Prealbumin Adjusted Prognostic Nutritional Index May Predict the Postoperative Survival and Free Walking Abilities of Patients with Hip Fractures: A Multi-Center Follow-Up Study.

IF 3.7 3区 医学 Q2 GERIATRICS & GERONTOLOGY
Clinical Interventions in Aging Pub Date : 2025-09-15 eCollection Date: 2025-01-01 DOI:10.2147/CIA.S539573
Yue Zhang, Daqian Yu, Xian Xu, Yanping Guo, Zhibang Zhao, Shengchao Ji
{"title":"Prealbumin Adjusted Prognostic Nutritional Index May Predict the Postoperative Survival and Free Walking Abilities of Patients with Hip Fractures: A Multi-Center Follow-Up Study.","authors":"Yue Zhang, Daqian Yu, Xian Xu, Yanping Guo, Zhibang Zhao, Shengchao Ji","doi":"10.2147/CIA.S539573","DOIUrl":null,"url":null,"abstract":"<p><strong>Background: </strong>This multi-center study aims to develop and validate the Prealbumin-adjusted Prognostic Nutritional Index (PAPNI), hypothesizing that it would enhance prognostic prediction for hip fracture patients compared to traditional indices.</p><p><strong>Methods: </strong>Data from 771 patients (Cohort 1) and 673 patients (Cohort 2) were retrospectively analyzed. The PAPNI was formulated by substituting albumin with prealbumin in the Prognostic Nutritional Index (PNI) formula, with its weight optimized using receiver operating characteristic (ROC) curves. All individuals were followed up for 1 year. The relationships between PAPNI and outcomes were explored.</p><p><strong>Results: </strong>In both cohorts, PAPNI demonstrated superior predictive accuracy for 1-year mortality and free walking ability compared to PNI, prealbumin, and lymphocyte count alone. Patients with low PAPNI exhibited significantly higher mortality rates and lower free walking rates. Multivariate analyses confirmed PAPNI as an independent predictor for outcomes of hip fracture.</p><p><strong>Conclusion: </strong>PAPNI, incorporating prealbumin, offers a more accurate and convenient method for predicting postoperative survival and functional recovery of hip fractures, providing a basis for early nutritional intervention.</p>","PeriodicalId":48841,"journal":{"name":"Clinical Interventions in Aging","volume":"20 ","pages":"1571-1582"},"PeriodicalIF":3.7000,"publicationDate":"2025-09-15","publicationTypes":"Journal Article","fieldsOfStudy":null,"isOpenAccess":false,"openAccessPdf":"https://www.ncbi.nlm.nih.gov/pmc/articles/PMC12447977/pdf/","citationCount":"0","resultStr":null,"platform":"Semanticscholar","paperid":null,"PeriodicalName":"Clinical Interventions in Aging","FirstCategoryId":"3","ListUrlMain":"https://doi.org/10.2147/CIA.S539573","RegionNum":3,"RegionCategory":"医学","ArticlePicture":[],"TitleCN":null,"AbstractTextCN":null,"PMCID":null,"EPubDate":"2025/1/1 0:00:00","PubModel":"eCollection","JCR":"Q2","JCRName":"GERIATRICS & GERONTOLOGY","Score":null,"Total":0}
引用次数: 0

Abstract

Background: This multi-center study aims to develop and validate the Prealbumin-adjusted Prognostic Nutritional Index (PAPNI), hypothesizing that it would enhance prognostic prediction for hip fracture patients compared to traditional indices.

Methods: Data from 771 patients (Cohort 1) and 673 patients (Cohort 2) were retrospectively analyzed. The PAPNI was formulated by substituting albumin with prealbumin in the Prognostic Nutritional Index (PNI) formula, with its weight optimized using receiver operating characteristic (ROC) curves. All individuals were followed up for 1 year. The relationships between PAPNI and outcomes were explored.

