon Polaritons in Bilayer Superlattices

IF 0.5 4区 材料科学 Q4 CRYSTALLOGRAPHY
A. N. Darinskii
{"title":"Plasmon Polaritons of the TE and TM Types in a Metal Film Bordering a Superlattice. III: Plasmon Polaritons in Bilayer Superlattices","authors":"A. N. Darinskii","doi":"10.1134/S1063774525600322","DOIUrl":null,"url":null,"abstract":"<p>The <i>TE-</i> and <i>TM-</i>polarized surface plasmon polaritons in a metal film contacting a semi-infinite periodic superlattice formed by alternating layers of two materials have been theoretically investigated. It is shown that, in a certain case, the frequency dependence of the impedances of this bilayer superlattice can be of only two types out of three possible types of dependences. The dispersion curves of <i>ТE-</i> and <i>TM-</i>polarized surface plasmon polaritons in a silver film have been calculated for a number of structures consisting of various combinations of bilayer superlattices containing quartz and titanium oxide layers. The calculation results are compared with the conclusions of the general theory on the maximum number of surface plasmon polaritons. The effect of the absorption of electromagnetic waves in the film on the characteristics of surface plasmon polaritons is analyzed.</p>","PeriodicalId":527,"journal":{"name":"Crystallography Reports","volume":"70 3","pages":"482 - 490"},"PeriodicalIF":0.5000,"publicationDate":"2025-07-23","publicationTypes":"Journal Article","fieldsOfStudy":null,"isOpenAccess":false,"openAccessPdf":"","citationCount":"0","resultStr":null,"platform":"Semanticscholar","paperid":null,"PeriodicalName":"Crystallography Reports","FirstCategoryId":"88","ListUrlMain":"https://link.springer.com/article/10.1134/S1063774525600322","RegionNum":4,"RegionCategory":"材料科学","ArticlePicture":[],"TitleCN":null,"AbstractTextCN":null,"PMCID":null,"EPubDate":"","PubModel":"","JCR":"Q4","JCRName":"CRYSTALLOGRAPHY","Score":null,"Total":0}
引用次数: 0

Abstract

The TE- and TM-polarized surface plasmon polaritons in a metal film contacting a semi-infinite periodic superlattice formed by alternating layers of two materials have been theoretically investigated. It is shown that, in a certain case, the frequency dependence of the impedances of this bilayer superlattice can be of only two types out of three possible types of dependences. The dispersion curves of ТE- and TM-polarized surface plasmon polaritons in a silver film have been calculated for a number of structures consisting of various combinations of bilayer superlattices containing quartz and titanium oxide layers. The calculation results are compared with the conclusions of the general theory on the maximum number of surface plasmon polaritons. The effect of the absorption of electromagnetic waves in the film on the characteristics of surface plasmon polaritons is analyzed.

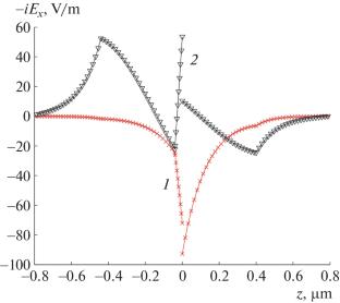
Abstract Image

超晶格金属薄膜中TE型和TM型等离激元极化子。双层超晶格中的等离子激元极化子
本文从理论上研究了两种材料交变层形成的半无限周期超晶格金属膜中TE和tm极化表面等离子体激元的极化现象。结果表明,在一定情况下,该双层超晶格的阻抗的频率依赖性只能是三种可能依赖性中的两种。计算了含有石英层和氧化钛层的双层超晶格的各种组合组成的银膜中ТE-和tm极化表面等离子激元的色散曲线。计算结果与表面等离子激元极化子最大数目的一般理论结论进行了比较。分析了电磁波在薄膜中的吸收对表面等离激元极化子特性的影响。
本文章由计算机程序翻译,如有差异,请以英文原文为准。
求助全文
约1分钟内获得全文 求助全文
来源期刊
Crystallography Reports
Crystallography Reports 化学-晶体学
CiteScore
1.10
自引率
28.60%
发文量
96
审稿时长
4-8 weeks
期刊介绍: Crystallography Reports is a journal that publishes original articles short communications, and reviews on various aspects of crystallography: diffraction and scattering of X-rays, electrons, and neutrons, determination of crystal structure of inorganic and organic substances, including proteins and other biological substances; UV-VIS and IR spectroscopy; growth, imperfect structure and physical properties of crystals; thin films, liquid crystals, nanomaterials, partially disordered systems, and the methods of studies.
×
引用
GB/T 7714-2015
复制
MLA
复制
APA
复制
导出至
BibTeX EndNote RefMan NoteFirst NoteExpress
×
提示
您的信息不完整,为了账户安全,请先补充。
现在去补充
×
提示
您因"违规操作"
具体请查看互助需知
我知道了
×
提示
确定
请完成安全验证×
copy
已复制链接
快去分享给好友吧!
我知道了
右上角分享
点击右上角分享
0
联系我们:info@booksci.cn Book学术提供免费学术资源搜索服务,方便国内外学者检索中英文文献。致力于提供最便捷和优质的服务体验。 Copyright © 2023 布克学术 All rights reserved.
京ICP备2023020795号-1
ghs 京公网安备 11010802042870号
Book学术文献互助
Book学术文献互助群
群 号:604180095
Book学术官方微信