The Prognostic Interplay of Heart Failure and Chronic Kidney Disease in Atrial Fibrillation - Focus on Cardiorenal Outcomes.

IF 2.9 4区 医学 Q2 CARDIAC & CARDIOVASCULAR SYSTEMS
Ulrike Baumer, Lea Pedarnig, Andreas Hammer, Eva Steinacher, Niema Kazem, Lorenz Koller, Ulrike Pailer, René Rettl, Gere Sunder-Plassmann, Alice Schmidt, Christian Hengstenberg, Patrick Sulzgruber, Alexander Niessner, Felix Hofer
{"title":"The Prognostic Interplay of Heart Failure and Chronic Kidney Disease in Atrial Fibrillation - Focus on Cardiorenal Outcomes.","authors":"Ulrike Baumer, Lea Pedarnig, Andreas Hammer, Eva Steinacher, Niema Kazem, Lorenz Koller, Ulrike Pailer, René Rettl, Gere Sunder-Plassmann, Alice Schmidt, Christian Hengstenberg, Patrick Sulzgruber, Alexander Niessner, Felix Hofer","doi":"10.1159/000548380","DOIUrl":null,"url":null,"abstract":"<p><strong>Background: </strong>HF and CKD create a mutually reinforcing cycle, escalating disease development, and increasing morbidity and mortality rates. Both are common comorbidities promoting AF and contributing to heightened symptom burden and poorer outcomes in AF. Here our aim was to investigate the relationship of heart failure (HF) and chronic kidney disease (CKD) with cardiorenal outcomes in patients with atrial fibrillation (AF).</p><p><strong>Methods: </strong>Patients with AF, treated at a tertiary centre between 01/2005 and 07/2019 were included. The primary endpoint was a composite of cardiovascular (CV) death and hospitalization for HF (HHF). Secondary outcomes were the individual components of the primary endpoint, all-cause death, renal death, and dialysis.</p><p><strong>Results: </strong>We included a total of 7,412 patients (median age 70 years, 39.7% female) with AF and followed them over a median of 4.5 years. There was a significant stepwise increase in 5-year event rates for the composite of CV death/HHF (no CKD and no HF: 23%, HF: 61%, CKD: 63%, CKD and HF: 82%; P log-rank <0.001). Both CKD (adjusted hazard ratio [HR]: 1.87, 95% confidence interval [CI]: 1.55–2.25) and HF (adjusted HR: 2.57, 95% CI: 2.22–2.98) were significantly associated with CV death/HHF after multivariable adjustment. A similar association was observed for the individual components of the primary endpoint and renal death/dialysis.</p><p><strong>Conclusions: </strong>Both CKD and HF significantly increase the risk of CV death and HHF, as well as renal death/ dialysis in patients with AF. Risk assessment should expand beyond stroke and bleeding to cardiorenal complications including HHF, CV and renal death, as well as kidney failure.</p>","PeriodicalId":9584,"journal":{"name":"Cardiorenal Medicine","volume":" ","pages":"1-22"},"PeriodicalIF":2.9000,"publicationDate":"2025-09-10","publicationTypes":"Journal Article","fieldsOfStudy":null,"isOpenAccess":false,"openAccessPdf":"https://www.ncbi.nlm.nih.gov/pmc/articles/PMC12530782/pdf/","citationCount":"0","resultStr":null,"platform":"Semanticscholar","paperid":null,"PeriodicalName":"Cardiorenal Medicine","FirstCategoryId":"3","ListUrlMain":"https://doi.org/10.1159/000548380","RegionNum":4,"RegionCategory":"医学","ArticlePicture":[],"TitleCN":null,"AbstractTextCN":null,"PMCID":null,"EPubDate":"","PubModel":"","JCR":"Q2","JCRName":"CARDIAC & CARDIOVASCULAR SYSTEMS","Score":null,"Total":0}
引用次数: 0

Abstract

Background: HF and CKD create a mutually reinforcing cycle, escalating disease development, and increasing morbidity and mortality rates. Both are common comorbidities promoting AF and contributing to heightened symptom burden and poorer outcomes in AF. Here our aim was to investigate the relationship of heart failure (HF) and chronic kidney disease (CKD) with cardiorenal outcomes in patients with atrial fibrillation (AF).

Methods: Patients with AF, treated at a tertiary centre between 01/2005 and 07/2019 were included. The primary endpoint was a composite of cardiovascular (CV) death and hospitalization for HF (HHF). Secondary outcomes were the individual components of the primary endpoint, all-cause death, renal death, and dialysis.

