Dynamics of Deuterium Release from EK-181 and Eurofer Steels Depending on Storage Conditions

IF 0.4 Q4 PHYSICS, CONDENSED MATTER
A. V. Golubeva, V. Kh. Alimov, V. S. Efimov, A. P. Persianova, N. P. Bobyr, T. A. Shishkova, D. Terentyev, V. M. Chernov
{"title":"Dynamics of Deuterium Release from EK-181 and Eurofer Steels Depending on Storage Conditions","authors":"A. V. Golubeva,&nbsp;V. Kh. Alimov,&nbsp;V. S. Efimov,&nbsp;A. P. Persianova,&nbsp;N. P. Bobyr,&nbsp;T. A. Shishkova,&nbsp;D. Terentyev,&nbsp;V. M. Chernov","doi":"10.1134/S1027451025700867","DOIUrl":null,"url":null,"abstract":"<p>The EK-181 and Eurofer steel samples were saturated in gaseous deuterium at 200°C and a pressure of 5 atm for 25 h. The effect of sample storage conditions (in vacuum or in air) on the deuterium release from EK-181 and Eurofer steels was studied. The deuterium retention was examined by thermal desorption spectroscopy after storage from several days to one and a half years after the samples were saturated with deuterium. The EK-181 steel samples contained 3.5–6 times more deuterium than the Eurofer steel samples. After one and a half years of storage, the deuterium retention decreased by 1.5–3 times in EK-181 steel and by 3–4 times in Eurofer steel. For the EK-181 steel samples, no unambiguous conclusion can be made about the effect of storage conditions on the deuterium release from the material. Deuterium releases more slowly from the Eurofer steel samples if they were stored in a vacuum. Time dependences of the deuterium retention under different storage conditions were obtained.</p>","PeriodicalId":671,"journal":{"name":"Journal of Surface Investigation: X-ray, Synchrotron and Neutron Techniques","volume":"19 3","pages":"582 - 589"},"PeriodicalIF":0.4000,"publicationDate":"2025-09-25","publicationTypes":"Journal Article","fieldsOfStudy":null,"isOpenAccess":false,"openAccessPdf":"","citationCount":"0","resultStr":null,"platform":"Semanticscholar","paperid":null,"PeriodicalName":"Journal of Surface Investigation: X-ray, Synchrotron and Neutron Techniques","FirstCategoryId":"1085","ListUrlMain":"https://link.springer.com/article/10.1134/S1027451025700867","RegionNum":0,"RegionCategory":null,"ArticlePicture":[],"TitleCN":null,"AbstractTextCN":null,"PMCID":null,"EPubDate":"","PubModel":"","JCR":"Q4","JCRName":"PHYSICS, CONDENSED MATTER","Score":null,"Total":0}
引用次数: 0

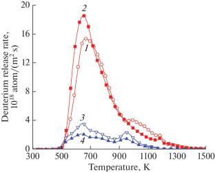
Abstract

The EK-181 and Eurofer steel samples were saturated in gaseous deuterium at 200°C and a pressure of 5 atm for 25 h. The effect of sample storage conditions (in vacuum or in air) on the deuterium release from EK-181 and Eurofer steels was studied. The deuterium retention was examined by thermal desorption spectroscopy after storage from several days to one and a half years after the samples were saturated with deuterium. The EK-181 steel samples contained 3.5–6 times more deuterium than the Eurofer steel samples. After one and a half years of storage, the deuterium retention decreased by 1.5–3 times in EK-181 steel and by 3–4 times in Eurofer steel. For the EK-181 steel samples, no unambiguous conclusion can be made about the effect of storage conditions on the deuterium release from the material. Deuterium releases more slowly from the Eurofer steel samples if they were stored in a vacuum. Time dependences of the deuterium retention under different storage conditions were obtained.

Abstract Image

贮存条件对EK-181和Eurofer钢中氘释放的影响
将EK-181和Eurofer钢样品在200°C、5atm的压力下饱和于气态氘中25 h。研究了样品储存条件(真空或空气)对EK-181和Eurofer钢中氘释放的影响。在样品被氘饱和后的几天到一年半的时间里,用热解吸光谱检测氘的保留情况。EK-181钢样品的氘含量是Eurofer钢样品的3.5-6倍。经过一年半的储存,EK-181钢的氘潴留率下降了1.5-3倍,Eurofer钢的氘潴留率下降了3-4倍。对于EK-181钢样品,储存条件对材料中氘释放的影响没有明确的结论。如果Eurofer钢样品储存在真空中,氘的释放速度会慢一些。得到了不同贮存条件下氘保留量随时间的变化规律。
本文章由计算机程序翻译,如有差异,请以英文原文为准。
求助全文
约1分钟内获得全文 求助全文
来源期刊
CiteScore
0.90
自引率
25.00%
发文量
144
审稿时长
3-8 weeks
期刊介绍: Journal of Surface Investigation: X-ray, Synchrotron and Neutron Techniques publishes original articles on the topical problems of solid-state physics, materials science, experimental techniques, condensed media, nanostructures, surfaces of thin films, and phase boundaries: geometric and energetical structures of surfaces, the methods of computer simulations; physical and chemical properties and their changes upon radiation and other treatments; the methods of studies of films and surface layers of crystals (XRD, XPS, synchrotron radiation, neutron and electron diffraction, electron microscopic, scanning tunneling microscopic, atomic force microscopic studies, and other methods that provide data on the surfaces and thin films). Articles related to the methods and technics of structure studies are the focus of the journal. The journal accepts manuscripts of regular articles and reviews in English or Russian language from authors of all countries. All manuscripts are peer-reviewed.
×
引用
GB/T 7714-2015
复制
MLA
复制
APA
复制
导出至
BibTeX EndNote RefMan NoteFirst NoteExpress
×
提示
您的信息不完整,为了账户安全,请先补充。
现在去补充
×
提示
您因"违规操作"
具体请查看互助需知
我知道了
×
提示
确定
请完成安全验证×
copy
已复制链接
快去分享给好友吧!
我知道了
右上角分享
点击右上角分享
0
联系我们:info@booksci.cn Book学术提供免费学术资源搜索服务,方便国内外学者检索中英文文献。致力于提供最便捷和优质的服务体验。 Copyright © 2023 布克学术 All rights reserved.
京ICP备2023020795号-1
ghs 京公网安备 11010802042870号
Book学术文献互助
Book学术文献互助群
群 号:604180095
Book学术官方微信