Tissue and systemic inflammation in dystrophic epidermolysis bullosa: a systematic review and meta-analysis.

IF 3.5 2区 医学 Q2 GENETICS & HEREDITY
Meropi Karakioulaki, Nana-Adjoa Kwarteng, Adriani Nikolakopoulou, Hanning Yang, Moritz Hess, Harald Binder, Kilian Eyerich, Cristina Has
{"title":"Tissue and systemic inflammation in dystrophic epidermolysis bullosa: a systematic review and meta-analysis.","authors":"Meropi Karakioulaki, Nana-Adjoa Kwarteng, Adriani Nikolakopoulou, Hanning Yang, Moritz Hess, Harald Binder, Kilian Eyerich, Cristina Has","doi":"10.1186/s13023-025-04034-2","DOIUrl":null,"url":null,"abstract":"<p><strong>Background: </strong>Dystrophic epidermolysis bullosa (DEB) is a rare inherited skin disorder caused by mutations in the type VII collagen gene, leading to mucocutaneous blistering. Subsequent inflammation contributes to chronic wounds, scarring, and systemic complications. There is controversy over whether and how inflammation should be therapeutically targeted.</p><p><strong>Objective: </strong>This systematic review and meta-analysis aim to question tissue and systemic inflammation in DEB and identify inflammatory patterns and research gaps to improve patient management.</p><p><strong>Methods: </strong>A comprehensive search of MEDLINE via PubMed was conducted to identify studies examining \"DEB and tissue or systemic inflammation\". Out of 663 studies identified, 37 met the inclusion criteria. Data for synthesis were extracted from studies assessing systemic inflammatory parameter levels in DEB patients. For outcomes with multiple available studies, we performed an exploratory network meta-analysis to compare the standardized mean difference in systemic inflammatory parameters across three patient groups: DEB patients, healthy controls, and patients with other types of epidermolysis bullosa (EB).</p><p><strong>Results: </strong>The point estimate results for IL-4, IL-6, tumor necrosis factor-alpha, C-reactive protein, immunoglobulin (Ig) A, IgG, and IgM, as well as anti-collagen VII, anti-BP230, anti-BP180 autoantibodies suggested elevated values in DEB patients compared to healthy patients or other EB patients. The estimated standardized mean differences showed lower values of interleukin (IL)-10, hemoglobin and serum albumin in DEB patients compared to controls or other EB patients.</p><p><strong>Conclusion: </strong>Current evidence is limited by small and heterogeneous patient cohorts, variability in study designs and reporting methods, and a predominant reliance on observational and retrospective descriptive studies. Well-designed clinical trials and prospective studies are necessary to further investigate inflammatory pathways and assess the efficacy of (targeted) anti-inflammatory therapies but are difficult to perform and cost-intensive. AI tools for small-data may support research in this field. PROSPERO Registration Number CRD42024535352.</p>","PeriodicalId":19651,"journal":{"name":"Orphanet Journal of Rare Diseases","volume":"20 1","pages":"479"},"PeriodicalIF":3.5000,"publicationDate":"2025-09-23","publicationTypes":"Journal Article","fieldsOfStudy":null,"isOpenAccess":false,"openAccessPdf":"https://www.ncbi.nlm.nih.gov/pmc/articles/PMC12455789/pdf/","citationCount":"0","resultStr":null,"platform":"Semanticscholar","paperid":null,"PeriodicalName":"Orphanet Journal of Rare Diseases","FirstCategoryId":"3","ListUrlMain":"https://doi.org/10.1186/s13023-025-04034-2","RegionNum":2,"RegionCategory":"医学","ArticlePicture":[],"TitleCN":null,"AbstractTextCN":null,"PMCID":null,"EPubDate":"","PubModel":"","JCR":"Q2","JCRName":"GENETICS & HEREDITY","Score":null,"Total":0}
引用次数: 0

Abstract

Background: Dystrophic epidermolysis bullosa (DEB) is a rare inherited skin disorder caused by mutations in the type VII collagen gene, leading to mucocutaneous blistering. Subsequent inflammation contributes to chronic wounds, scarring, and systemic complications. There is controversy over whether and how inflammation should be therapeutically targeted.

Objective: This systematic review and meta-analysis aim to question tissue and systemic inflammation in DEB and identify inflammatory patterns and research gaps to improve patient management.

Methods: A comprehensive search of MEDLINE via PubMed was conducted to identify studies examining "DEB and tissue or systemic inflammation". Out of 663 studies identified, 37 met the inclusion criteria. Data for synthesis were extracted from studies assessing systemic inflammatory parameter levels in DEB patients. For outcomes with multiple available studies, we performed an exploratory network meta-analysis to compare the standardized mean difference in systemic inflammatory parameters across three patient groups: DEB patients, healthy controls, and patients with other types of epidermolysis bullosa (EB).

