Performance of novel biomarkers for prediction of diabetic kidney disease in patients with diabetes mellitus.

IF 4.3
Annals of medicine Pub Date : 2025-12-01 Epub Date: 2025-09-25 DOI:10.1080/07853890.2025.2562996
Lu-Xi Zou, Zhi-Li Hou, Chen-Huan Qian, Xue Wang, Ling Sun
{"title":"Performance of novel biomarkers for prediction of diabetic kidney disease in patients with diabetes mellitus.","authors":"Lu-Xi Zou, Zhi-Li Hou, Chen-Huan Qian, Xue Wang, Ling Sun","doi":"10.1080/07853890.2025.2562996","DOIUrl":null,"url":null,"abstract":"<p><strong>Introduction: </strong>Diabetic kidney disease (DKD) is a common and serious complication in patients with diabetes mellitus (DM). This study was aimed to reveal the validity of seven emerging novel biomarkers of angiopoietin-like-4 (ANGPTL4), neutrophil gelatinase-associated lipocalin (NGAL), monocyte chemoattractant protein-1 (MCP-1), growth differentiation factor-15 (GDF15), fibroblast growth factor-23 (FGF23), n-terminal osteopontin (ntOPN) and pyruvate kinase muscle isozyme M2 (PKM2) in detecting DM patients at high risk of DKD and establish prediction models for DKD onset in DM patients.</p><p><strong>Methods: </strong>This was a cross-sectional study of 348 adult patients with Type 1 DM for at least 5 years, or Type 2 DM, followed by a prospective observational cohort of 141 adult DM patients without renal involvement at baseline and follow-up for at least 2 years. We performed logistic regression analysis to analyze the relationship between the variables and the risk of DKD occurrence, and receiver operator characteristic (ROC) analysis to assess the predictive ability of multi-biomarker panels for DKD onset.</p><p><strong>Results: </strong>In the cross-sectional cohort, the seven urinary biomarkers were all elevated in DKD patients, of which the high levels of urinary ntOPN, GDF15, NGAL, MCP-1 and FGF23 significantly increased the risk of DKD diagnosis; the urinary MCP-1 alone performed best in DKD detection with the largest area under the ROC curve (AUC). In the prospective cohort, the high levels of urinary GDF15, MCP-1, ANGPTL4 and FGF23 significantly increased the risk of DKD development, and the model constructed based on the above four biomarkers had the largest AUC (0.873) for predicting the 2-year risk of DKD occurrence.</p><p><strong>Conclusion: </strong>Our study demonstrated that the four-biomarker model performed the best in predicting DKD, which could provide more accurate tools for DKD risk prediction, thereby improving the prognosis in DM patients.</p>","PeriodicalId":93874,"journal":{"name":"Annals of medicine","volume":"57 1","pages":"2562996"},"PeriodicalIF":4.3000,"publicationDate":"2025-12-01","publicationTypes":"Journal Article","fieldsOfStudy":null,"isOpenAccess":false,"openAccessPdf":"https://www.ncbi.nlm.nih.gov/pmc/articles/PMC12466183/pdf/","citationCount":"0","resultStr":null,"platform":"Semanticscholar","paperid":null,"PeriodicalName":"Annals of medicine","FirstCategoryId":"1085","ListUrlMain":"https://doi.org/10.1080/07853890.2025.2562996","RegionNum":0,"RegionCategory":null,"ArticlePicture":[],"TitleCN":null,"AbstractTextCN":null,"PMCID":null,"EPubDate":"2025/9/25 0:00:00","PubModel":"Epub","JCR":"","JCRName":"","Score":null,"Total":0}
引用次数: 0

Abstract

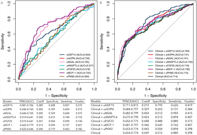
Introduction: Diabetic kidney disease (DKD) is a common and serious complication in patients with diabetes mellitus (DM). This study was aimed to reveal the validity of seven emerging novel biomarkers of angiopoietin-like-4 (ANGPTL4), neutrophil gelatinase-associated lipocalin (NGAL), monocyte chemoattractant protein-1 (MCP-1), growth differentiation factor-15 (GDF15), fibroblast growth factor-23 (FGF23), n-terminal osteopontin (ntOPN) and pyruvate kinase muscle isozyme M2 (PKM2) in detecting DM patients at high risk of DKD and establish prediction models for DKD onset in DM patients.