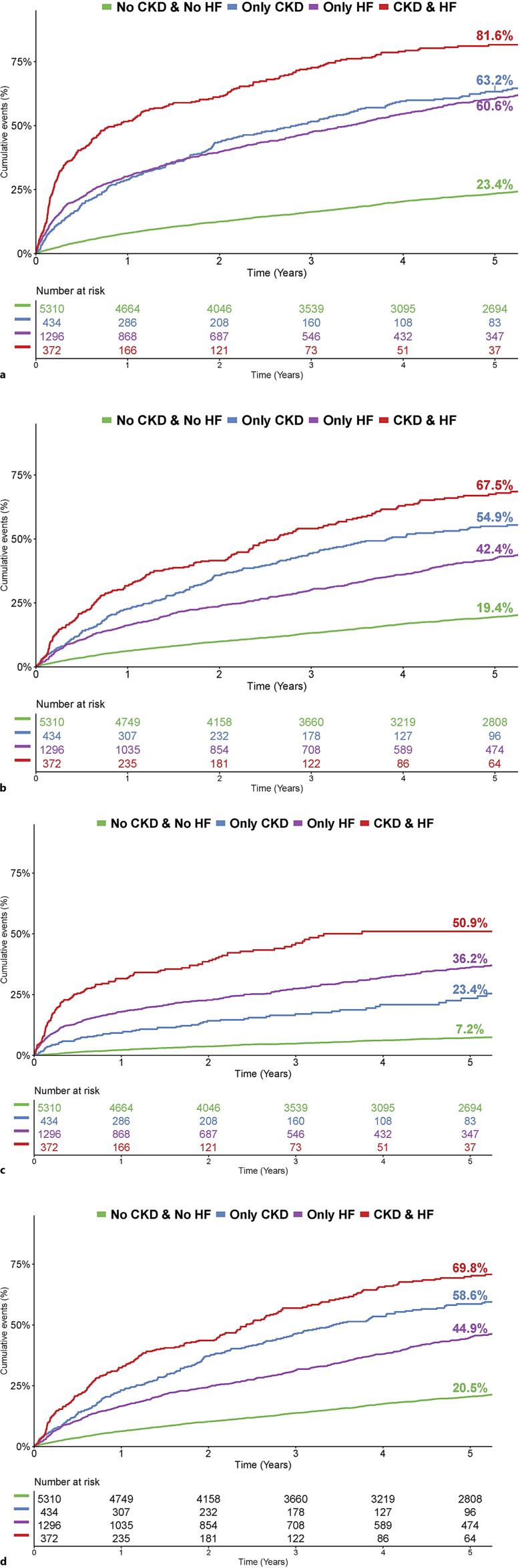
Results: We included a total of 7,412 patients (median age 70 years, 39.7% female) with AF and followed them over a median of 4.5 years. There was a significant stepwise increase in 5-year event rates for the composite of CV death/HHF (no CKD and no HF: 23%, HF: 61%, CKD: 63%, CKD and HF: 82%; P log-rank <0.001). Both CKD (adjusted hazard ratio [HR]: 1.87, 95% confidence interval [CI]: 1.55–2.25) and HF (adjusted HR: 2.57, 95% CI: 2.22–2.98) were significantly associated with CV death/HHF after multivariable adjustment. A similar association was observed for the individual components of the primary endpoint and renal death/dialysis.

Conclusions: Both CKD and HF significantly increase the risk of CV death and HHF, as well as renal death/ dialysis in patients with AF. Risk assessment should expand beyond stroke and bleeding to cardiorenal complications including HHF, CV and renal death, as well as kidney failure.

Abstract Image

Abstract Image

Abstract Image

心房颤动患者心衰和慢性肾脏疾病的预后相互作用——以心肾预后为重点。
背景:心衰和慢性肾病形成了一个相互强化的循环,不断升级疾病发展,增加发病率和死亡率。两者都是促进房颤的常见合并症,并导致房颤症状负担加重和预后较差。本研究的目的是研究心力衰竭(HF)和慢性肾脏疾病(CKD)与房颤(AF)患者心肾预后的关系。方法:纳入2005年1月至2019年7月在三级中心治疗的房颤患者。主要终点是心血管(CV)死亡和HF住院(HHF)的复合。次要结局是主要终点的各个组成部分、全因死亡、肾性死亡和透析。结果:我们共纳入7412例房颤患者(中位年龄70岁,女性39.7%),随访时间中位为4.5年。CV死亡/ HHF复合5年事件发生率显著逐步增加(无CKD和无HF: 23%, HF: 61%, CKD: 63%, CKD和HF: 82%) P-logrank结论:CKD和HF均显著增加房颤患者CV死亡和HHF以及肾死亡/透析的风险。风险评估应从中风和出血扩展到心肾并发症,包括HHF、CV和肾死亡,以及肾衰竭。
本文章由计算机程序翻译,如有差异,请以英文原文为准。
求助全文
约1分钟内获得全文 求助全文
来源期刊
Cardiorenal Medicine
Cardiorenal Medicine CARDIAC & CARDIOVASCULAR SYSTEMS-UROLOGY & NEPHROLOGY
CiteScore
5.40
自引率
2.60%
发文量
25
审稿时长
>12 weeks
期刊介绍: The journal ''Cardiorenal Medicine'' explores the mechanisms by which obesity and other metabolic abnormalities promote the pathogenesis and progression of heart and kidney disease (cardiorenal metabolic syndrome). It provides an interdisciplinary platform for the advancement of research and clinical practice, focussing on translational issues.
×
引用
GB/T 7714-2015
复制
MLA
复制
APA
复制
导出至
BibTeX EndNote RefMan NoteFirst NoteExpress
×
提示
您的信息不完整,为了账户安全,请先补充。
现在去补充
×
提示
您因"违规操作"
具体请查看互助需知
我知道了
×
提示
确定
请完成安全验证×
copy
已复制链接
快去分享给好友吧!
我知道了
右上角分享
点击右上角分享
0
联系我们:info@booksci.cn Book学术提供免费学术资源搜索服务,方便国内外学者检索中英文文献。致力于提供最便捷和优质的服务体验。 Copyright © 2023 布克学术 All rights reserved.
京ICP备2023020795号-1
ghs 京公网安备 11010802042870号
Book学术文献互助
Book学术文献互助群
群 号:604180095
Book学术官方微信