Reading Comprehension Challenges in Autism Spectrum Disorder: Linguistic Factors and Figurative Language Proficiency.

IF 3.4 Q1 EDUCATION, SPECIAL
Autism and Developmental Language Impairments Pub Date : 2025-09-19 eCollection Date: 2025-01-01 DOI:10.1177/23969415251371544
George Kritsotakis, Eleni Morfidi
{"title":"Reading Comprehension Challenges in Autism Spectrum Disorder: Linguistic Factors and Figurative Language Proficiency.","authors":"George Kritsotakis, Eleni Morfidi","doi":"10.1177/23969415251371544","DOIUrl":null,"url":null,"abstract":"<p><strong>Background and aims: </strong>Children with autism spectrum disorder (ASD) without intellectual disability often face challenges in understanding written text. However, considerable variability in this area underscores the need to examine their reading profiles and the factors influencing the development of reading comprehension (RC). This study investigates the RC of upper elementary school children with ASD compared to typically developing (TD) peers and explores the role of broader linguistic abilities in RC, with a specific focus on pragmatic competence (e.g., figurative language comprehension). Nonlinguistic factors such as age and nonverbal cognitive capacity are also considered. A secondary aim is to assess the potential heterogeneity in RC and linguistic abilities within the ASD sample.</p><p><strong>Methods: </strong>In total, 35 children with ASD and 35 TD controls (mean age = 10.7 years, SD = 0.97) were matched for age, gender, and nonverbal cognitive ability using Raven's Colored Progressive Matrices. Both groups completed assessments of RC, structural language skills (receptive vocabulary and morphosyntax), and figurative language competence. To evaluate variability, the ASD group was divided into two subgroups based on RC performance.</p><p><strong>Results: </strong>Participants with ASD scored significantly lower than their TD peers in RC, morphosyntactic skills, and figurative language comprehension, but no significant differences were observed in receptive vocabulary. For children with ASD, chronological age, nonverbal cognitive ability, and receptive vocabulary accounted for significant variance in RC. In contrast, RC in TD children was predicted by morphosyntactic ability and figurative competence. Furthermore, the substantial heterogeneity within the ASD group was evident, highlighting their variability across the range of examined variables.</p><p><strong>Conclusions and implications: </strong>The findings indicate that children with ASD as a group experience notable difficulties in text comprehension and language processing at the morphosyntactic and pragmatic levels, despite achieving receptive vocabulary and nonverbal cognitive scores comparable to those of their TD peers. The two groups appear to employ distinct strategies for deriving meaning from text. The pronounced variability in RC and linguistic abilities among ASD participants underscores the complexity of their reading and language profiles, highlighting the importance of tailored educational assessments and interventions, which are further discussed.</p>","PeriodicalId":36716,"journal":{"name":"Autism and Developmental Language Impairments","volume":"10 ","pages":"23969415251371544"},"PeriodicalIF":3.4000,"publicationDate":"2025-09-19","publicationTypes":"Journal Article","fieldsOfStudy":null,"isOpenAccess":false,"openAccessPdf":"https://www.ncbi.nlm.nih.gov/pmc/articles/PMC12449652/pdf/","citationCount":"0","resultStr":null,"platform":"Semanticscholar","paperid":null,"PeriodicalName":"Autism and Developmental Language Impairments","FirstCategoryId":"1085","ListUrlMain":"https://doi.org/10.1177/23969415251371544","RegionNum":0,"RegionCategory":null,"ArticlePicture":[],"TitleCN":null,"AbstractTextCN":null,"PMCID":null,"EPubDate":"2025/1/1 0:00:00","PubModel":"eCollection","JCR":"Q1","JCRName":"EDUCATION, SPECIAL","Score":null,"Total":0}
引用次数: 0

Abstract

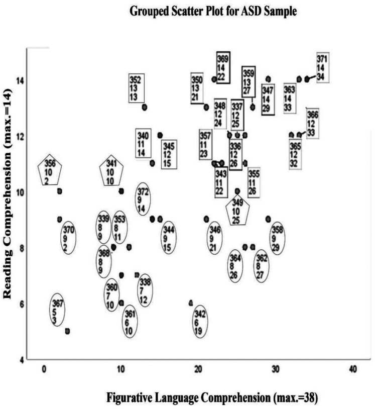
Background and aims: Children with autism spectrum disorder (ASD) without intellectual disability often face challenges in understanding written text. However, considerable variability in this area underscores the need to examine their reading profiles and the factors influencing the development of reading comprehension (RC). This study investigates the RC of upper elementary school children with ASD compared to typically developing (TD) peers and explores the role of broader linguistic abilities in RC, with a specific focus on pragmatic competence (e.g., figurative language comprehension). Nonlinguistic factors such as age and nonverbal cognitive capacity are also considered. A secondary aim is to assess the potential heterogeneity in RC and linguistic abilities within the ASD sample.

