Comprehensive Method for Sorption Preconcentration of Radionuclides from Seawater

IF 1 Q4 CHEMISTRY, INORGANIC & NUCLEAR
N. A. Bezhin, I. G. Shibetskaia, V. A. Razina, O. N. Kozlovskaia, V. A. Turyanskiy, I. G. Tananaev
{"title":"Comprehensive Method for Sorption Preconcentration of Radionuclides from Seawater","authors":"N. A. Bezhin,&nbsp;I. G. Shibetskaia,&nbsp;V. A. Razina,&nbsp;O. N. Kozlovskaia,&nbsp;V. A. Turyanskiy,&nbsp;I. G. Tananaev","doi":"10.1134/S1066362225030129","DOIUrl":null,"url":null,"abstract":"<p>The possibility and efficiency of sorption of artificial (<sup>137</sup>Cs), natural (<sup>210</sup>Pb, <sup>210</sup>Po, <sup>226</sup>Ra, <sup>228</sup>Ra, <sup>234</sup>Th), and cosmogenic (<sup>7</sup>Be, <sup>32</sup>P, <sup>33</sup>P) radionuclides from large volumes of seawater using various types of sorbents were evaluated. The sorption of the radionuclides studied was scaled up and optimized, and the optimal parameters of the sorption preconcentration were established. Based on the data obtained, a comprehensive method for simultaneous preconcentration of a wide range of radionuclides from seawater using the most efficient sorbents was developed and tested. By this method, diverse radionuclides can be concentrated from a single sample, which significantly simplifies the sampling procedures and field research.</p>","PeriodicalId":747,"journal":{"name":"Radiochemistry","volume":"67 3","pages":"334 - 345"},"PeriodicalIF":1.0000,"publicationDate":"2025-08-07","publicationTypes":"Journal Article","fieldsOfStudy":null,"isOpenAccess":false,"openAccessPdf":"","citationCount":"0","resultStr":null,"platform":"Semanticscholar","paperid":null,"PeriodicalName":"Radiochemistry","FirstCategoryId":"1085","ListUrlMain":"https://link.springer.com/article/10.1134/S1066362225030129","RegionNum":0,"RegionCategory":null,"ArticlePicture":[],"TitleCN":null,"AbstractTextCN":null,"PMCID":null,"EPubDate":"","PubModel":"","JCR":"Q4","JCRName":"CHEMISTRY, INORGANIC & NUCLEAR","Score":null,"Total":0}
引用次数: 0

Abstract

The possibility and efficiency of sorption of artificial (137Cs), natural (210Pb, 210Po, 226Ra, 228Ra, 234Th), and cosmogenic (7Be, 32P, 33P) radionuclides from large volumes of seawater using various types of sorbents were evaluated. The sorption of the radionuclides studied was scaled up and optimized, and the optimal parameters of the sorption preconcentration were established. Based on the data obtained, a comprehensive method for simultaneous preconcentration of a wide range of radionuclides from seawater using the most efficient sorbents was developed and tested. By this method, diverse radionuclides can be concentrated from a single sample, which significantly simplifies the sampling procedures and field research.

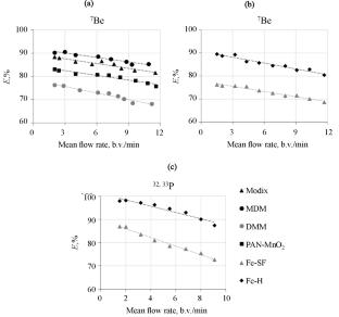
Abstract Image

海水中放射性核素吸附预富集的综合方法
评价了不同吸附剂对大量海水中人工(137Cs)、天然(210Pb、210Po、226Ra、228Ra、234)和宇宙源(7Be、32P、33P)放射性核素的吸附效果。对所研究的放射性核素的吸附进行了放大和优化,确定了吸附预富集的最佳参数。根据所获得的数据,开发并测试了一种综合方法,利用最有效的吸附剂同时预浓缩海水中的各种放射性核素。通过这种方法,可以从一个样品中浓缩多种放射性核素,大大简化了采样程序和现场研究。
本文章由计算机程序翻译,如有差异,请以英文原文为准。
求助全文
约1分钟内获得全文 求助全文
来源期刊
Radiochemistry
Radiochemistry CHEMISTRY, INORGANIC & NUCLEAR-
CiteScore
1.30
自引率
33.30%
发文量
51
期刊介绍: Radiochemistry  is a journal that covers the theoretical and applied aspects of radiochemistry, including basic nuclear physical properties of radionuclides; chemistry of radioactive elements and their compounds; the occurrence and behavior of natural and artificial radionuclides in the environment; nuclear fuel cycle; radiochemical analysis methods and devices; production and isolation of radionuclides, synthesis of labeled compounds, new applications of radioactive tracers; radiochemical aspects of nuclear medicine; radiation chemistry and after-effects of nuclear transformations.
×
引用
GB/T 7714-2015
复制
MLA
复制
APA
复制
导出至
BibTeX EndNote RefMan NoteFirst NoteExpress
×
提示
您的信息不完整,为了账户安全,请先补充。
现在去补充
×
提示
您因"违规操作"
具体请查看互助需知
我知道了
×
提示
确定
请完成安全验证×
copy
已复制链接
快去分享给好友吧!
我知道了
右上角分享
点击右上角分享
0
联系我们:info@booksci.cn Book学术提供免费学术资源搜索服务,方便国内外学者检索中英文文献。致力于提供最便捷和优质的服务体验。 Copyright © 2023 布克学术 All rights reserved.
京ICP备2023020795号-1
ghs 京公网安备 11010802042870号
Book学术文献互助
Book学术文献互助群
群 号:604180095
Book学术官方微信