Calcium Fluorosilicate Ca5[SiO4]2F2 from Burnt Dumps of the Chelyabinsk Coal Basin (South Urals): Crystal Chemistry, Spectroscopy, Thermal Behavior

IF 0.5 4区 材料科学 Q4 CRYSTALLOGRAPHY
A. S. Brazhnikova, A. A. Zolotarev, M. S. Avdontceva, S. V. Krivovichev, M. G. Krzhizhanovskaya, V. N. Bocharov, N. S. Vlasenko, M. A. Rassomakhin
{"title":"Calcium Fluorosilicate Ca5[SiO4]2F2 from Burnt Dumps of the Chelyabinsk Coal Basin (South Urals): Crystal Chemistry, Spectroscopy, Thermal Behavior","authors":"A. S. Brazhnikova,&nbsp;A. A. Zolotarev,&nbsp;M. S. Avdontceva,&nbsp;S. V. Krivovichev,&nbsp;M. G. Krzhizhanovskaya,&nbsp;V. N. Bocharov,&nbsp;N. S. Vlasenko,&nbsp;M. A. Rassomakhin","doi":"10.1134/S106377452460282X","DOIUrl":null,"url":null,"abstract":"<p>The anthropogenic calcium fluorosilicate “kutyukhinite” Ca<sub>5</sub>[SiO<sub>4</sub>]<sub>2</sub>F<sub>2</sub> from burnt dumps of the Chelyabinsk coal basin has been studied by single crystal and powder X-ray diffraction analyses in a wide temperature range. “Kutyukhinite” (<i>P</i>2<sub>1</sub>/<i>a</i>, <i>a</i> = 11.4985(4) Å, <i>b</i> = 5.0535(2) Å, <i>c</i> = 8.7848(3) Å, β = 109.008(4)°, <i>V</i> = 482.63(3) Å<sup>3</sup>, <i>R</i><sub>1</sub> = 0.0183) is an anthropogenic analogue of kumtyubeite, which belongs to the structural type of chondrodite. The empirical formula of “kutyukhinite” is Ca<sub>5.02</sub>[Si<sub>1.99</sub>O<sub>7.98</sub>]F<sub>2.04</sub>. Upon heating, its crystal structure expands anisotropically, with the direction of maximum thermal expansion close to the [100] direction. The relative change in bond lengths in silicon–oxygen tetrahedra with increasing temperature (27–927 °C) is less than 0.6%, which is within the margin of error. At the same time, the relative increase in the average bond length 〈Ca–O〉 varies from 1% (〈Ca1–O〉) to 1.5% (〈Ca3–O〉). The largest relative change of  2% was found for the average bond length 〈Ca3–F1〉.</p>","PeriodicalId":527,"journal":{"name":"Crystallography Reports","volume":"70 3","pages":"350 - 357"},"PeriodicalIF":0.5000,"publicationDate":"2025-07-23","publicationTypes":"Journal Article","fieldsOfStudy":null,"isOpenAccess":false,"openAccessPdf":"","citationCount":"0","resultStr":null,"platform":"Semanticscholar","paperid":null,"PeriodicalName":"Crystallography Reports","FirstCategoryId":"88","ListUrlMain":"https://link.springer.com/article/10.1134/S106377452460282X","RegionNum":4,"RegionCategory":"材料科学","ArticlePicture":[],"TitleCN":null,"AbstractTextCN":null,"PMCID":null,"EPubDate":"","PubModel":"","JCR":"Q4","JCRName":"CRYSTALLOGRAPHY","Score":null,"Total":0}
引用次数: 0

Abstract

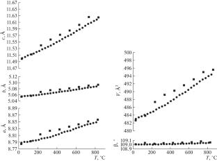
The anthropogenic calcium fluorosilicate “kutyukhinite” Ca5[SiO4]2F2 from burnt dumps of the Chelyabinsk coal basin has been studied by single crystal and powder X-ray diffraction analyses in a wide temperature range. “Kutyukhinite” (P21/a, a = 11.4985(4) Å, b = 5.0535(2) Å, c = 8.7848(3) Å, β = 109.008(4)°, V = 482.63(3) Å3, R1 = 0.0183) is an anthropogenic analogue of kumtyubeite, which belongs to the structural type of chondrodite. The empirical formula of “kutyukhinite” is Ca5.02[Si1.99O7.98]F2.04. Upon heating, its crystal structure expands anisotropically, with the direction of maximum thermal expansion close to the [100] direction. The relative change in bond lengths in silicon–oxygen tetrahedra with increasing temperature (27–927 °C) is less than 0.6%, which is within the margin of error. At the same time, the relative increase in the average bond length 〈Ca–O〉 varies from 1% (〈Ca1–O〉) to 1.5% (〈Ca3–O〉). The largest relative change of  2% was found for the average bond length 〈Ca3–F1〉.

Abstract Image

车里雅宾斯克煤盆地(南乌拉尔)燃烧堆中的氟硅酸钙Ca5[SiO4]2F2:晶体化学、光谱学、热行为
采用单晶和粉末x射线衍射分析方法,在较宽温度范围内研究了车里雅宾斯克煤田燃烧堆中的人为氟硅酸钙Ca5[SiO4]2F2。“Kutyukhinite”(P21/a, a = 11.4985(4) Å, b = 5.0535(2) Å, c = 8.7848(3) Å, β = 109.008(4)°,V = 482.63(3) Å3, R1 = 0.0183)是kumtyubeite的人为类似物,属于软骨石结构类型。“kutyukhinite”的经验公式为Ca5.02[si1.9907 .98]F2.04。加热后,其晶体结构呈各向异性膨胀,最大热膨胀方向接近[100]方向。硅氧四面体的键长随温度升高(27 ~ 927℃)的相对变化小于0.6%,在误差范围内。同时,平均键长< Ca-O >的相对增幅从1% (< Ca1-O >)到1.5% (< Ca3-O >)不等。平均键长< Ca3-F1 >的相对变化最大,为2%。
本文章由计算机程序翻译,如有差异,请以英文原文为准。
求助全文
约1分钟内获得全文 求助全文
来源期刊
Crystallography Reports
Crystallography Reports 化学-晶体学
CiteScore
1.10
自引率
28.60%
发文量
96
审稿时长
4-8 weeks
期刊介绍: Crystallography Reports is a journal that publishes original articles short communications, and reviews on various aspects of crystallography: diffraction and scattering of X-rays, electrons, and neutrons, determination of crystal structure of inorganic and organic substances, including proteins and other biological substances; UV-VIS and IR spectroscopy; growth, imperfect structure and physical properties of crystals; thin films, liquid crystals, nanomaterials, partially disordered systems, and the methods of studies.
×
引用
GB/T 7714-2015
复制
MLA
复制
APA
复制
导出至
BibTeX EndNote RefMan NoteFirst NoteExpress
×
提示
您的信息不完整,为了账户安全,请先补充。
现在去补充
×
提示
您因"违规操作"
具体请查看互助需知
我知道了
×
提示
确定
请完成安全验证×
copy
已复制链接
快去分享给好友吧!
我知道了
右上角分享
点击右上角分享
0
联系我们:info@booksci.cn Book学术提供免费学术资源搜索服务,方便国内外学者检索中英文文献。致力于提供最便捷和优质的服务体验。 Copyright © 2023 布克学术 All rights reserved.
京ICP备2023020795号-1
ghs 京公网安备 11010802042870号
Book学术文献互助
Book学术文献互助群
群 号:604180095
Book学术官方微信