Synthesis and Physical-Chemical Study of Nanopowders and Ceramics in the Gd2O3–La2O3–SrO–Ni(Co)O3 – δ System for Cathode Fuel Cell Materials

IF 0.6 4区 材料科学 Q4 MATERIALS SCIENCE, CERAMICS
M. V. Kalinina, I. G. Polyakova, S. V. Myakin, A. S. Kovalenko, I. A. Drozdova, O. A. Shilova
{"title":"Synthesis and Physical-Chemical Study of Nanopowders and Ceramics in the Gd2O3–La2O3–SrO–Ni(Co)O3 – δ System for Cathode Fuel Cell Materials","authors":"M. V. Kalinina,&nbsp;I. G. Polyakova,&nbsp;S. V. Myakin,&nbsp;A. S. Kovalenko,&nbsp;I. A. Drozdova,&nbsp;O. A. Shilova","doi":"10.1134/S1087659625600176","DOIUrl":null,"url":null,"abstract":"<p>Highly dispersed mesoporous powders of the composition Gd<sub>1 – <i>x</i></sub>Sr<sub><i>x</i></sub>Co<sub>0.5</sub>O<sub>3 – δ</sub> (<i>x</i> = 0.1, 0.15, 0.2, 0.25), Gd<sub>0.4</sub>Sr<sub>0.1</sub>Ni<sub>0.5</sub>O<sub>3 – δ</sub>, and Gd<sub>0.125</sub>La<sub>0.125</sub>Sr<sub>0.25</sub>Co<sub>0.5</sub>O<sub>3 – δ</sub> are synthesized using the method of the cocrystallization of nitrate salts. Ceramic nanomaterials of the given composition with a CSR of ~49–62 nm (1200°С), open porosity of 17–42%, and apparent density of 5–7 g/cm<sup>3</sup> are obtained based on them. Nanopowders and ceramics in the range of 600–1200°C have a tetragonal and orthorhombic structure of the perovskite type in the Gd<sub>2</sub>O<sub>3</sub>‒SrO‒Co<sub>2</sub>O<sub>3 – δ</sub> system. It is established that in order to obtain the optimal characteristics of density and porous structure of ceramics, combined additives of polyvinyl alcohol (PVA) are required in combination with aluminum hydroxide Al(OH)<sub>3</sub>, acting as a pore-forming and sintering additive. The solid solutions have mixed electron-ionic conductivity with transport numbers <i>t</i><sub>e</sub> = 0.92–0.99 and <i>t</i><sub>i</sub> = 0.08–0.01. Due to their physical, chemical, and electrophysical properties associated with the structural features of solid solutions, ceramic materials obtained based on them are promising for use as solid oxide cathodes for medium-temperature fuel cells.</p>","PeriodicalId":580,"journal":{"name":"Glass Physics and Chemistry","volume":"51 3","pages":"325 - 336"},"PeriodicalIF":0.6000,"publicationDate":"2025-09-23","publicationTypes":"Journal Article","fieldsOfStudy":null,"isOpenAccess":false,"openAccessPdf":"","citationCount":"0","resultStr":null,"platform":"Semanticscholar","paperid":null,"PeriodicalName":"Glass Physics and Chemistry","FirstCategoryId":"88","ListUrlMain":"https://link.springer.com/article/10.1134/S1087659625600176","RegionNum":4,"RegionCategory":"材料科学","ArticlePicture":[],"TitleCN":null,"AbstractTextCN":null,"PMCID":null,"EPubDate":"","PubModel":"","JCR":"Q4","JCRName":"MATERIALS SCIENCE, CERAMICS","Score":null,"Total":0}
引用次数: 0

Abstract

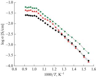
Highly dispersed mesoporous powders of the composition Gd1 – xSrxCo0.5O3 – δ (x = 0.1, 0.15, 0.2, 0.25), Gd0.4Sr0.1Ni0.5O3 – δ, and Gd0.125La0.125Sr0.25Co0.5O3 – δ are synthesized using the method of the cocrystallization of nitrate salts. Ceramic nanomaterials of the given composition with a CSR of ~49–62 nm (1200°С), open porosity of 17–42%, and apparent density of 5–7 g/cm3 are obtained based on them. Nanopowders and ceramics in the range of 600–1200°C have a tetragonal and orthorhombic structure of the perovskite type in the Gd2O3‒SrO‒Co2O3 – δ system. It is established that in order to obtain the optimal characteristics of density and porous structure of ceramics, combined additives of polyvinyl alcohol (PVA) are required in combination with aluminum hydroxide Al(OH)3, acting as a pore-forming and sintering additive. The solid solutions have mixed electron-ionic conductivity with transport numbers te = 0.92–0.99 and ti = 0.08–0.01. Due to their physical, chemical, and electrophysical properties associated with the structural features of solid solutions, ceramic materials obtained based on them are promising for use as solid oxide cathodes for medium-temperature fuel cells.

Abstract Image

阴极燃料电池材料Gd2O3-La2O3-SrO-Ni (Co)O3 - δ体系纳米粉体及陶瓷的合成与物理化学研究
采用硝酸盐共结晶的方法合成了Gd1 - xSrxCo0.5O3 - δ (x = 0.1, 0.15, 0.2, 0.25)、Gd0.4Sr0.1Ni0.5O3 - δ和Gd0.125La0.125Sr0.25Co0.5O3 - δ等高度分散的介孔粉体。在此基础上,得到了相应成分的陶瓷纳米材料,其CSR为~49 ~ 62 nm(1200°С),开孔率为17 ~ 42%,表观密度为5 ~ 7 g/cm3。在600 ~ 1200℃范围内,纳米粉体和陶瓷在Gd2O3-SrO-Co2O3 - δ体系中具有钙钛矿型的四方和正交结构。为了获得最佳的陶瓷密度和多孔结构特性,需要聚乙烯醇(PVA)复合添加剂与氢氧化铝Al(OH)3复合,作为成孔和烧结添加剂。固溶体具有混合电导率,输运数te = 0.92 ~ 0.99, ti = 0.08 ~ 0.01。由于其与固溶体结构特征相关的物理、化学和电物理性质,基于它们获得的陶瓷材料有望用作中温燃料电池的固体氧化物阴极。
本文章由计算机程序翻译,如有差异,请以英文原文为准。
求助全文
约1分钟内获得全文 求助全文
来源期刊
Glass Physics and Chemistry
Glass Physics and Chemistry 工程技术-材料科学:硅酸盐
CiteScore
1.20
自引率
14.30%
发文量
46
审稿时长
6-12 weeks
期刊介绍: Glass Physics and Chemistry presents results of research on the inorganic and physical chemistry of glass, ceramics, nanoparticles, nanocomposites, and high-temperature oxides and coatings. The journal welcomes manuscripts from all countries in the English or Russian language.
×
引用
GB/T 7714-2015
复制
MLA
复制
APA
复制
导出至
BibTeX EndNote RefMan NoteFirst NoteExpress
×
提示
您的信息不完整,为了账户安全,请先补充。
现在去补充
×
提示
您因"违规操作"
具体请查看互助需知
我知道了
×
提示
确定
请完成安全验证×
copy
已复制链接
快去分享给好友吧!
我知道了
右上角分享
点击右上角分享
0
联系我们:info@booksci.cn Book学术提供免费学术资源搜索服务,方便国内外学者检索中英文文献。致力于提供最便捷和优质的服务体验。 Copyright © 2023 布克学术 All rights reserved.
京ICP备2023020795号-1
ghs 京公网安备 11010802042870号
Book学术文献互助
Book学术文献互助群
群 号:604180095
Book学术官方微信