Methods: This was a cross-sectional study of 348 adult patients with Type 1 DM for at least 5 years, or Type 2 DM, followed by a prospective observational cohort of 141 adult DM patients without renal involvement at baseline and follow-up for at least 2 years. We performed logistic regression analysis to analyze the relationship between the variables and the risk of DKD occurrence, and receiver operator characteristic (ROC) analysis to assess the predictive ability of multi-biomarker panels for DKD onset.

Results: In the cross-sectional cohort, the seven urinary biomarkers were all elevated in DKD patients, of which the high levels of urinary ntOPN, GDF15, NGAL, MCP-1 and FGF23 significantly increased the risk of DKD diagnosis; the urinary MCP-1 alone performed best in DKD detection with the largest area under the ROC curve (AUC). In the prospective cohort, the high levels of urinary GDF15, MCP-1, ANGPTL4 and FGF23 significantly increased the risk of DKD development, and the model constructed based on the above four biomarkers had the largest AUC (0.873) for predicting the 2-year risk of DKD occurrence.

Conclusion: Our study demonstrated that the four-biomarker model performed the best in predicting DKD, which could provide more accurate tools for DKD risk prediction, thereby improving the prognosis in DM patients.

Abstract Image

Abstract Image

Abstract Image

新型生物标志物在糖尿病患者糖尿病肾病预测中的应用
糖尿病肾病(DKD)是糖尿病(DM)患者常见且严重的并发症。本研究旨在揭示血管生成素样4 (ANGPTL4)、中性粒细胞明胶酶相关脂钙素(NGAL)、单核细胞趋化蛋白-1 (MCP-1)、生长分化因子-15 (GDF15)、成纤维细胞生长因子-23 (FGF23)、n端骨桥蛋白(ntOPN)和丙酮酸激酶肌同动酶M2 (PKM2)等7种新兴生物标志物在DM患者DKD高危人群检测中的有效性,并建立DM患者DKD发病预测模型。方法:这是一项横断面研究,包括348例至少5年的1型糖尿病或2型糖尿病成年患者,随后是一项前瞻性观察队列研究,包括141例基线时无肾脏受累的成年糖尿病患者,随访至少2年。我们进行了逻辑回归分析来分析变量与DKD发生风险之间的关系,并进行了受试者操作特征(ROC)分析来评估多生物标志物面板对DKD发病的预测能力。结果:横断面队列中,7项尿液生物标志物在DKD患者中均升高,其中尿ntOPN、GDF15、NGAL、MCP-1和FGF23水平高显著增加了DKD诊断的风险;尿液MCP-1单独检测DKD效果最佳,ROC曲线下面积(AUC)最大。在前瞻性队列中,高水平的尿GDF15、MCP-1、ANGPTL4和FGF23显著增加了DKD发生的风险,基于上述四种生物标志物构建的模型预测2年DKD发生风险的AUC(0.873)最大。结论:我们的研究表明,四生物标志物模型对DKD的预测效果最好,可以为DKD风险预测提供更准确的工具,从而改善DM患者的预后。
本文章由计算机程序翻译,如有差异,请以英文原文为准。
求助全文
约1分钟内获得全文 求助全文
来源期刊
自引率
0.00%
发文量
0
×
引用
GB/T 7714-2015
复制
MLA
复制
APA
复制
导出至
BibTeX EndNote RefMan NoteFirst NoteExpress
×
提示
您的信息不完整,为了账户安全,请先补充。
现在去补充
×
提示
您因"违规操作"
具体请查看互助需知
我知道了
×
提示
确定
请完成安全验证×
copy
已复制链接
快去分享给好友吧!
我知道了
右上角分享
点击右上角分享
0
联系我们:info@booksci.cn Book学术提供免费学术资源搜索服务,方便国内外学者检索中英文文献。致力于提供最便捷和优质的服务体验。 Copyright © 2023 布克学术 All rights reserved.
京ICP备2023020795号-1
ghs 京公网安备 11010802042870号
Book学术文献互助
Book学术文献互助群
群 号:604180095
Book学术官方微信