Risk of pneumonia in individuals with rheumatoid arthritis: a nationwide cohort study.

IF 3.4 3区 医学 Q1 RESPIRATORY SYSTEM
Seong Mi Moon, Kyungdo Han, Jin-Hyung Jung, Junhee Park, Bumhee Yang, Yeonghee Eun, Hayoung Choi, Hyungjin Kim, Dong Wook Shin, Hyun Lee
{"title":"Risk of pneumonia in individuals with rheumatoid arthritis: a nationwide cohort study.","authors":"Seong Mi Moon, Kyungdo Han, Jin-Hyung Jung, Junhee Park, Bumhee Yang, Yeonghee Eun, Hayoung Choi, Hyungjin Kim, Dong Wook Shin, Hyun Lee","doi":"10.1136/bmjresp-2024-002664","DOIUrl":null,"url":null,"abstract":"<p><strong>Background: </strong>Limited information is available on the influence of serologic status and different types of disease-modifying antirheumatic drugs (DMARDs) on risk of pneumonia. This study aimed to evaluate the risk of pneumonia according to rheumatoid arthritis (RA) seropositivity and type of DMARD.</p><p><strong>Methods: </strong>This population-based cohort study enrolled individuals with RA (RA cohort, n=41 187) and 1:5 age-matched and sex-matched controls (n=205 935) between 2010 and 2017. Participants were followed from 1 year after RA diagnosis or matched control date until the first occurrence of pneumonia, pneumonia-related hospitalisation, death or 31 December 2019. The risks of pneumonia and related hospitalisation were evaluated according to serological status and type of DMARD.</p><p><strong>Results: </strong>During a median follow-up duration of 4.2 years, increased risks of pneumonia (adjusted HR (aHR) (95% CI)=1.73 (1.69 to 1.78)) and related hospitalisation (2.26 (95% CI 2.15 to 2.37)) were observed in individuals of the RA cohort compared with controls. Compared with the controls, individuals with seropositive RA showed the highest risk of pneumonia (1.86 (95% CI 1.80 to 1.92)) and related hospitalisation (2.52 (95% CI 2.39 to 2.65)), followed by those with seronegative RA (1.43 (95% CI 1.36 to 1.50) for pneumonia; 1.60 (95% CI 1.46 to 1.76) for related hospitalisation). Individuals in the RA cohort showed a higher risk of pneumonia/related hospitalisation compared with controls, with an aHR (95% CI) of 1.77 (95% CI 1.62 to 1.94)/3.23 (95% CI 2.82 to 3.69), respectively, for biological DMARD-exposed RA, and 1.74 (95% CI 1.69 to 1.79)/2.22 (95% CI 2.11 to 2.33), respectively, for conventional synthetic DMARD-exposed RA. In contrast, targeted synthetic type did not show a significantly increased risk of pneumonia/related hospitalisation (0.93 (95% CI 0.66 to 1.31)/1.21 (95% CI 0.67 to 2.18), respectively).</p><p><strong>Conclusions: </strong>Individuals with RA showed increased risk of pneumonia and related hospitalisation, and this was especially higher in those with seropositive RA. Except for targeted synthetic DMARDs, all other types were associated with increased risk of pneumonia. These findings emphasise the need for heightened awareness of pneumonia risk in the management of RA.</p>","PeriodicalId":9048,"journal":{"name":"BMJ Open Respiratory Research","volume":"12 1","pages":""},"PeriodicalIF":3.4000,"publicationDate":"2025-09-25","publicationTypes":"Journal Article","fieldsOfStudy":null,"isOpenAccess":false,"openAccessPdf":"https://www.ncbi.nlm.nih.gov/pmc/articles/PMC12481257/pdf/","citationCount":"0","resultStr":null,"platform":"Semanticscholar","paperid":null,"PeriodicalName":"BMJ Open Respiratory Research","FirstCategoryId":"3","ListUrlMain":"https://doi.org/10.1136/bmjresp-2024-002664","RegionNum":3,"RegionCategory":"医学","ArticlePicture":[],"TitleCN":null,"AbstractTextCN":null,"PMCID":null,"EPubDate":"","PubModel":"","JCR":"Q1","JCRName":"RESPIRATORY SYSTEM","Score":null,"Total":0}
引用次数: 0

Abstract

Background: Limited information is available on the influence of serologic status and different types of disease-modifying antirheumatic drugs (DMARDs) on risk of pneumonia. This study aimed to evaluate the risk of pneumonia according to rheumatoid arthritis (RA) seropositivity and type of DMARD.

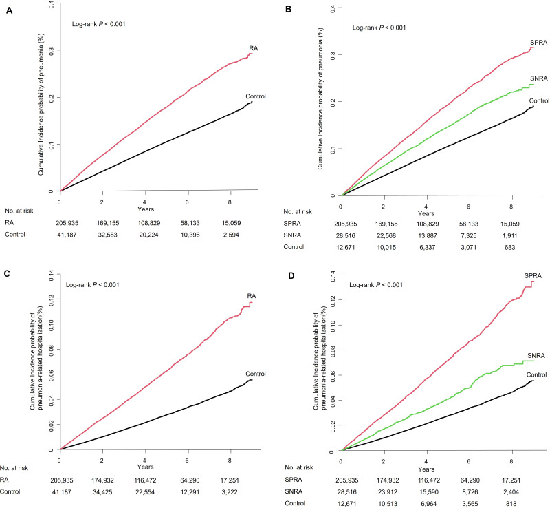
Methods: This population-based cohort study enrolled individuals with RA (RA cohort, n=41 187) and 1:5 age-matched and sex-matched controls (n=205 935) between 2010 and 2017. Participants were followed from 1 year after RA diagnosis or matched control date until the first occurrence of pneumonia, pneumonia-related hospitalisation, death or 31 December 2019. The risks of pneumonia and related hospitalisation were evaluated according to serological status and type of DMARD.

