Seasonal Distribution of Viral Pneumonia After COVID-19 and the Role of Hematological Markers in Assessing Pneumonia Severity: A Case-Control Study.

IF 2.6 4区 医学 Q2 INFECTIOUS DISEASES
Şaban Melih Şimşek, Ayşe Elif Bayar
{"title":"Seasonal Distribution of Viral Pneumonia After COVID-19 and the Role of Hematological Markers in Assessing Pneumonia Severity: A Case-Control Study.","authors":"Şaban Melih Şimşek, Ayşe Elif Bayar","doi":"10.3390/tropicalmed10090268","DOIUrl":null,"url":null,"abstract":"<p><strong>Background: </strong>Various studies have shown that viral pneumonia pathogens display distinct inflammatory profiles, and hematological indices, such as the Neutrophil/Lymphocyte Ratio (NLR), Lymphocyte/Monocyte Ratio (LMR), and Platelet/Lymphocyte Ratio (PLR), can serve as accessible markers of disease severity. Moreover, the seasonal distribution of respiratory viruses appears to have shifted during the COVID-19 pandemic.</p><p><strong>Methods: </strong>This retrospective case-control study was conducted on patients diagnosed with PCR-confirmed viral pneumonia in the emergency department of a tertiary care center between 1 January and 31 December 2024. The control group comprised age- and sex-matched individuals without viral pneumonia. Subjects with comorbidities or ongoing treatments potentially affecting hematological indices were excluded. Seasonal distribution of viral pathogens was recorded. Hematological and inflammatory parameters at admission-including neutrophil-to-lymphocyte ratio (NLR), lymphocyte-to-monocyte ratio (LMR), and platelet-to-lymphocyte ratio (PLR)-were evaluated. The associations between these biomarkers, Pneumonia Severity Index (PSI) scores, and hospitalization status were statistically analyzed.</p><p><strong>Results: </strong>In this study, it was determined that Influenza A/B was more common in winter (67.3%) and SARS-CoV-2 in summer (70.7%). The relationship between the Pneumonia Severity Index and hemogram parameters was examined in determining the severity of pneumonia. In SARS-CoV-2, leukocyte and neutrophil counts were positively correlated (R: 0.392, <i>p</i>: 0.003; R: 0.466, <i>p</i>: <0.001), while in Influenza A/B, lymphocyte, platelet, and monocyte counts showed a negative correlation (R: -0.402, <i>p</i>: 0.005; R: -0.331, <i>p</i>: 0.021; R: -0.327, <i>p</i>: 0.023). Correlations were found between inflammation parameters and the Pneumonia Severity Index, except for the Lymphocyte/Monocyte Ratio, between SARS-CoV-2 and Influenza A/B (<i>p</i> < 0.05).</p><p><strong>Conclusions: </strong>The seasonal distribution of viral pneumonia pathogens has been revealed following the COVID-19 pandemic. Due to differences in inflammation patterns in viral infections, different leukocyte subgroups have been suggested as biomarkers.</p>","PeriodicalId":23330,"journal":{"name":"Tropical Medicine and Infectious Disease","volume":"10 9","pages":""},"PeriodicalIF":2.6000,"publicationDate":"2025-09-17","publicationTypes":"Journal Article","fieldsOfStudy":null,"isOpenAccess":false,"openAccessPdf":"https://www.ncbi.nlm.nih.gov/pmc/articles/PMC12474292/pdf/","citationCount":"0","resultStr":null,"platform":"Semanticscholar","paperid":null,"PeriodicalName":"Tropical Medicine and Infectious Disease","FirstCategoryId":"3","ListUrlMain":"https://doi.org/10.3390/tropicalmed10090268","RegionNum":4,"RegionCategory":"医学","ArticlePicture":[],"TitleCN":null,"AbstractTextCN":null,"PMCID":null,"EPubDate":"","PubModel":"","JCR":"Q2","JCRName":"INFECTIOUS DISEASES","Score":null,"Total":0}
引用次数: 0

Abstract

Background: Various studies have shown that viral pneumonia pathogens display distinct inflammatory profiles, and hematological indices, such as the Neutrophil/Lymphocyte Ratio (NLR), Lymphocyte/Monocyte Ratio (LMR), and Platelet/Lymphocyte Ratio (PLR), can serve as accessible markers of disease severity. Moreover, the seasonal distribution of respiratory viruses appears to have shifted during the COVID-19 pandemic.

