Tunable Optical and Electrical Properties of Poly(meta-aminophenol) via Doping with FeCl3 and I2 for Advanced Applications

IF 1.1 4区 化学 Q4 POLYMER SCIENCE
Bouabdallah Daho, Abdelkader Dehbi, Ali Alsalme, Massimo Messori
{"title":"Tunable Optical and Electrical Properties of Poly(meta-aminophenol) via Doping with FeCl3 and I2 for Advanced Applications","authors":"Bouabdallah Daho,&nbsp;Abdelkader Dehbi,&nbsp;Ali Alsalme,&nbsp;Massimo Messori","doi":"10.1134/S0965545X25600528","DOIUrl":null,"url":null,"abstract":"<p>Conjugated conductive organic polymers, such as polyacetylene, polythiophene, polypyrrole, and polyaniline, are among the most widely studied materials due to their unique properties and diverse applications. To explore their potential for advanced technologies, poly(meta-aminophenol) was synthesized and characterized using FTIR, XRD, UV–Vis spectroscopy, TGA, and electrical measurements. The optical properties of the doped polymer were investigated through oxidation-reduction reactions using FeCl<sub>3</sub> and I<sub>2</sub> to analyze its redox behavior. Upon doping, the energy gap of the polymers decreased, influenced by the oxidation potential of the dopants. The undoped polymer exhibited an energy gap of 3.4 eV, which reduced to 1.8 eV for the I<sub>2</sub>-doped polymer and 2.05 eV for the FeCl<sub>3</sub>-doped polymer. This reduction in energy gap correlated with an increase in electrical conductivity, from 8.85 × 10<sup>−4</sup> S/m for the undoped polymer to 7.28 × 10<sup>–3</sup> S/m for the I<sub>2</sub>-doped polymer and 4.22 × 10<sup>−3</sup> S/m for the FeCl<sub>3</sub>-doped polymer.</p>","PeriodicalId":738,"journal":{"name":"Polymer Science, Series A","volume":"66 6","pages":"696 - 702"},"PeriodicalIF":1.1000,"publicationDate":"2025-07-15","publicationTypes":"Journal Article","fieldsOfStudy":null,"isOpenAccess":false,"openAccessPdf":"","citationCount":"0","resultStr":null,"platform":"Semanticscholar","paperid":null,"PeriodicalName":"Polymer Science, Series A","FirstCategoryId":"1","ListUrlMain":"https://link.springer.com/article/10.1134/S0965545X25600528","RegionNum":4,"RegionCategory":"化学","ArticlePicture":[],"TitleCN":null,"AbstractTextCN":null,"PMCID":null,"EPubDate":"","PubModel":"","JCR":"Q4","JCRName":"POLYMER SCIENCE","Score":null,"Total":0}
引用次数: 0

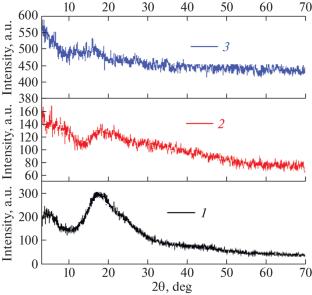
Abstract

Conjugated conductive organic polymers, such as polyacetylene, polythiophene, polypyrrole, and polyaniline, are among the most widely studied materials due to their unique properties and diverse applications. To explore their potential for advanced technologies, poly(meta-aminophenol) was synthesized and characterized using FTIR, XRD, UV–Vis spectroscopy, TGA, and electrical measurements. The optical properties of the doped polymer were investigated through oxidation-reduction reactions using FeCl3 and I2 to analyze its redox behavior. Upon doping, the energy gap of the polymers decreased, influenced by the oxidation potential of the dopants. The undoped polymer exhibited an energy gap of 3.4 eV, which reduced to 1.8 eV for the I2-doped polymer and 2.05 eV for the FeCl3-doped polymer. This reduction in energy gap correlated with an increase in electrical conductivity, from 8.85 × 10−4 S/m for the undoped polymer to 7.28 × 10–3 S/m for the I2-doped polymer and 4.22 × 10−3 S/m for the FeCl3-doped polymer.

Abstract Image

通过FeCl3和I2掺杂聚间氨基苯酚的可调光学和电学性质在高级应用中的应用
共轭导电有机聚合物,如聚乙炔、聚噻吩、聚吡咯和聚苯胺,由于其独特的性能和多样化的应用,是研究最广泛的材料之一。为了探索其先进技术的潜力,合成了聚(间氨基酚),并使用FTIR, XRD, UV-Vis光谱,TGA和电测量对其进行了表征。通过FeCl3和I2的氧化还原反应研究了掺杂聚合物的光学性质,分析了其氧化还原行为。掺杂后,受掺杂物氧化电位的影响,聚合物的能隙减小。未掺杂聚合物的能隙为3.4 eV, i2掺杂聚合物的能隙为1.8 eV, fecl3掺杂聚合物的能隙为2.05 eV。这种能隙的减小与电导率的增加相关,从未掺杂聚合物的8.85 × 10 - 4 S/m到掺杂i2的7.28 × 10 - 3 S/m和掺杂fecl3的4.22 × 10 - 3 S/m。
本文章由计算机程序翻译,如有差异,请以英文原文为准。
求助全文
约1分钟内获得全文 求助全文
来源期刊
Polymer Science, Series A
Polymer Science, Series A 化学-高分子科学
CiteScore
1.70
自引率
0.00%
发文量
55
审稿时长
3 months
期刊介绍: Polymer Science, Series A is a journal published in collaboration with the Russian Academy of Sciences. Series A includes experimental and theoretical papers and reviews devoted to physicochemical studies of the structure and properties of polymers (6 issues a year). All journal series present original papers and reviews covering all fundamental aspects of macromolecular science. Contributions should be of marked novelty and interest for a broad readership. Articles may be written in English or Russian regardless of country and nationality of authors. All manuscripts are peer reviewed. Online submission via Internet to the Series A, B, and C is available at http://polymsci.ru.
×
引用
GB/T 7714-2015
复制
MLA
复制
APA
复制
导出至
BibTeX EndNote RefMan NoteFirst NoteExpress
×
提示
您的信息不完整,为了账户安全,请先补充。
现在去补充
×
提示
您因"违规操作"
具体请查看互助需知
我知道了
×
提示
确定
请完成安全验证×
copy
已复制链接
快去分享给好友吧!
我知道了
右上角分享
点击右上角分享
0
联系我们:info@booksci.cn Book学术提供免费学术资源搜索服务,方便国内外学者检索中英文文献。致力于提供最便捷和优质的服务体验。 Copyright © 2023 布克学术 All rights reserved.
京ICP备2023020795号-1
ghs 京公网安备 11010802042870号
Book学术文献互助
Book学术文献互助群
群 号:604180095
Book学术官方微信