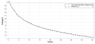
Lead–carbon batteries represent a groundbreaking achievement in the realm of superbatteries, seamlessly blending the technical merits of lead-acid batteries with supercapacitors. They boast not only the energy storage capabilities of batteries but also exhibit the swift high-capacity charging and discharging abilities of supercapacitors. This fusion renders lead–carbon batteries highly efficient in rapid charge–discharge applications and endowed with substantial energy density. However, research into assessing the state of charge (SOC) of lead–carbon batteries remains relatively underdeveloped. Specifically, the challenges associated with achieving accurate and real-time SOC estimation have hindered extensive studies in this area. Addressing these challenges, particularly those related to accuracy and real-time performance, is crucial for advancing SOC estimation in lead–carbon batteries. This study proposes a state-of-charge (SOC) estimation method for lead–carbon batteries based on a Dual Extended Kalman Filter (DEKF). By establishing a second-order Partnership for a New Generation of Vehicles (PNGV) equivalent circuit model for lead–carbon batteries and conducting Urban Dynamometer Driving Schedule (UDDS) and Dynamic Stress Test (DST) simulations, the experimental results demonstrate that the DEKF joint estimation method can accurately and stably estimate the SOC of lead–carbon batteries, with a maximum estimation error of less than 1%. This algorithm is simple and practical, providing accurate and reliable state estimation and prediction for the battery management system, thereby enhancing battery lifespan and performance.


