Atopic dermatitis and prematurity - a prospective study with analysis of the cytokine profile and thymus growth: a preliminary report.

IF 1.4 4区 医学 Q3 ALLERGY
Postepy Dermatologii I Alergologii Pub Date : 2025-08-18 eCollection Date: 2025-08-01 DOI:10.5114/ada.2025.153589
Aleksandra Kowalik, Kazimierz Wêglarczyk, Małgorzata Klimek, Zofia Goliñska, Barbara Malinowska, Maciej Siedlar, Przemko Kwinta
{"title":"Atopic dermatitis and prematurity - a prospective study with analysis of the cytokine profile and thymus growth: a preliminary report.","authors":"Aleksandra Kowalik, Kazimierz Wêglarczyk, Małgorzata Klimek, Zofia Goliñska, Barbara Malinowska, Maciej Siedlar, Przemko Kwinta","doi":"10.5114/ada.2025.153589","DOIUrl":null,"url":null,"abstract":"<p><strong>Introduction: </strong>Preterm children suffer from atopic dermatitis (AD) less frequently than term children do. The reason for this phenomenon has not yet been identified. Hypotheses include changes in the T-helper 1 (Th1)/T-helper 2 (Th2) balance or altered development of the thymus.</p><p><strong>Aim: </strong>This study was designed to compare the Th1/Th2 cytokine balance and thymus size in preterm and term children and investigate the associations between these results and a possible diagnosis of AD in the second year of life.</p><p><strong>Material and methods: </strong>The population comprised 28 preterm and 19 term children. During the first week of life, Th1/Th2/Th17 cytokine levels in the blood were assessed, and the thymus was measured via ultrasound. In the second year of life, 30 children were examined to determine whether AD was present, and the abovementioned procedures were repeated.</p><p><strong>Results: </strong>AD was diagnosed in 3 out of 18 (16.7%) preterm children and 1 out of 12 (8.3%) term children (OR = 2.2; 95% CI: 0.201-24.086). For all patients, the thymus/weight index was lower, and there was a significant decrease in the level of IL-2 and increases in the levels of IL-4 and IL-17 in the second year of life compared with those after birth. There were no differences in cytokine levels or thymus size in the second year of life between the preterm/term and AD/non-AD subgroups.</p><p><strong>Conclusions: </strong>The observed associations may indicate that the immunological status of preterm children in the second year of life may not vastly differ from that of term children.</p>","PeriodicalId":54595,"journal":{"name":"Postepy Dermatologii I Alergologii","volume":"42 4","pages":"414-422"},"PeriodicalIF":1.4000,"publicationDate":"2025-08-18","publicationTypes":"Journal Article","fieldsOfStudy":null,"isOpenAccess":false,"openAccessPdf":"https://www.ncbi.nlm.nih.gov/pmc/articles/PMC12458066/pdf/","citationCount":"0","resultStr":null,"platform":"Semanticscholar","paperid":null,"PeriodicalName":"Postepy Dermatologii I Alergologii","FirstCategoryId":"3","ListUrlMain":"https://doi.org/10.5114/ada.2025.153589","RegionNum":4,"RegionCategory":"医学","ArticlePicture":[],"TitleCN":null,"AbstractTextCN":null,"PMCID":null,"EPubDate":"2025/8/1 0:00:00","PubModel":"eCollection","JCR":"Q3","JCRName":"ALLERGY","Score":null,"Total":0}
引用次数: 0

Abstract

Introduction: Preterm children suffer from atopic dermatitis (AD) less frequently than term children do. The reason for this phenomenon has not yet been identified. Hypotheses include changes in the T-helper 1 (Th1)/T-helper 2 (Th2) balance or altered development of the thymus.

Aim: This study was designed to compare the Th1/Th2 cytokine balance and thymus size in preterm and term children and investigate the associations between these results and a possible diagnosis of AD in the second year of life.

Material and methods: The population comprised 28 preterm and 19 term children. During the first week of life, Th1/Th2/Th17 cytokine levels in the blood were assessed, and the thymus was measured via ultrasound. In the second year of life, 30 children were examined to determine whether AD was present, and the abovementioned procedures were repeated.

