Contamination Characteristics of 21 PFAS in Shellfish and Crustaceans of Zhejiang Province and Exposure Risk Assessment for Adult Dietary Consumers.

IF 5.4 2区 医学 Q1 CHEMISTRY, MEDICINAL
Marine Drugs Pub Date : 2025-09-15 DOI:10.3390/md23090359
Hexiang Zhang, Haoyi Zhang, Ronghua Zhang, Dong Zhao, Bing Zhu, Xiaojuan Qi, Lili Chen, Jiang Chen, Jikai Wang, Yibin Zheng, Zhewei Feng
{"title":"Contamination Characteristics of 21 PFAS in Shellfish and Crustaceans of Zhejiang Province and Exposure Risk Assessment for Adult Dietary Consumers.","authors":"Hexiang Zhang, Haoyi Zhang, Ronghua Zhang, Dong Zhao, Bing Zhu, Xiaojuan Qi, Lili Chen, Jiang Chen, Jikai Wang, Yibin Zheng, Zhewei Feng","doi":"10.3390/md23090359","DOIUrl":null,"url":null,"abstract":"<p><p>This study investigated the occurrence, sources, and health risks of 21 per- and polyfluoroalkyl substances (PFAS) in commercially available shellfish and crustaceans from Zhejiang Province, China. Among the 306 samples analyzed, 87.9% contained at least one detectable PFAS. Perfluorooctanoic acid (PFOA) was the most frequently detected PFAS (64.7%), followed by perfluorooctanesulfonic acid (PFOS) (53.8%), perfluorononanoic acid (PFNA) (52.9%), and perfluorodecanoic acid (PFDA) (50.0%). The total PFAS in shellfish and crustaceans ranged from ND to 0.86 to 173 ng/g wet weight, with a median of 4.11 ng/g ww; the median concentration of total PFAS followed this order: marine crustaceans > fresh-water crustaceans > bivalves. Estimation of the human intake of adult consumers, the estimated daily intake (EDI) of Σ<sub>21</sub> PFAS ranged from 0.01 to 15.7 ng/kg bw/day; 0.31% of the adult study population had Σ<sub>4</sub>PFAS exposure levels resulting in Hazard Quotient (HQ) values > 1, which may represent a potential public health concern for these individuals. Long-term exposure risks for specific PFCAs such as perfluoroundecanoic acid (PFUdA) and perfluorotridecanoic acid (PFTrDA) merit concern.</p>","PeriodicalId":18222,"journal":{"name":"Marine Drugs","volume":"23 9","pages":""},"PeriodicalIF":5.4000,"publicationDate":"2025-09-15","publicationTypes":"Journal Article","fieldsOfStudy":null,"isOpenAccess":false,"openAccessPdf":"https://www.ncbi.nlm.nih.gov/pmc/articles/PMC12471464/pdf/","citationCount":"0","resultStr":null,"platform":"Semanticscholar","paperid":null,"PeriodicalName":"Marine Drugs","FirstCategoryId":"3","ListUrlMain":"https://doi.org/10.3390/md23090359","RegionNum":2,"RegionCategory":"医学","ArticlePicture":[],"TitleCN":null,"AbstractTextCN":null,"PMCID":null,"EPubDate":"","PubModel":"","JCR":"Q1","JCRName":"CHEMISTRY, MEDICINAL","Score":null,"Total":0}
引用次数: 0

