Mendelian Randomization Evidence for Relationship and Mediation of Educational Attainment on Chronic Obstructive Pulmonary Disease.

IF 3.1 3区 医学 Q2 RESPIRATORY SYSTEM
Xinyu Yang, Xiaomei Luo, Yan Wang, Meng Tang, Junhui Gong, Shaopan Lian, Ying Zhou, Xin Li, Jia Deng, Guoqiang Cao, Li Li
{"title":"Mendelian Randomization Evidence for Relationship and Mediation of Educational Attainment on Chronic Obstructive Pulmonary Disease.","authors":"Xinyu Yang, Xiaomei Luo, Yan Wang, Meng Tang, Junhui Gong, Shaopan Lian, Ying Zhou, Xin Li, Jia Deng, Guoqiang Cao, Li Li","doi":"10.2147/COPD.S523785","DOIUrl":null,"url":null,"abstract":"<p><strong>Background: </strong>Previous epidemiological studies revealed a potential correlation between educational imbalance and chronic obstructive pulmonary disease (COPD) incidence and hospitalization. However, such studies were susceptible to confounding factors and lacked strong causal evidence. The purpose of this study was to utilize Mendelian randomization (MR) to explore the causal relationship between educational attainment (EA) and the onset and hospitalization of COPD, as well as the mediating mechanism of EA on COPD through multivariable MR (MVMR) and two-step MR.</p><p><strong>Methods: </strong>Based on data from genome-wide association studies (GWASs), this study used single nucleotide polymorphisms (SNPs) as instrumental variables (IVs) for EA and COPD. Two-sample MR, MVMR and two-step MR analysis were conducted. The impact of each variable on the outcome was analysed, and the overall mediating effects of smoking, body mass index (BMI) and generalized allergic reactions were assessed.</p><p><strong>Results: </strong>MR analysis suggested that greater EA significantly reduced the incidence (OR = 0.22, 95% CI = 0.12-0.41) and hospitalization (OR = 0.28, 95% CI = 0.18-0.44) of COPD. The MVMR findings suggested that the impact of EA (OR = 0.53, 95% CI = 0.29-0.99) on COPD still existed after adjusting mediators. Combined MVMR and two-step MR analysis revealed that smoking, BMI and allergies mediate 47.9% of the relationship between EA and COPD.</p><p><strong>Conclusion: </strong>High levels of education may have potentially causal protective effect on the onset and hospitalization of COPD. Reducing smoking, obesity and preventing allergic reactions are candidate approaches to prevent COPD, especially in individuals with lower levels of education.</p>","PeriodicalId":48818,"journal":{"name":"International Journal of Chronic Obstructive Pulmonary Disease","volume":"20 ","pages":"3229-3240"},"PeriodicalIF":3.1000,"publicationDate":"2025-09-18","publicationTypes":"Journal Article","fieldsOfStudy":null,"isOpenAccess":false,"openAccessPdf":"https://www.ncbi.nlm.nih.gov/pmc/articles/PMC12452967/pdf/","citationCount":"0","resultStr":null,"platform":"Semanticscholar","paperid":null,"PeriodicalName":"International Journal of Chronic Obstructive Pulmonary Disease","FirstCategoryId":"3","ListUrlMain":"https://doi.org/10.2147/COPD.S523785","RegionNum":3,"RegionCategory":"医学","ArticlePicture":[],"TitleCN":null,"AbstractTextCN":null,"PMCID":null,"EPubDate":"2025/1/1 0:00:00","PubModel":"eCollection","JCR":"Q2","JCRName":"RESPIRATORY SYSTEM","Score":null,"Total":0}
引用次数: 0

Abstract

Background: Previous epidemiological studies revealed a potential correlation between educational imbalance and chronic obstructive pulmonary disease (COPD) incidence and hospitalization. However, such studies were susceptible to confounding factors and lacked strong causal evidence. The purpose of this study was to utilize Mendelian randomization (MR) to explore the causal relationship between educational attainment (EA) and the onset and hospitalization of COPD, as well as the mediating mechanism of EA on COPD through multivariable MR (MVMR) and two-step MR.