Methods: This retrospective case-control study was conducted on patients diagnosed with PCR-confirmed viral pneumonia in the emergency department of a tertiary care center between 1 January and 31 December 2024. The control group comprised age- and sex-matched individuals without viral pneumonia. Subjects with comorbidities or ongoing treatments potentially affecting hematological indices were excluded. Seasonal distribution of viral pathogens was recorded. Hematological and inflammatory parameters at admission-including neutrophil-to-lymphocyte ratio (NLR), lymphocyte-to-monocyte ratio (LMR), and platelet-to-lymphocyte ratio (PLR)-were evaluated. The associations between these biomarkers, Pneumonia Severity Index (PSI) scores, and hospitalization status were statistically analyzed.

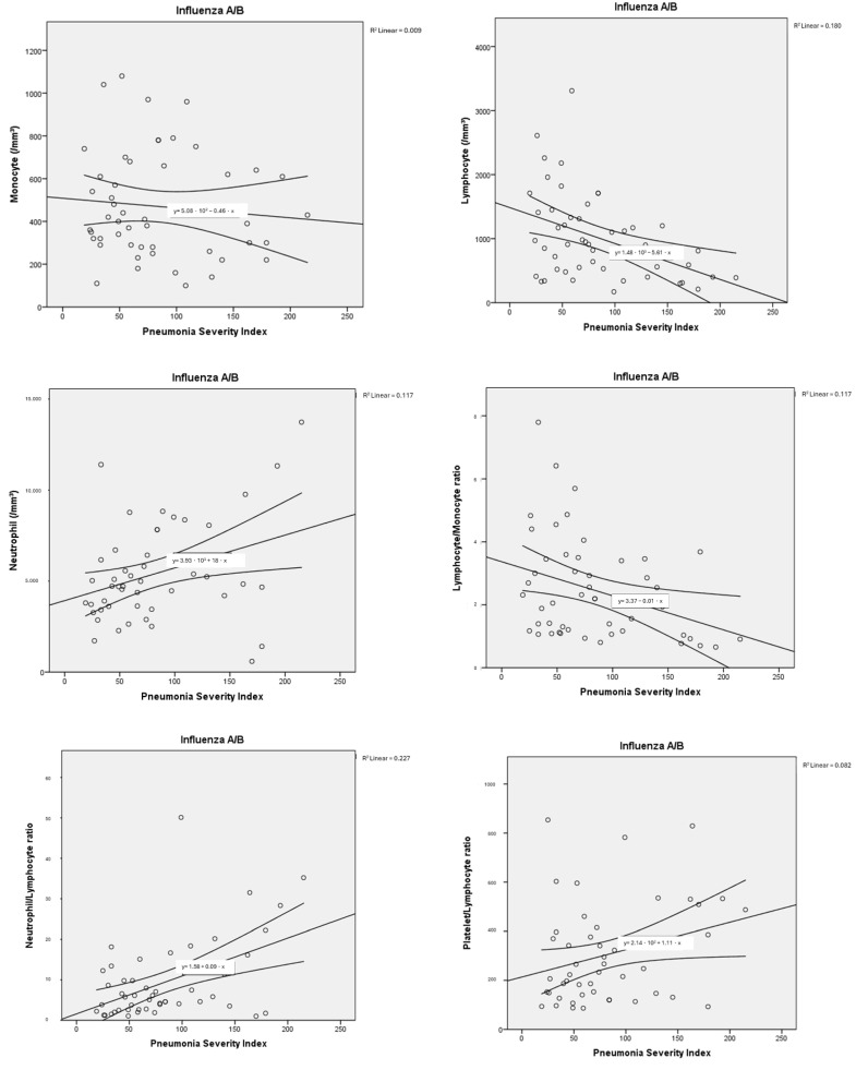
Results: In this study, it was determined that Influenza A/B was more common in winter (67.3%) and SARS-CoV-2 in summer (70.7%). The relationship between the Pneumonia Severity Index and hemogram parameters was examined in determining the severity of pneumonia. In SARS-CoV-2, leukocyte and neutrophil counts were positively correlated (R: 0.392, p: 0.003; R: 0.466, p: <0.001), while in Influenza A/B, lymphocyte, platelet, and monocyte counts showed a negative correlation (R: -0.402, p: 0.005; R: -0.331, p: 0.021; R: -0.327, p: 0.023). Correlations were found between inflammation parameters and the Pneumonia Severity Index, except for the Lymphocyte/Monocyte Ratio, between SARS-CoV-2 and Influenza A/B (p < 0.05).