Results: During a median follow-up duration of 4.2 years, increased risks of pneumonia (adjusted HR (aHR) (95% CI)=1.73 (1.69 to 1.78)) and related hospitalisation (2.26 (95% CI 2.15 to 2.37)) were observed in individuals of the RA cohort compared with controls. Compared with the controls, individuals with seropositive RA showed the highest risk of pneumonia (1.86 (95% CI 1.80 to 1.92)) and related hospitalisation (2.52 (95% CI 2.39 to 2.65)), followed by those with seronegative RA (1.43 (95% CI 1.36 to 1.50) for pneumonia; 1.60 (95% CI 1.46 to 1.76) for related hospitalisation). Individuals in the RA cohort showed a higher risk of pneumonia/related hospitalisation compared with controls, with an aHR (95% CI) of 1.77 (95% CI 1.62 to 1.94)/3.23 (95% CI 2.82 to 3.69), respectively, for biological DMARD-exposed RA, and 1.74 (95% CI 1.69 to 1.79)/2.22 (95% CI 2.11 to 2.33), respectively, for conventional synthetic DMARD-exposed RA. In contrast, targeted synthetic type did not show a significantly increased risk of pneumonia/related hospitalisation (0.93 (95% CI 0.66 to 1.31)/1.21 (95% CI 0.67 to 2.18), respectively).

Conclusions: Individuals with RA showed increased risk of pneumonia and related hospitalisation, and this was especially higher in those with seropositive RA. Except for targeted synthetic DMARDs, all other types were associated with increased risk of pneumonia. These findings emphasise the need for heightened awareness of pneumonia risk in the management of RA.

Abstract Image

Abstract Image

类风湿关节炎患者的肺炎风险:一项全国性队列研究
背景:关于血清学状态和不同类型的疾病改善抗风湿药物(DMARDs)对肺炎风险的影响的信息有限。本研究旨在根据类风湿关节炎(RA)血清阳性和DMARD类型评估肺炎的风险。方法:这项基于人群的队列研究在2010年至2017年期间招募了RA患者(RA队列,n=41 187)和1:5年龄匹配和性别匹配的对照组(n=205 935)。参与者从RA诊断后1年或匹配的对照日期开始随访,直到首次发生肺炎、肺炎相关住院、死亡或2019年12月31日。根据血清学状态和DMARD类型评估肺炎和相关住院的风险。结果:在4.2年的中位随访期间,与对照组相比,在RA队列个体中观察到肺炎(调整HR (aHR) (95% CI)=1.73(1.69至1.78))和相关住院(2.26 (95% CI 2.15至2.37)的风险增加。与对照组相比,血清RA阳性个体肺炎的风险最高(1.86 (95% CI 1.80至1.92)),相关住院治疗的风险最高(2.52 (95% CI 2.39至2.65)),其次是血清RA阴性个体肺炎的风险(1.43 (95% CI 1.36至1.50);1.60 (95% CI 1.46 - 1.76)。与对照组相比,RA队列中的个体显示出更高的肺炎/相关住院风险,生物暴露的RA的aHR (95% CI)分别为1.77 (95% CI 1.62至1.94)/3.23 (95% CI 2.82至3.69),传统合成暴露的RA的aHR分别为1.74 (95% CI 1.69至1.79)/2.22 (95% CI 2.11至2.33)。相比之下,靶向合成型没有显示出肺炎/相关住院的风险显著增加(分别为0.93 (95% CI 0.66至1.31)/1.21 (95% CI 0.67至2.18))。结论:类风湿性关节炎患者患肺炎和相关住院的风险增加,尤其是血清阳性的类风湿性关节炎患者。除靶向合成dmard外,所有其他类型的dmard均与肺炎风险增加相关。这些发现强调在类风湿关节炎的管理中需要提高对肺炎风险的认识。
本文章由计算机程序翻译,如有差异,请以英文原文为准。
求助全文
约1分钟内获得全文 求助全文
来源期刊
BMJ Open Respiratory Research
BMJ Open Respiratory Research RESPIRATORY SYSTEM-
CiteScore
6.60
自引率
2.40%
发文量
95
审稿时长
12 weeks
期刊介绍: BMJ Open Respiratory Research is a peer-reviewed, open access journal publishing respiratory and critical care medicine. It is the sister journal to Thorax and co-owned by the British Thoracic Society and BMJ. The journal focuses on robustness of methodology and scientific rigour with less emphasis on novelty or perceived impact. BMJ Open Respiratory Research operates a rapid review process, with continuous publication online, ensuring timely, up-to-date research is available worldwide. The journal publishes review articles and all research study types: Basic science including laboratory based experiments and animal models, Pilot studies or proof of concept, Observational studies, Study protocols, Registries, Clinical trials from phase I to multicentre randomised clinical trials, Systematic reviews and meta-analyses.
×
引用
GB/T 7714-2015
复制
MLA
复制
APA
复制
导出至
BibTeX EndNote RefMan NoteFirst NoteExpress
×
提示
您的信息不完整,为了账户安全,请先补充。
现在去补充
×
提示
您因"违规操作"
具体请查看互助需知
我知道了
×
提示
确定
请完成安全验证×
copy
已复制链接
快去分享给好友吧!
我知道了
右上角分享
点击右上角分享
0
联系我们:info@booksci.cn Book学术提供免费学术资源搜索服务,方便国内外学者检索中英文文献。致力于提供最便捷和优质的服务体验。 Copyright © 2023 布克学术 All rights reserved.
京ICP备2023020795号-1
ghs 京公网安备 11010802042870号
Book学术文献互助
Book学术文献互助群
群 号:604180095
Book学术官方微信