Methods: In total, 35 children with ASD and 35 TD controls (mean age = 10.7 years, SD = 0.97) were matched for age, gender, and nonverbal cognitive ability using Raven's Colored Progressive Matrices. Both groups completed assessments of RC, structural language skills (receptive vocabulary and morphosyntax), and figurative language competence. To evaluate variability, the ASD group was divided into two subgroups based on RC performance.

Results: Participants with ASD scored significantly lower than their TD peers in RC, morphosyntactic skills, and figurative language comprehension, but no significant differences were observed in receptive vocabulary. For children with ASD, chronological age, nonverbal cognitive ability, and receptive vocabulary accounted for significant variance in RC. In contrast, RC in TD children was predicted by morphosyntactic ability and figurative competence. Furthermore, the substantial heterogeneity within the ASD group was evident, highlighting their variability across the range of examined variables.

Conclusions and implications: The findings indicate that children with ASD as a group experience notable difficulties in text comprehension and language processing at the morphosyntactic and pragmatic levels, despite achieving receptive vocabulary and nonverbal cognitive scores comparable to those of their TD peers. The two groups appear to employ distinct strategies for deriving meaning from text. The pronounced variability in RC and linguistic abilities among ASD participants underscores the complexity of their reading and language profiles, highlighting the importance of tailored educational assessments and interventions, which are further discussed.

Abstract Image

Abstract Image

Abstract Image

自闭症谱系障碍的阅读理解挑战:语言因素与比喻语言能力。
背景和目的:无智力障碍的自闭症谱系障碍(ASD)儿童在理解书面文本方面经常面临挑战。然而,这一领域的相当大的差异强调了研究他们的阅读概况和影响阅读理解发展的因素的必要性。本研究调查了ASD高年级小学生与正常发展(TD)同龄人的认知能力,并探讨了更广泛的语言能力在认知能力中的作用,特别关注语用能力(如比喻性语言理解)。非语言因素如年龄和非语言认知能力也被考虑在内。第二个目的是评估自闭症谱系障碍样本中RC和语言能力的潜在异质性。方法:采用Raven's彩色递进矩阵对35名ASD患儿和35名TD对照组(平均年龄= 10.7岁,SD = 0.97)的年龄、性别和非语言认知能力进行匹配。两组都完成了RC、结构语言技能(接受性词汇和形态句法)和比喻语言能力的评估。为了评估变异性,根据RC表现将ASD组分为两个亚组。结果:ASD被试在RC、形态句法技能和比喻性语言理解方面得分显著低于TD同龄人,但在接受性词汇方面无显著差异。对于ASD儿童,实足年龄、非语言认知能力和接受性词汇量在RC中有显著差异。而TD儿童的RC则通过形态句法能力和比喻能力来预测。此外,ASD组内的实质性异质性是明显的,突出了他们在检查变量范围内的变异性。结论和启示:研究结果表明,尽管ASD儿童的接受性词汇和非语言认知得分与TD儿童相当,但作为一个群体,ASD儿童在形态句法和语用水平上的文本理解和语言处理方面存在显著困难。这两组人似乎采用了不同的策略来从文本中获取意义。ASD参与者在RC和语言能力上的显著差异强调了他们阅读和语言特征的复杂性,强调了量身定制的教育评估和干预的重要性,这一点将进一步讨论。
本文章由计算机程序翻译,如有差异,请以英文原文为准。
求助全文
约1分钟内获得全文 求助全文
来源期刊
Autism and Developmental Language Impairments
Autism and Developmental Language Impairments Psychology-Clinical Psychology
CiteScore
3.20
自引率
0.00%
发文量
20
审稿时长
12 weeks
×
引用
GB/T 7714-2015
复制
MLA
复制
APA
复制
导出至
BibTeX EndNote RefMan NoteFirst NoteExpress
×
提示
您的信息不完整,为了账户安全,请先补充。
现在去补充
×
提示
您因"违规操作"
具体请查看互助需知
我知道了
×
提示
确定
请完成安全验证×
copy
已复制链接
快去分享给好友吧!
我知道了
右上角分享
点击右上角分享
0
联系我们:info@booksci.cn Book学术提供免费学术资源搜索服务,方便国内外学者检索中英文文献。致力于提供最便捷和优质的服务体验。 Copyright © 2023 布克学术 All rights reserved.
京ICP备2023020795号-1
ghs 京公网安备 11010802042870号
Book学术文献互助
Book学术文献互助群
群 号:604180095
Book学术官方微信