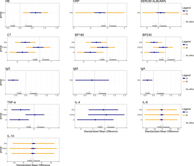
Results: The point estimate results for IL-4, IL-6, tumor necrosis factor-alpha, C-reactive protein, immunoglobulin (Ig) A, IgG, and IgM, as well as anti-collagen VII, anti-BP230, anti-BP180 autoantibodies suggested elevated values in DEB patients compared to healthy patients or other EB patients. The estimated standardized mean differences showed lower values of interleukin (IL)-10, hemoglobin and serum albumin in DEB patients compared to controls or other EB patients.

Conclusion: Current evidence is limited by small and heterogeneous patient cohorts, variability in study designs and reporting methods, and a predominant reliance on observational and retrospective descriptive studies. Well-designed clinical trials and prospective studies are necessary to further investigate inflammatory pathways and assess the efficacy of (targeted) anti-inflammatory therapies but are difficult to perform and cost-intensive. AI tools for small-data may support research in this field. PROSPERO Registration Number CRD42024535352.

Abstract Image

Abstract Image

Abstract Image

营养不良大疱性表皮松解症的组织和全身炎症:系统回顾和荟萃分析。
背景:营养不良型大疱性表皮松解症(DEB)是一种罕见的遗传性皮肤病,由VII型胶原蛋白基因突变引起,可导致皮肤粘膜起泡。随后的炎症会导致慢性伤口、瘢痕和全身并发症。关于是否以及如何治疗炎症存在争议。目的:本系统综述和荟萃分析旨在质疑DEB的组织和全身炎症,并确定炎症模式和研究空白,以改善患者管理。方法:通过PubMed对MEDLINE进行全面搜索,以确定检查“DEB和组织或全身性炎症”的研究。在确定的663项研究中,有37项符合纳入标准。合成的数据是从评估DEB患者全身炎症参数水平的研究中提取的。对于多个可用研究的结果,我们进行了一项探索性网络荟萃分析,以比较三组患者(DEB患者、健康对照组和其他类型大疱性表皮松解症(EB)患者)全身炎症参数的标准化平均差异。结果:白细胞介素4、白细胞介素6、肿瘤坏死因子α、c反应蛋白、免疫球蛋白(Ig) A、IgG、IgM以及抗VII胶原蛋白、抗bp230、抗bp180自身抗体的点估计结果显示,与健康患者或其他EB患者相比,DEB患者的数值升高。估计的标准化平均差异显示,与对照组或其他EB患者相比,DEB患者的白细胞介素(IL)-10、血红蛋白和血清白蛋白值较低。结论:目前的证据受限于患者队列小且异质性,研究设计和报告方法的可变性,以及主要依赖于观察性和回顾性描述性研究。精心设计的临床试验和前瞻性研究对于进一步研究炎症途径和评估(靶向)抗炎治疗的疗效是必要的,但很难实施且成本高。用于小数据的人工智能工具可能会支持这一领域的研究。普洛斯彼罗注册号CRD42024535352。
本文章由计算机程序翻译,如有差异,请以英文原文为准。
求助全文
约1分钟内获得全文 求助全文
来源期刊
Orphanet Journal of Rare Diseases
Orphanet Journal of Rare Diseases 医学-医学:研究与实验
CiteScore
6.30
自引率
8.10%
发文量
418
审稿时长
4-8 weeks
期刊介绍: Orphanet Journal of Rare Diseases is an open access, peer-reviewed journal that encompasses all aspects of rare diseases and orphan drugs. The journal publishes high-quality reviews on specific rare diseases. In addition, the journal may consider articles on clinical trial outcome reports, either positive or negative, and articles on public health issues in the field of rare diseases and orphan drugs. The journal does not accept case reports.
×
引用
GB/T 7714-2015
复制
MLA
复制
APA
复制
导出至
BibTeX EndNote RefMan NoteFirst NoteExpress
×
提示
您的信息不完整,为了账户安全,请先补充。
现在去补充
×
提示
您因"违规操作"
具体请查看互助需知
我知道了
×
提示
确定
请完成安全验证×
copy
已复制链接
快去分享给好友吧!
我知道了
右上角分享
点击右上角分享
0
联系我们:info@booksci.cn Book学术提供免费学术资源搜索服务,方便国内外学者检索中英文文献。致力于提供最便捷和优质的服务体验。 Copyright © 2023 布克学术 All rights reserved.
京ICP备2023020795号-1
ghs 京公网安备 11010802042870号
Book学术文献互助
Book学术文献互助群
群 号:604180095
Book学术官方微信