Conclusions: The seasonal distribution of viral pneumonia pathogens has been revealed following the COVID-19 pandemic. Due to differences in inflammation patterns in viral infections, different leukocyte subgroups have been suggested as biomarkers.

Abstract Image

Abstract Image

Abstract Image

COVID-19后病毒性肺炎的季节分布及血液学指标在评估肺炎严重程度中的作用:一项病例-对照研究
背景:各种研究表明,病毒性肺炎病原体表现出不同的炎症特征,血液学指标,如中性粒细胞/淋巴细胞比率(NLR)、淋巴细胞/单核细胞比率(LMR)和血小板/淋巴细胞比率(PLR),可以作为疾病严重程度的标志物。此外,在2019冠状病毒病大流行期间,呼吸道病毒的季节性分布似乎发生了变化。方法:对2024年1月1日至12月31日在某三级保健中心急诊科诊断为pcr确诊的病毒性肺炎患者进行回顾性病例对照研究。对照组由年龄和性别匹配的无病毒性肺炎的个体组成。排除了有合并症或正在进行可能影响血液学指标的治疗的受试者。记录了病毒病原体的季节分布。入院时的血液学和炎症参数——包括中性粒细胞与淋巴细胞比值(NLR)、淋巴细胞与单核细胞比值(LMR)和血小板与淋巴细胞比值(PLR)——被评估。统计分析这些生物标志物、肺炎严重程度指数(PSI)评分和住院状态之间的关联。结果:本研究确定A/B型流感多发于冬季(67.3%),SARS-CoV-2多发于夏季(70.7%)。研究了肺炎严重程度指数与血象图参数在判断肺炎严重程度中的关系。在SARS-CoV-2中,白细胞计数与中性粒细胞计数呈正相关(R: 0.392, p: 0.003; R: 0.466, p: 0.005; R: -0.331, p: 0.021; R: -0.327, p: 0.023)。SARS-CoV-2与流感A/B之间除淋巴细胞/单核细胞比值外,炎症参数与肺炎严重程度指数均存在相关性(p < 0.05)。结论:2019冠状病毒病大流行后,病毒性肺炎病原体的季节性分布已得到揭示。由于病毒感染中炎症模式的差异,不同的白细胞亚群被认为是生物标志物。
本文章由计算机程序翻译,如有差异,请以英文原文为准。
求助全文
约1分钟内获得全文 求助全文
来源期刊
Tropical Medicine and Infectious Disease
Tropical Medicine and Infectious Disease Medicine-Public Health, Environmental and Occupational Health
CiteScore
3.90
自引率
10.30%
发文量
353
审稿时长
11 weeks
×
引用
GB/T 7714-2015
复制
MLA
复制
APA
复制
导出至
BibTeX EndNote RefMan NoteFirst NoteExpress
×
提示
您的信息不完整,为了账户安全,请先补充。
现在去补充
×
提示
您因"违规操作"
具体请查看互助需知
我知道了
×
提示
确定
请完成安全验证×
copy
已复制链接
快去分享给好友吧!
我知道了
右上角分享
点击右上角分享
0
联系我们:info@booksci.cn Book学术提供免费学术资源搜索服务,方便国内外学者检索中英文文献。致力于提供最便捷和优质的服务体验。 Copyright © 2023 布克学术 All rights reserved.
京ICP备2023020795号-1
ghs 京公网安备 11010802042870号
Book学术文献互助
Book学术文献互助群
群 号:604180095
Book学术官方微信