Correlation between perineural invasion and clinicopathological characteristics in pancreatic cancer.

IF 2.5 4区 医学 Q2 GASTROENTEROLOGY & HEPATOLOGY
Xiao-Liang Lu, Chuang Ge, Ruo-Chen Wang, Hong Zang
{"title":"Correlation between perineural invasion and clinicopathological characteristics in pancreatic cancer.","authors":"Xiao-Liang Lu, Chuang Ge, Ruo-Chen Wang, Hong Zang","doi":"10.4251/wjgo.v17.i9.108277","DOIUrl":null,"url":null,"abstract":"<p><strong>Background: </strong>Perineural invasion (PNI) is common in pancreatic cancer (PC) and is associated with poor prognosis.</p><p><strong>Aim: </strong>To investigate the correlation between PNI and clinical pathological features in PC.</p><p><strong>Methods: </strong>Patients were retrospectively divided into non-neural invasion and neural invasion groups based on PNI. Differences in tumor location, size, carbohydrate antigen 19-9 (CA19-9) level, overall survival, abdominal pain, pathological type, differentiation, and lymph node invasion were compared. Correlation and logistic regression analyses were performed, and a predictive model was constructed.</p><p><strong>Results: </strong>The neural invasion group had a higher proportion of tumors in the head, larger size, higher CA19-9 levels, lower survival rates, more abdominal pain, and more lymph node invasion. Pancreatic ductal adenocarcinoma and higher differentiation were more common in the neural invasion group. Tumor location, survival, and differentiation were negatively correlated, while size, CA19-9 level, abdominal pain, and lymph node invasion were positively correlated with neural invasion. Tumor location, size, CA19-9 level, abdominal pain, differentiation, and lymph node invasion were independent risk factors. The predictive model showed good consistency with actual occurrence rates.</p><p><strong>Conclusion: </strong>Tumor location, size, CA19-9 level, abdominal pain, differentiation, and lymph node invasion are important factors in neural invasion and tumor progression in PC.</p>","PeriodicalId":23762,"journal":{"name":"World Journal of Gastrointestinal Oncology","volume":"17 9","pages":"108277"},"PeriodicalIF":2.5000,"publicationDate":"2025-09-15","publicationTypes":"Journal Article","fieldsOfStudy":null,"isOpenAccess":false,"openAccessPdf":"https://www.ncbi.nlm.nih.gov/pmc/articles/PMC12444336/pdf/","citationCount":"0","resultStr":null,"platform":"Semanticscholar","paperid":null,"PeriodicalName":"World Journal of Gastrointestinal Oncology","FirstCategoryId":"3","ListUrlMain":"https://doi.org/10.4251/wjgo.v17.i9.108277","RegionNum":4,"RegionCategory":"医学","ArticlePicture":[],"TitleCN":null,"AbstractTextCN":null,"PMCID":null,"EPubDate":"","PubModel":"","JCR":"Q2","JCRName":"GASTROENTEROLOGY & HEPATOLOGY","Score":null,"Total":0}
引用次数: 0

Abstract

Background: Perineural invasion (PNI) is common in pancreatic cancer (PC) and is associated with poor prognosis.

Aim: To investigate the correlation between PNI and clinical pathological features in PC.

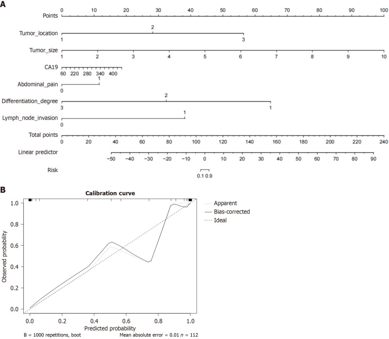
Methods: Patients were retrospectively divided into non-neural invasion and neural invasion groups based on PNI. Differences in tumor location, size, carbohydrate antigen 19-9 (CA19-9) level, overall survival, abdominal pain, pathological type, differentiation, and lymph node invasion were compared. Correlation and logistic regression analyses were performed, and a predictive model was constructed.

Results: The neural invasion group had a higher proportion of tumors in the head, larger size, higher CA19-9 levels, lower survival rates, more abdominal pain, and more lymph node invasion. Pancreatic ductal adenocarcinoma and higher differentiation were more common in the neural invasion group. Tumor location, survival, and differentiation were negatively correlated, while size, CA19-9 level, abdominal pain, and lymph node invasion were positively correlated with neural invasion. Tumor location, size, CA19-9 level, abdominal pain, differentiation, and lymph node invasion were independent risk factors. The predictive model showed good consistency with actual occurrence rates.

Conclusion: Tumor location, size, CA19-9 level, abdominal pain, differentiation, and lymph node invasion are important factors in neural invasion and tumor progression in PC.

Abstract Image

Abstract Image

胰腺癌神经周围浸润与临床病理特征的关系。
背景:周围神经侵犯(PNI)在胰腺癌(PC)中很常见,并与不良预后相关。目的:探讨PNI与PC临床病理特征的关系。方法:基于PNI将患者回顾性分为非神经侵犯组和神经侵犯组。比较肿瘤的位置、大小、碳水化合物抗原19-9 (CA19-9)水平、总生存、腹痛、病理分型、分化、淋巴结浸润等方面的差异。进行相关分析和logistic回归分析,建立预测模型。结果:神经侵犯组头部肿瘤比例较高,体积较大,CA19-9水平较高,生存率较低,腹痛加重,淋巴结侵犯较多。胰腺导管腺癌及高分化在神经浸润组更为常见。肿瘤的位置、生存和分化呈负相关,而大小、CA19-9水平、腹痛、淋巴结浸润与神经浸润呈正相关。肿瘤的位置、大小、CA19-9水平、腹痛、分化、淋巴结浸润是独立的危险因素。预测模型与实际发生率具有较好的一致性。结论:肿瘤的位置、大小、CA19-9水平、腹痛程度、分化程度、淋巴结浸润是影响PC神经侵犯及肿瘤进展的重要因素。
本文章由计算机程序翻译,如有差异,请以英文原文为准。
求助全文
约1分钟内获得全文 求助全文
来源期刊
World Journal of Gastrointestinal Oncology
World Journal of Gastrointestinal Oncology Medicine-Gastroenterology
CiteScore
4.20
自引率
3.30%
发文量
1082
期刊介绍: The World Journal of Gastrointestinal Oncology (WJGO) is a leading academic journal devoted to reporting the latest, cutting-edge research progress and findings of basic research and clinical practice in the field of gastrointestinal oncology.
×
引用
GB/T 7714-2015
复制
MLA
复制
APA
复制
导出至
BibTeX EndNote RefMan NoteFirst NoteExpress
×
提示
您的信息不完整,为了账户安全,请先补充。
现在去补充
×
提示
您因"违规操作"
具体请查看互助需知
我知道了
×
提示
确定
请完成安全验证×
copy
已复制链接
快去分享给好友吧!
我知道了
右上角分享
点击右上角分享
0
联系我们:info@booksci.cn Book学术提供免费学术资源搜索服务,方便国内外学者检索中英文文献。致力于提供最便捷和优质的服务体验。 Copyright © 2023 布克学术 All rights reserved.
京ICP备2023020795号-1
ghs 京公网安备 11010802042870号
Book学术文献互助
Book学术文献互助群
群 号:604180095
Book学术官方微信