Prognostic nutritional index, sarcopenia, and risk of mortality: a national population-based study.

IF 4.1 2区 医学 Q2 NUTRITION & DIETETICS
Qian Wu, Wenquan Ding, Dongqing You, YunPeng Ji, Shenghao Wang, Dinghua Jiang, Lixin Huang, Wu Xu, Lisong Li, Jiangnan Xu, Yajie Zhang
{"title":"Prognostic nutritional index, sarcopenia, and risk of mortality: a national population-based study.","authors":"Qian Wu, Wenquan Ding, Dongqing You, YunPeng Ji, Shenghao Wang, Dinghua Jiang, Lixin Huang, Wu Xu, Lisong Li, Jiangnan Xu, Yajie Zhang","doi":"10.1186/s12986-025-01005-z","DOIUrl":null,"url":null,"abstract":"<p><strong>Background: </strong>The role of nutritional status in predicting prognosis in patients with sarcopenia has not been fully elucidated. This investigation sought to evaluate the link between prognostic nutritional index (PNI) and sarcopenia, as well as its influence on overall and cardiovascular death rates in adults diagnosed with sarcopenia.</p><p><strong>Methods: </strong>This retrospective observational study utilized data from individuals aged 18 years and older extracted from the National Health and Nutrition Examination Survey (NHANES) during 1999-2004 and 2011-2018. The PNI calculation incorporated initial serum albumin measurements and complete lymphocyte numbers. To investigate the link between PNI and sarcopenia, researchers employed multiple analytical approaches, including multivariate logistic regression, stratified group evaluation, restricted cubic spline, and threshold and saturation effect analysis. The investigation utilized Cox regression modeling and Kaplan-Meier survival analysis to examine the link between PNI and both overall and cardiovascular-related mortality among subjects with sarcopenia.</p><p><strong>Results: </strong>Among the 24,661 patients examined, sarcopenia was detected in 2760 individuals (11.19%). Throughout a median monitoring duration of 132.01 months, all-cause mortality claimed 959 (34.75%) subjects with sarcopenia, while cardiovascular-related fatalities accounted for 321 (33.47%) cases. Subjects in the uppermost PNI quartile (Q4) exhibited markedly decreased likelihood of sarcopenia (odds ratio [OR] 0.43, 95% confidence interval [CI] 0.37-0.49) and lower risks of both all-cause and cardiovascular mortality (hazard ratio [HR] 0.64, 95% CI 0.53-0.78; and 0.60, 95% CI 0.43-0.84, respectively) versus those in the lowermost quartile (Q1). These findings were consistent across subgroup analyses, restricted cubic spline, and threshold and saturation effect analysis.</p><p><strong>Conclusions: </strong>The PNI is an independent predictor of sarcopenia, all-cause mortality, and cardiovascular mortality in U.S. adults. It can be a valuable tool for identifying individuals at elevated risk of unfavorable health outcomes.</p>","PeriodicalId":19196,"journal":{"name":"Nutrition & Metabolism","volume":"22 1","pages":"106"},"PeriodicalIF":4.1000,"publicationDate":"2025-09-25","publicationTypes":"Journal Article","fieldsOfStudy":null,"isOpenAccess":false,"openAccessPdf":"https://www.ncbi.nlm.nih.gov/pmc/articles/PMC12465300/pdf/","citationCount":"0","resultStr":null,"platform":"Semanticscholar","paperid":null,"PeriodicalName":"Nutrition & Metabolism","FirstCategoryId":"3","ListUrlMain":"https://doi.org/10.1186/s12986-025-01005-z","RegionNum":2,"RegionCategory":"医学","ArticlePicture":[],"TitleCN":null,"AbstractTextCN":null,"PMCID":null,"EPubDate":"","PubModel":"","JCR":"Q2","JCRName":"NUTRITION & DIETETICS","Score":null,"Total":0}
引用次数: 0

Abstract

Background: The role of nutritional status in predicting prognosis in patients with sarcopenia has not been fully elucidated. This investigation sought to evaluate the link between prognostic nutritional index (PNI) and sarcopenia, as well as its influence on overall and cardiovascular death rates in adults diagnosed with sarcopenia.

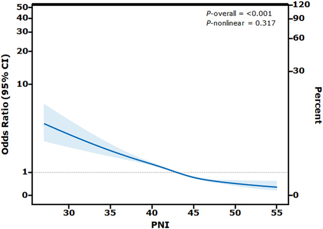
Methods: This retrospective observational study utilized data from individuals aged 18 years and older extracted from the National Health and Nutrition Examination Survey (NHANES) during 1999-2004 and 2011-2018. The PNI calculation incorporated initial serum albumin measurements and complete lymphocyte numbers. To investigate the link between PNI and sarcopenia, researchers employed multiple analytical approaches, including multivariate logistic regression, stratified group evaluation, restricted cubic spline, and threshold and saturation effect analysis. The investigation utilized Cox regression modeling and Kaplan-Meier survival analysis to examine the link between PNI and both overall and cardiovascular-related mortality among subjects with sarcopenia.