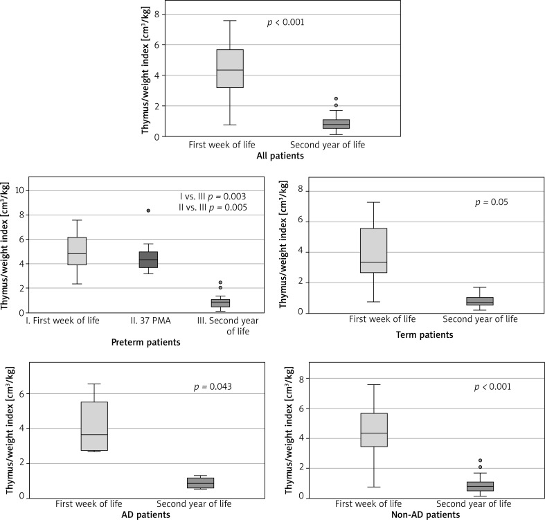
Results: AD was diagnosed in 3 out of 18 (16.7%) preterm children and 1 out of 12 (8.3%) term children (OR = 2.2; 95% CI: 0.201-24.086). For all patients, the thymus/weight index was lower, and there was a significant decrease in the level of IL-2 and increases in the levels of IL-4 and IL-17 in the second year of life compared with those after birth. There were no differences in cytokine levels or thymus size in the second year of life between the preterm/term and AD/non-AD subgroups.

Conclusions: The observed associations may indicate that the immunological status of preterm children in the second year of life may not vastly differ from that of term children.

Abstract Image

Abstract Image

Abstract Image

特应性皮炎和早产-细胞因子谱和胸腺生长分析的前瞻性研究:初步报告。
前言:早产儿患特应性皮炎(AD)的频率低于足月儿童。造成这种现象的原因尚未查明。假说包括辅助性t - 1 (Th1)/辅助性t - 2 (Th2)平衡的改变或胸腺发育的改变。目的:本研究旨在比较早产儿和足月儿童Th1/Th2细胞因子平衡和胸腺大小,并探讨这些结果与2岁时AD可能诊断之间的关系。材料与方法:早产儿28例,足月儿19例。在出生的第一周,评估血液中Th1/Th2/Th17细胞因子水平,并通过超声测量胸腺。在出生后的第二年,对30名儿童进行检查,以确定是否存在AD,并重复上述程序。结果:18例早产儿中有3例(16.7%)诊断为AD, 12例足月儿童中有1例(8.3%)诊断为AD (OR = 2.2; 95% CI: 0.201 ~ 24.086)。所有患者的胸腺/体重指数均较低,与出生后相比,出生后第二年IL-2水平明显下降,IL-4和IL-17水平明显升高。在早产儿/足月组和AD/非AD亚组之间,第二年的细胞因子水平和胸腺大小没有差异。结论:观察到的关联可能表明,早产儿童在生命的第二年的免疫状态可能与足月儿童没有很大的不同。
本文章由计算机程序翻译,如有差异,请以英文原文为准。
求助全文
约1分钟内获得全文 求助全文
来源期刊
CiteScore
2.60
自引率
7.10%
发文量
107
审稿时长
6-12 weeks
期刊介绍: Advances in Dermatology and Allergology/Postępy Dermatologii i Alergologii is a bimonthly aimed at allergologists and dermatologists.
×
引用
GB/T 7714-2015
复制
MLA
复制
APA
复制
导出至
BibTeX EndNote RefMan NoteFirst NoteExpress
×
提示
您的信息不完整,为了账户安全,请先补充。
现在去补充
×
提示
您因"违规操作"
具体请查看互助需知
我知道了
×
提示
确定
请完成安全验证×
copy
已复制链接
快去分享给好友吧!
我知道了
右上角分享
点击右上角分享
0
联系我们:info@booksci.cn Book学术提供免费学术资源搜索服务,方便国内外学者检索中英文文献。致力于提供最便捷和优质的服务体验。 Copyright © 2023 布克学术 All rights reserved.
京ICP备2023020795号-1
ghs 京公网安备 11010802042870号
Book学术文献互助
Book学术文献互助群
群 号:604180095
Book学术官方微信