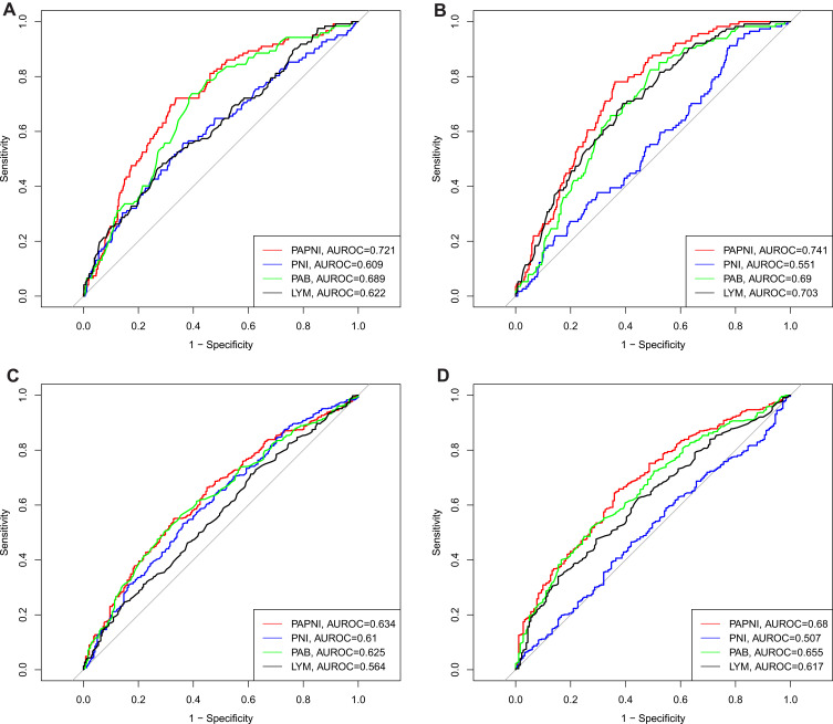
Results: In both cohorts, PAPNI demonstrated superior predictive accuracy for 1-year mortality and free walking ability compared to PNI, prealbumin, and lymphocyte count alone. Patients with low PAPNI exhibited significantly higher mortality rates and lower free walking rates. Multivariate analyses confirmed PAPNI as an independent predictor for outcomes of hip fracture.

Conclusion: PAPNI, incorporating prealbumin, offers a more accurate and convenient method for predicting postoperative survival and functional recovery of hip fractures, providing a basis for early nutritional intervention.

Abstract Image

Abstract Image

Abstract Image

一项多中心随访研究:白蛋白前调整的预后营养指数可预测髋部骨折患者的术后生存和自由行走能力。
背景:本多中心研究旨在开发和验证前白蛋白调整预后营养指数(PAPNI),假设与传统指标相比,它可以提高髋部骨折患者的预后预测。方法:回顾性分析771例患者(队列1)和673例患者(队列2)的资料。PAPNI是通过将预后营养指数(PNI)公式中的白蛋白替换为白蛋白前蛋白来制定的,其权重通过受试者工作特征(ROC)曲线进行优化。所有患者随访1年。探讨了PAPNI与预后之间的关系。结果:在这两个队列中,与单独的PNI、白蛋白前和淋巴细胞计数相比,PAPNI对1年死亡率和自由行走能力的预测准确性更高。低PAPNI患者表现出更高的死亡率和更低的自由行走率。多变量分析证实PAPNI是髋部骨折结局的独立预测因子。结论:结合前白蛋白的PAPNI可更准确、方便地预测髋部骨折患者术后生存及功能恢复,为早期营养干预提供依据。
本文章由计算机程序翻译,如有差异,请以英文原文为准。
求助全文
约1分钟内获得全文 求助全文
来源期刊
Clinical Interventions in Aging
Clinical Interventions in Aging GERIATRICS & GERONTOLOGY-
CiteScore
6.80
自引率
2.80%
发文量
193
审稿时长
6-12 weeks
期刊介绍: Clinical Interventions in Aging, is an online, peer reviewed, open access journal focusing on concise rapid reporting of original research and reviews in aging. Special attention will be given to papers reporting on actual or potential clinical applications leading to improved prevention or treatment of disease or a greater understanding of pathological processes that result from maladaptive changes in the body associated with aging. This journal is directed at a wide array of scientists, engineers, pharmacists, pharmacologists and clinical specialists wishing to maintain an up to date knowledge of this exciting and emerging field.
×
引用
GB/T 7714-2015
复制
MLA
复制
APA
复制
导出至
BibTeX EndNote RefMan NoteFirst NoteExpress
×
提示
您的信息不完整,为了账户安全,请先补充。
现在去补充
×
提示
您因"违规操作"
具体请查看互助需知
我知道了
×
提示
确定
请完成安全验证×
copy
已复制链接
快去分享给好友吧!
我知道了
右上角分享
点击右上角分享
0
联系我们:info@booksci.cn Book学术提供免费学术资源搜索服务,方便国内外学者检索中英文文献。致力于提供最便捷和优质的服务体验。 Copyright © 2023 布克学术 All rights reserved.
京ICP备2023020795号-1
ghs 京公网安备 11010802042870号
Book学术文献互助
Book学术文献互助群
群 号:604180095
Book学术官方微信