Abstract

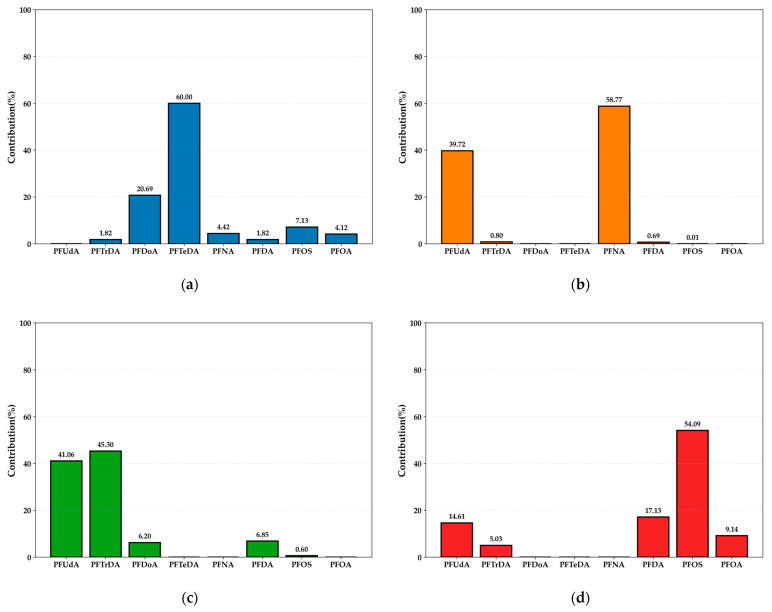
This study investigated the occurrence, sources, and health risks of 21 per- and polyfluoroalkyl substances (PFAS) in commercially available shellfish and crustaceans from Zhejiang Province, China. Among the 306 samples analyzed, 87.9% contained at least one detectable PFAS. Perfluorooctanoic acid (PFOA) was the most frequently detected PFAS (64.7%), followed by perfluorooctanesulfonic acid (PFOS) (53.8%), perfluorononanoic acid (PFNA) (52.9%), and perfluorodecanoic acid (PFDA) (50.0%). The total PFAS in shellfish and crustaceans ranged from ND to 0.86 to 173 ng/g wet weight, with a median of 4.11 ng/g ww; the median concentration of total PFAS followed this order: marine crustaceans > fresh-water crustaceans > bivalves. Estimation of the human intake of adult consumers, the estimated daily intake (EDI) of Σ21 PFAS ranged from 0.01 to 15.7 ng/kg bw/day; 0.31% of the adult study population had Σ4PFAS exposure levels resulting in Hazard Quotient (HQ) values > 1, which may represent a potential public health concern for these individuals. Long-term exposure risks for specific PFCAs such as perfluoroundecanoic acid (PFUdA) and perfluorotridecanoic acid (PFTrDA) merit concern.

Abstract Image

Abstract Image

Abstract Image

浙江省贝类和甲壳类动物中21种PFAS污染特征及成人膳食消费者暴露风险评价
本研究调查了中国浙江省市售贝类和甲壳类动物中21种全氟烷基和多氟烷基物质(PFAS)的存在、来源和健康风险。在306份分析样本中,87.9%至少含有一种可检测到的PFAS。全氟辛酸(PFOA)是检出频率最高的PFAS(64.7%),其次是全氟辛烷磺酸(PFOS)(53.8%)、全氟壬烷酸(PFNA)(52.9%)和全氟癸酸(PFDA)(50.0%)。贝类和甲壳类动物的总PFAS在ND ~ 0.86 ~ 173 ng/g湿重之间,中位数为4.11 ng/g ww;总PFAS的中位数浓度顺序为:海洋甲壳类bb0淡水甲壳类>双壳类。对成年消费者人体摄入量的估计,Σ21 PFAS的估计每日摄入量(EDI)范围为0.01至15.7 ng/kg bw/day;0.31%的成人研究人群的Σ4PFAS暴露水平导致危险商数(HQ)值>.1,这可能代表这些个体存在潜在的公共卫生问题。某些全氟化合物如全氟癸酸(PFUdA)和全氟三甲酸(PFTrDA)的长期接触风险值得关注。
本文章由计算机程序翻译,如有差异,请以英文原文为准。
求助全文
约1分钟内获得全文 求助全文
来源期刊
Marine Drugs
Marine Drugs 医学-医药化学
CiteScore
9.60
自引率
14.80%
发文量
671
审稿时长
1 months
期刊介绍: Marine Drugs (ISSN 1660-3397) publishes reviews, regular research papers and short notes on the research, development and production of drugs from the sea. Our aim is to encourage scientists to publish their experimental and theoretical research in as much detail as possible, particularly synthetic procedures and characterization information for bioactive compounds. There is no restriction on the length of the experimental section.
×
引用
GB/T 7714-2015
复制
MLA
复制
APA
复制
导出至
BibTeX EndNote RefMan NoteFirst NoteExpress
×
提示
您的信息不完整,为了账户安全,请先补充。
现在去补充
×
提示
您因"违规操作"
具体请查看互助需知
我知道了
×
提示
确定
请完成安全验证×
copy
已复制链接
快去分享给好友吧!
我知道了
右上角分享
点击右上角分享
0
联系我们:info@booksci.cn Book学术提供免费学术资源搜索服务,方便国内外学者检索中英文文献。致力于提供最便捷和优质的服务体验。 Copyright © 2023 布克学术 All rights reserved.
京ICP备2023020795号-1
ghs 京公网安备 11010802042870号
Book学术文献互助
Book学术文献互助群
群 号:604180095
Book学术官方微信