Methods: Based on data from genome-wide association studies (GWASs), this study used single nucleotide polymorphisms (SNPs) as instrumental variables (IVs) for EA and COPD. Two-sample MR, MVMR and two-step MR analysis were conducted. The impact of each variable on the outcome was analysed, and the overall mediating effects of smoking, body mass index (BMI) and generalized allergic reactions were assessed.

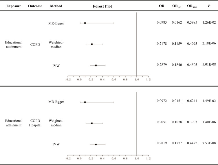
Results: MR analysis suggested that greater EA significantly reduced the incidence (OR = 0.22, 95% CI = 0.12-0.41) and hospitalization (OR = 0.28, 95% CI = 0.18-0.44) of COPD. The MVMR findings suggested that the impact of EA (OR = 0.53, 95% CI = 0.29-0.99) on COPD still existed after adjusting mediators. Combined MVMR and two-step MR analysis revealed that smoking, BMI and allergies mediate 47.9% of the relationship between EA and COPD.

Conclusion: High levels of education may have potentially causal protective effect on the onset and hospitalization of COPD. Reducing smoking, obesity and preventing allergic reactions are candidate approaches to prevent COPD, especially in individuals with lower levels of education.

Abstract Image

Abstract Image

Abstract Image

孟德尔随机化证据:教育程度与慢性阻塞性肺疾病的关系及中介作用。
背景:以往的流行病学研究表明,学历失衡与慢性阻塞性肺疾病(COPD)发病率和住院率之间存在潜在的相关性。然而,这些研究容易受到混杂因素的影响,缺乏强有力的因果证据。本研究的目的是利用孟德尔随机化(Mendelian randomization, MR),通过多变量MR (MVMR)和两步MR方法,探讨受教育程度(EA)与COPD发病和住院之间的因果关系,以及EA对COPD的中介机制。基于全基因组关联研究(GWASs)的数据,本研究以单核苷酸多态性(snp)作为EA和COPD的工具变量(IVs)。进行了两样品MR、MVMR和两步MR分析。分析每个变量对结果的影响,并评估吸烟、体重指数(BMI)和全身性过敏反应的总体中介作用。结果:MR分析提示,EA越大,COPD的发生率(OR = 0.22, 95% CI = 0.12-0.41)和住院率(OR = 0.28, 95% CI = 0.18-0.44)显著降低。MVMR结果提示,调整介质后,EA对COPD的影响(OR = 0.53, 95% CI = 0.29-0.99)仍然存在。综合MVMR和两步MR分析显示,吸烟、BMI和过敏介导了EA和COPD之间47.9%的关系。结论:高教育水平可能对慢性阻塞性肺病的发病和住院有潜在的因果保护作用。减少吸烟、肥胖和预防过敏反应是预防慢性阻塞性肺病的候选方法,特别是在教育水平较低的个体中。
本文章由计算机程序翻译,如有差异,请以英文原文为准。
求助全文
约1分钟内获得全文 求助全文
来源期刊
CiteScore
4.80
自引率
10.70%
发文量
372
审稿时长
16 weeks
期刊介绍: An international, peer-reviewed journal of therapeutics and pharmacology focusing on concise rapid reporting of clinical studies and reviews in COPD. Special focus will be given to the pathophysiological processes underlying the disease, intervention programs, patient focused education, and self management protocols. This journal is directed at specialists and healthcare professionals
×
引用
GB/T 7714-2015
复制
MLA
复制
APA
复制
导出至
BibTeX EndNote RefMan NoteFirst NoteExpress
×
提示
您的信息不完整,为了账户安全,请先补充。
现在去补充
×
提示
您因"违规操作"
具体请查看互助需知
我知道了
×
提示
确定
请完成安全验证×
copy
已复制链接
快去分享给好友吧!
我知道了
右上角分享
点击右上角分享
0
联系我们:info@booksci.cn Book学术提供免费学术资源搜索服务,方便国内外学者检索中英文文献。致力于提供最便捷和优质的服务体验。 Copyright © 2023 布克学术 All rights reserved.
京ICP备2023020795号-1
ghs 京公网安备 11010802042870号
Book学术文献互助
Book学术文献互助群
群 号:604180095
Book学术官方微信