Clinical Value of Lymphocyte Count in Risk Prediction of Papillary Thyroid Carcinoma: A Case-Control Study in a Chinese Population.

IF 4.1 2区 医学 Q2 IMMUNOLOGY
Journal of Inflammation Research Pub Date : 2025-09-19 eCollection Date: 2025-01-01 DOI:10.2147/JIR.S528176
Xiu-Ping Qiu, Ru-Ying Xie, Yang Chen, Mei Tu, Ting Wang
{"title":"Clinical Value of Lymphocyte Count in Risk Prediction of Papillary Thyroid Carcinoma: A Case-Control Study in a Chinese Population.","authors":"Xiu-Ping Qiu, Ru-Ying Xie, Yang Chen, Mei Tu, Ting Wang","doi":"10.2147/JIR.S528176","DOIUrl":null,"url":null,"abstract":"<p><strong>Objective: </strong>This study aimed to evaluate the association between preoperative peripheral blood lymphocyte count and the risk of papillary thyroid carcinoma (PTC) in a Chinese population using a case-control design.</p><p><strong>Methods: </strong>A retrospective analysis was conducted on 1832 patients who underwent thyroid surgery, including 1007 diagnosed with benign thyroid nodules and 825 with PTC. Clinical parameters, including lymphocyte count, nodule volume, thyroid function, and thyroid autoantibody levels, were assessed. Multivariate regression and stratified analyses were conducted to examine the relationship between lymphocyte count and PTC risk.</p><p><strong>Results: </strong>The mean lymphocyte count was significantly higher in patients with PTC compared to those with benign thyroid nodules (1.20 ± 0.63 vs 1.87 ± 0.53, <i>p</i> < 0.001). Multivariate regression analysis indicated a dose-response relationship, with patients in the highest lymphocyte count group exhibiting an odds ratio of 15.02 (95% CI: 7.52-30.03, <i>p</i> < 0.0001). Receiver operating curve analysis demonstrated good diagnostic performance (AUC = 0.8068). Stratified analyses revealed variations in risk patterns across subgroups stratified by age, sex, and nodule volume.</p><p><strong>Conclusion: </strong>Lymphocyte count may serve as a potential predictor of PTC risk. This finding may provide new insights into early clinical risk stratification and personalized screening strategies in the management of PTC.</p>","PeriodicalId":16107,"journal":{"name":"Journal of Inflammation Research","volume":"18 ","pages":"12971-12988"},"PeriodicalIF":4.1000,"publicationDate":"2025-09-19","publicationTypes":"Journal Article","fieldsOfStudy":null,"isOpenAccess":false,"openAccessPdf":"https://www.ncbi.nlm.nih.gov/pmc/articles/PMC12457079/pdf/","citationCount":"0","resultStr":null,"platform":"Semanticscholar","paperid":null,"PeriodicalName":"Journal of Inflammation Research","FirstCategoryId":"3","ListUrlMain":"https://doi.org/10.2147/JIR.S528176","RegionNum":2,"RegionCategory":"医学","ArticlePicture":[],"TitleCN":null,"AbstractTextCN":null,"PMCID":null,"EPubDate":"2025/1/1 0:00:00","PubModel":"eCollection","JCR":"Q2","JCRName":"IMMUNOLOGY","Score":null,"Total":0}
引用次数: 0

Abstract

Objective: This study aimed to evaluate the association between preoperative peripheral blood lymphocyte count and the risk of papillary thyroid carcinoma (PTC) in a Chinese population using a case-control design.

Methods: A retrospective analysis was conducted on 1832 patients who underwent thyroid surgery, including 1007 diagnosed with benign thyroid nodules and 825 with PTC. Clinical parameters, including lymphocyte count, nodule volume, thyroid function, and thyroid autoantibody levels, were assessed. Multivariate regression and stratified analyses were conducted to examine the relationship between lymphocyte count and PTC risk.

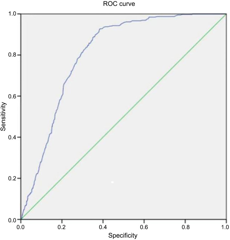
Results: The mean lymphocyte count was significantly higher in patients with PTC compared to those with benign thyroid nodules (1.20 ± 0.63 vs 1.87 ± 0.53, p < 0.001). Multivariate regression analysis indicated a dose-response relationship, with patients in the highest lymphocyte count group exhibiting an odds ratio of 15.02 (95% CI: 7.52-30.03, p < 0.0001). Receiver operating curve analysis demonstrated good diagnostic performance (AUC = 0.8068). Stratified analyses revealed variations in risk patterns across subgroups stratified by age, sex, and nodule volume.

Conclusion: Lymphocyte count may serve as a potential predictor of PTC risk. This finding may provide new insights into early clinical risk stratification and personalized screening strategies in the management of PTC.

Abstract Image

Abstract Image

Abstract Image

淋巴细胞计数在预测甲状腺乳头状癌风险中的临床价值:一项中国人群的病例对照研究。
目的:本研究旨在通过病例对照设计评估术前外周血淋巴细胞计数与中国人群甲状腺乳头状癌(PTC)风险之间的关系。方法:回顾性分析1832例甲状腺手术患者的资料,其中1007例诊断为良性甲状腺结节,825例诊断为PTC。评估临床参数,包括淋巴细胞计数、结节体积、甲状腺功能和甲状腺自身抗体水平。采用多变量回归和分层分析来检验淋巴细胞计数与PTC风险之间的关系。结果:PTC患者的平均淋巴细胞计数明显高于良性甲状腺结节患者(1.20±0.63 vs 1.87±0.53,p < 0.001)。多因素回归分析显示剂量-反应关系,淋巴细胞计数最高组患者的优势比为15.02 (95% CI: 7.52-30.03, p < 0.0001)。受试者工作曲线分析具有较好的诊断效果(AUC = 0.8068)。分层分析揭示了按年龄、性别和结节体积分层的亚组风险模式的变化。结论:淋巴细胞计数可能是PTC风险的潜在预测因子。这一发现可能为PTC的早期临床风险分层和个性化筛查策略提供新的见解。
本文章由计算机程序翻译,如有差异,请以英文原文为准。
求助全文
约1分钟内获得全文 求助全文
来源期刊
Journal of Inflammation Research
Journal of Inflammation Research Immunology and Microbiology-Immunology
CiteScore
6.10
自引率
2.20%
发文量
658
审稿时长
16 weeks
期刊介绍: An international, peer-reviewed, open access, online journal that welcomes laboratory and clinical findings on the molecular basis, cell biology and pharmacology of inflammation.
×
引用
GB/T 7714-2015
复制
MLA
复制
APA
复制
导出至
BibTeX EndNote RefMan NoteFirst NoteExpress
×
提示
您的信息不完整,为了账户安全,请先补充。
现在去补充
×
提示
您因"违规操作"
具体请查看互助需知
我知道了
×
提示
确定
请完成安全验证×
copy
已复制链接
快去分享给好友吧!
我知道了
右上角分享
点击右上角分享
0
联系我们:info@booksci.cn Book学术提供免费学术资源搜索服务,方便国内外学者检索中英文文献。致力于提供最便捷和优质的服务体验。 Copyright © 2023 布克学术 All rights reserved.
京ICP备2023020795号-1
ghs 京公网安备 11010802042870号
Book学术文献互助
Book学术文献互助群
群 号:604180095
Book学术官方微信