Two Methods of Handgrip Strength Assessment in Sarcopenia Evaluation: Associations with in-Hospital Mortality in Older Adults.

IF 3.7 3区 医学 Q2 GERIATRICS & GERONTOLOGY
Clinical Interventions in Aging Pub Date : 2025-09-19 eCollection Date: 2025-01-01 DOI:10.2147/CIA.S529761
Eliana Hanna Deschamps, François R Herrmann, David De Macedo Ferreira, Mauro Silva, Christophe E Graf, Aline Mendes
{"title":"Two Methods of Handgrip Strength Assessment in Sarcopenia Evaluation: Associations with in-Hospital Mortality in Older Adults.","authors":"Eliana Hanna Deschamps, François R Herrmann, David De Macedo Ferreira, Mauro Silva, Christophe E Graf, Aline Mendes","doi":"10.2147/CIA.S529761","DOIUrl":null,"url":null,"abstract":"<p><strong>Background: </strong>Handgrip strength (HGS) is a key diagnostic tool for sarcopenia, yet the comparative prognostic value of the hydraulic dynamometer and pneumatic vigorimeter in hospitalized older adults remains unclear. This study is the first to examine the vigorimeter as a predictor of in-hospital mortality in this setting.</p><p><strong>Methods: </strong>This prospective cohort study included 376 hospitalized older adults (mean age: 82.7 years) across acute, rehabilitation, and long-term care wards. HGS was assessed using both the dynamometer and vigorimeter, applying two sets of cut-offs per instrument. Sarcopenia was confirmed using bioelectrical impedance analysis to calculate the fat-free mass index (FFMI), with four diagnostic criteria combining HGS and FFMI thresholds. Associations between HGS, sarcopenia, and mortality were evaluated using logistic regression and Cox proportional hazards models, with Kaplan-Meier curves illustrating survival differences.</p><p><strong>Results: </strong>Higher HGS measured by the vigorimeter was independently associated with reduced in-hospital mortality (OR 0.96, 95% CI 0.93-0.98, p = 0.001), whereas no significant association was found for dynamometer-measured HGS. Confirmed sarcopenia was significantly associated with mortality for two diagnostic criteria (criterion 2: vigorimeter with DO-HEALTH1 cut-offs: OR 1.77, 95% CI 1.01-3.10, p = 0.047; criterion 4: vigorimeter with DO-HEALTH2 cut-offs: OR 1.76, 95% CI 1.01-3.07, p = 0.048), although no significant association was observed with time-to-mortality. Kaplan-Meier curves demonstrated significant survival differences only for vigorimeter-based HGS cut-offs (p = 0.04). Male sex and falls during hospitalization were associated with increased mortality, while admission to rehabilitation or long-term care wards was associated with reduced mortality.</p><p><strong>Conclusion: </strong>Vigorimeter-based HGS, especially using DO-HEALTH1 cut-offs, demonstrated superior prognostic value for in-hospital mortality compared to the dynamometer. These findings support the clinical utility of the vigorimeter for risk stratification and care planning in hospitalized older adults, particularly in settings where subtle neuromuscular deficits may influence outcomes.</p>","PeriodicalId":48841,"journal":{"name":"Clinical Interventions in Aging","volume":"20 ","pages":"1619-1634"},"PeriodicalIF":3.7000,"publicationDate":"2025-09-19","publicationTypes":"Journal Article","fieldsOfStudy":null,"isOpenAccess":false,"openAccessPdf":"https://www.ncbi.nlm.nih.gov/pmc/articles/PMC12456314/pdf/","citationCount":"0","resultStr":null,"platform":"Semanticscholar","paperid":null,"PeriodicalName":"Clinical Interventions in Aging","FirstCategoryId":"3","ListUrlMain":"https://doi.org/10.2147/CIA.S529761","RegionNum":3,"RegionCategory":"医学","ArticlePicture":[],"TitleCN":null,"AbstractTextCN":null,"PMCID":null,"EPubDate":"2025/1/1 0:00:00","PubModel":"eCollection","JCR":"Q2","JCRName":"GERIATRICS & GERONTOLOGY","Score":null,"Total":0}
引用次数: 0

Abstract

Background: Handgrip strength (HGS) is a key diagnostic tool for sarcopenia, yet the comparative prognostic value of the hydraulic dynamometer and pneumatic vigorimeter in hospitalized older adults remains unclear. This study is the first to examine the vigorimeter as a predictor of in-hospital mortality in this setting.

Methods: This prospective cohort study included 376 hospitalized older adults (mean age: 82.7 years) across acute, rehabilitation, and long-term care wards. HGS was assessed using both the dynamometer and vigorimeter, applying two sets of cut-offs per instrument. Sarcopenia was confirmed using bioelectrical impedance analysis to calculate the fat-free mass index (FFMI), with four diagnostic criteria combining HGS and FFMI thresholds. Associations between HGS, sarcopenia, and mortality were evaluated using logistic regression and Cox proportional hazards models, with Kaplan-Meier curves illustrating survival differences.