Results: Among the 24,661 patients examined, sarcopenia was detected in 2760 individuals (11.19%). Throughout a median monitoring duration of 132.01 months, all-cause mortality claimed 959 (34.75%) subjects with sarcopenia, while cardiovascular-related fatalities accounted for 321 (33.47%) cases. Subjects in the uppermost PNI quartile (Q4) exhibited markedly decreased likelihood of sarcopenia (odds ratio [OR] 0.43, 95% confidence interval [CI] 0.37-0.49) and lower risks of both all-cause and cardiovascular mortality (hazard ratio [HR] 0.64, 95% CI 0.53-0.78; and 0.60, 95% CI 0.43-0.84, respectively) versus those in the lowermost quartile (Q1). These findings were consistent across subgroup analyses, restricted cubic spline, and threshold and saturation effect analysis.

Conclusions: The PNI is an independent predictor of sarcopenia, all-cause mortality, and cardiovascular mortality in U.S. adults. It can be a valuable tool for identifying individuals at elevated risk of unfavorable health outcomes.

Abstract Image

Abstract Image

Abstract Image

预后营养指数、肌肉减少症和死亡风险:一项基于全国人群的研究。
背景:营养状况在预测肌肉减少症患者预后中的作用尚未完全阐明。本研究旨在评估预后营养指数(PNI)与肌少症之间的联系,以及其对诊断为肌少症的成人总体死亡率和心血管死亡率的影响。方法:本回顾性观察性研究利用1999-2004年和2011-2018年国家健康与营养检查调查(NHANES)中18岁及以上人群的数据。PNI计算包括初始血清白蛋白测量和完整淋巴细胞数。为了研究PNI与肌肉减少症之间的联系,研究人员采用了多种分析方法,包括多元逻辑回归、分层组评估、受限三次样条、阈值和饱和效应分析。该研究利用Cox回归模型和Kaplan-Meier生存分析来检验PNI与肌肉减少症患者总体死亡率和心血管相关死亡率之间的联系。结果:24661例患者中,有2760例(11.19%)出现肌肉减少症。在132.01个月的中位监测期间,959例(34.75%)肌肉减少症患者出现全因死亡,321例(33.47%)心血管相关死亡。与最低四分位数(Q1)的受试者相比,最高PNI四分位数(Q4)的受试者肌肉减少症的可能性显著降低(优势比[OR] 0.43, 95%可信区间[CI] 0.37-0.49),全因死亡率和心血管死亡率的风险均较低(风险比[HR] 0.64, 95% CI 0.53-0.78;和0.60,95% CI 0.43-0.84)。这些发现在亚组分析、受限三次样条分析、阈值和饱和效应分析中是一致的。结论:PNI是美国成人肌肉减少症、全因死亡率和心血管死亡率的独立预测因子。它可以作为一种有价值的工具,用于识别处于不利健康结果高风险的个体。
本文章由计算机程序翻译,如有差异,请以英文原文为准。
求助全文
约1分钟内获得全文 求助全文
来源期刊
Nutrition & Metabolism
Nutrition & Metabolism 医学-营养学
CiteScore
8.40
自引率
0.00%
发文量
78
审稿时长
4-8 weeks
期刊介绍: Nutrition & Metabolism publishes studies with a clear focus on nutrition and metabolism with applications ranging from nutrition needs, exercise physiology, clinical and population studies, as well as the underlying mechanisms in these aspects. The areas of interest for Nutrition & Metabolism encompass studies in molecular nutrition in the context of obesity, diabetes, lipedemias, metabolic syndrome and exercise physiology. Manuscripts related to molecular, cellular and human metabolism, nutrient sensing and nutrient–gene interactions are also in interest, as are submissions that have employed new and innovative strategies like metabolomics/lipidomics or other omic-based biomarkers to predict nutritional status and metabolic diseases. Key areas we wish to encourage submissions from include: -how diet and specific nutrients interact with genes, proteins or metabolites to influence metabolic phenotypes and disease outcomes; -the role of epigenetic factors and the microbiome in the pathogenesis of metabolic diseases and their influence on metabolic responses to diet and food components; -how diet and other environmental factors affect epigenetics and microbiota; the extent to which genetic and nongenetic factors modify personal metabolic responses to diet and food compositions and the mechanisms involved; -how specific biologic networks and nutrient sensing mechanisms attribute to metabolic variability.
×
引用
GB/T 7714-2015
复制
MLA
复制
APA
复制
导出至
BibTeX EndNote RefMan NoteFirst NoteExpress
×
提示
您的信息不完整,为了账户安全,请先补充。
现在去补充
×
提示
您因"违规操作"
具体请查看互助需知
我知道了
×
提示
确定
请完成安全验证×
copy
已复制链接
快去分享给好友吧!
我知道了
右上角分享
点击右上角分享
0
联系我们:info@booksci.cn Book学术提供免费学术资源搜索服务,方便国内外学者检索中英文文献。致力于提供最便捷和优质的服务体验。 Copyright © 2023 布克学术 All rights reserved.
京ICP备2023020795号-1
ghs 京公网安备 11010802042870号
Book学术文献互助
Book学术文献互助群
群 号:604180095
Book学术官方微信