Solid Base Cs2CO3/SiO2-Catalyzed Synthesis of Dihydrofurancarboxylate Derivatives via [3 + 2] Cyclization Reaction of Acylacetates and β-Nitrostyrenes

IF 0.8 4区 化学 Q4 CHEMISTRY, MULTIDISCIPLINARY
Lizhong Wang, Zhuyun Liu, Yunying Sha, Shanshan Yang, Lei Wang
{"title":"Solid Base Cs2CO3/SiO2-Catalyzed Synthesis of Dihydrofurancarboxylate Derivatives via [3 + 2] Cyclization Reaction of Acylacetates and β-Nitrostyrenes","authors":"Lizhong Wang,&nbsp;Zhuyun Liu,&nbsp;Yunying Sha,&nbsp;Shanshan Yang,&nbsp;Lei Wang","doi":"10.1134/S107036322560167X","DOIUrl":null,"url":null,"abstract":"<p>Dihydrofuran is a unique motif found in numerous natural products. Due to the biological and medicinal importance of dihydrofuran derivatives, a great deal of protocols for the synthesis of dihydrofurans have been developed. In this study, a novel approach to the synthesis of substituted 4,5-dihydrofuran-3-carboxylates from a wide range of substituted β-nitrostyrenes and acyl acetates was investigated via solid base Cs<sub>2</sub>CO<sub>3</sub>/SiO<sub>2</sub>-catalyzed [3+2] cycloaddition reactions. The reactions were carried out under mild reaction conditions in DMF medium at 110°C, and the products were cleanly obtained in moderate yields. This procedure provided an environmentally friendly route to functionalized dihydrofurans from readily available substrates under mild reaction conditions.</p>","PeriodicalId":761,"journal":{"name":"Russian Journal of General Chemistry","volume":"95 7","pages":"1716 - 1725"},"PeriodicalIF":0.8000,"publicationDate":"2025-08-05","publicationTypes":"Journal Article","fieldsOfStudy":null,"isOpenAccess":false,"openAccessPdf":"","citationCount":"0","resultStr":null,"platform":"Semanticscholar","paperid":null,"PeriodicalName":"Russian Journal of General Chemistry","FirstCategoryId":"92","ListUrlMain":"https://link.springer.com/article/10.1134/S107036322560167X","RegionNum":4,"RegionCategory":"化学","ArticlePicture":[],"TitleCN":null,"AbstractTextCN":null,"PMCID":null,"EPubDate":"","PubModel":"","JCR":"Q4","JCRName":"CHEMISTRY, MULTIDISCIPLINARY","Score":null,"Total":0}
引用次数: 0

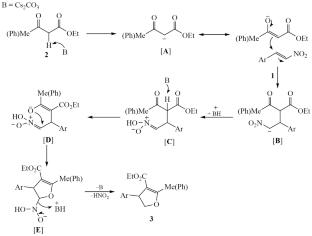
Abstract

Dihydrofuran is a unique motif found in numerous natural products. Due to the biological and medicinal importance of dihydrofuran derivatives, a great deal of protocols for the synthesis of dihydrofurans have been developed. In this study, a novel approach to the synthesis of substituted 4,5-dihydrofuran-3-carboxylates from a wide range of substituted β-nitrostyrenes and acyl acetates was investigated via solid base Cs2CO3/SiO2-catalyzed [3+2] cycloaddition reactions. The reactions were carried out under mild reaction conditions in DMF medium at 110°C, and the products were cleanly obtained in moderate yields. This procedure provided an environmentally friendly route to functionalized dihydrofurans from readily available substrates under mild reaction conditions.

Abstract Image

固体碱Cs2CO3/ sio2催化乙酸酯与β-硝基苯乙烯[3 + 2]环化反应合成二氢呋喃羧酸酯衍生物
二氢呋喃是一种独特的基元,存在于许多天然产物中。由于二氢呋喃衍生物在生物学和医学上的重要意义,人们开发了许多合成二氢呋喃的方案。本研究通过固体碱Cs2CO3/ sio2催化的[3+2]环加成反应,研究了以取代β-硝基苯乙烯和酰基乙酸酯为原料,合成取代4,5-二氢呋喃-3-羧酸酯的新方法。反应在DMF介质中110℃温和反应条件下进行,产物干净,产率中等。该方法为在温和的反应条件下从现成的底物制备功能化二氢呋喃提供了一条环保的途径。
本文章由计算机程序翻译,如有差异,请以英文原文为准。
求助全文
约1分钟内获得全文 求助全文
来源期刊
CiteScore
1.40
自引率
22.20%
发文量
252
审稿时长
2-4 weeks
期刊介绍: Russian Journal of General Chemistry is a journal that covers many problems that are of general interest to the whole community of chemists. The journal is the successor to Russia’s first chemical journal, Zhurnal Russkogo Khimicheskogo Obshchestva (Journal of the Russian Chemical Society ) founded in 1869 to cover all aspects of chemistry. Now the journal is focused on the interdisciplinary areas of chemistry (organometallics, organometalloids, organoinorganic complexes, mechanochemistry, nanochemistry, etc.), new achievements and long-term results in the field. The journal publishes reviews, current scientific papers, letters to the editor, and discussion papers.
×
引用
GB/T 7714-2015
复制
MLA
复制
APA
复制
导出至
BibTeX EndNote RefMan NoteFirst NoteExpress
×
提示
您的信息不完整,为了账户安全,请先补充。
现在去补充
×
提示
您因"违规操作"
具体请查看互助需知
我知道了
×
提示
确定
请完成安全验证×
copy
已复制链接
快去分享给好友吧!
我知道了
右上角分享
点击右上角分享
0
联系我们:info@booksci.cn Book学术提供免费学术资源搜索服务,方便国内外学者检索中英文文献。致力于提供最便捷和优质的服务体验。 Copyright © 2023 布克学术 All rights reserved.
京ICP备2023020795号-1
ghs 京公网安备 11010802042870号
Book学术文献互助
Book学术文献互助群
群 号:604180095
Book学术官方微信