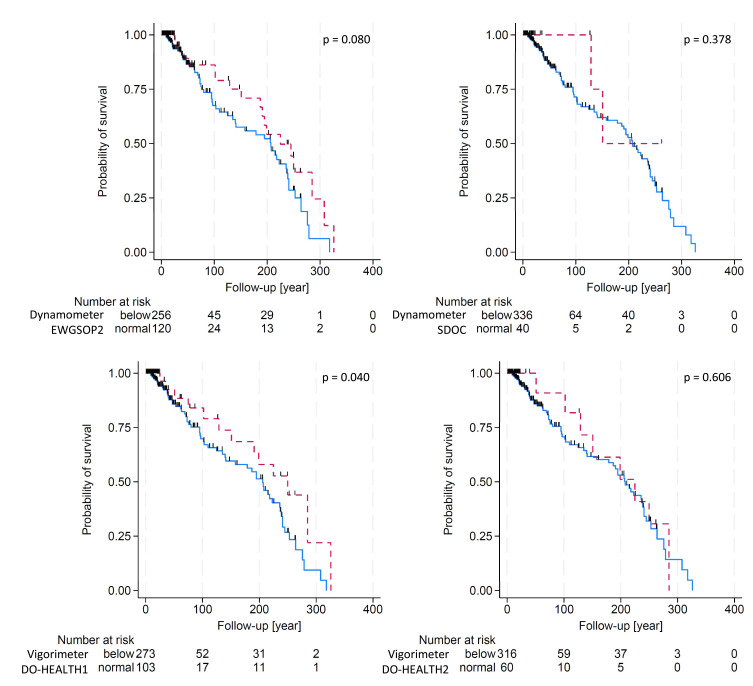
Results: Higher HGS measured by the vigorimeter was independently associated with reduced in-hospital mortality (OR 0.96, 95% CI 0.93-0.98, p = 0.001), whereas no significant association was found for dynamometer-measured HGS. Confirmed sarcopenia was significantly associated with mortality for two diagnostic criteria (criterion 2: vigorimeter with DO-HEALTH1 cut-offs: OR 1.77, 95% CI 1.01-3.10, p = 0.047; criterion 4: vigorimeter with DO-HEALTH2 cut-offs: OR 1.76, 95% CI 1.01-3.07, p = 0.048), although no significant association was observed with time-to-mortality. Kaplan-Meier curves demonstrated significant survival differences only for vigorimeter-based HGS cut-offs (p = 0.04). Male sex and falls during hospitalization were associated with increased mortality, while admission to rehabilitation or long-term care wards was associated with reduced mortality.

Conclusion: Vigorimeter-based HGS, especially using DO-HEALTH1 cut-offs, demonstrated superior prognostic value for in-hospital mortality compared to the dynamometer. These findings support the clinical utility of the vigorimeter for risk stratification and care planning in hospitalized older adults, particularly in settings where subtle neuromuscular deficits may influence outcomes.

Abstract Image

Abstract Image

Abstract Image

肌肉减少症评估中握力评估的两种方法:与老年人住院死亡率的关系
背景:握力(HGS)是肌肉减少症的关键诊断工具,但水力测力仪和气压测力仪在住院老年人中的预后比较价值尚不清楚。这项研究是第一个检查活力计在这种情况下作为住院死亡率的预测因子。方法:这项前瞻性队列研究包括376名住院的老年人(平均年龄:82.7岁),包括急性、康复和长期护理病房。HGS采用测功仪和活力仪进行评估,每台仪器采用两组截止值。采用生物电阻抗分析计算无脂质量指数(FFMI)确认肌少症,并结合HGS和FFMI阈值进行4项诊断标准。使用logistic回归和Cox比例风险模型评估HGS、肌肉减少症和死亡率之间的关联,Kaplan-Meier曲线显示生存差异。结果:活力计测得的高HGS与住院死亡率降低独立相关(OR 0.96, 95% CI 0.93-0.98, p = 0.001),而测功机测得的高HGS没有发现显著关联。确诊的肌肉减少症与两项诊断标准的死亡率显著相关(标准2:活力计与DO-HEALTH1临界值:OR 1.77, 95% CI 1.01-3.10, p = 0.047;标准4:活力计与DO-HEALTH2临界值:OR 1.76, 95% CI 1.01-3.07, p = 0.048),尽管与死亡时间无显著相关性。Kaplan-Meier曲线仅在基于活力计的HGS截止点显示显著的生存差异(p = 0.04)。男性性别和住院期间跌倒与死亡率增加有关,而进入康复或长期护理病房与死亡率降低有关。结论:与测功仪相比,基于活力计的HGS,特别是使用DO-HEALTH1截止值的HGS显示出更好的住院死亡率预后价值。这些发现支持活力计在住院老年人风险分层和护理计划中的临床应用,特别是在细微神经肌肉缺陷可能影响结果的情况下。
本文章由计算机程序翻译,如有差异,请以英文原文为准。
求助全文
约1分钟内获得全文 求助全文
来源期刊
Clinical Interventions in Aging
Clinical Interventions in Aging GERIATRICS & GERONTOLOGY-
CiteScore
6.80
自引率
2.80%
发文量
193
审稿时长
6-12 weeks
期刊介绍: Clinical Interventions in Aging, is an online, peer reviewed, open access journal focusing on concise rapid reporting of original research and reviews in aging. Special attention will be given to papers reporting on actual or potential clinical applications leading to improved prevention or treatment of disease or a greater understanding of pathological processes that result from maladaptive changes in the body associated with aging. This journal is directed at a wide array of scientists, engineers, pharmacists, pharmacologists and clinical specialists wishing to maintain an up to date knowledge of this exciting and emerging field.
×
引用
GB/T 7714-2015
复制
MLA
复制
APA
复制
导出至
BibTeX EndNote RefMan NoteFirst NoteExpress
×
提示
您的信息不完整,为了账户安全,请先补充。
现在去补充
×
提示
您因"违规操作"
具体请查看互助需知
我知道了
×
提示
确定
请完成安全验证×
copy
已复制链接
快去分享给好友吧!
我知道了
右上角分享
点击右上角分享
0
联系我们:info@booksci.cn Book学术提供免费学术资源搜索服务,方便国内外学者检索中英文文献。致力于提供最便捷和优质的服务体验。 Copyright © 2023 布克学术 All rights reserved.
京ICP备2023020795号-1
ghs 京公网安备 11010802042870号
Book学术文献互助
Book学术文献互助群
群 号:604180095
Book学术官方微信