Association between estimated glucose disposal rate and testosterone level in US adult men: insights from NHANES 2013-2016.

IF 2 3区 医学 Q1 MEDICINE, GENERAL & INTERNAL
Sexual Medicine Pub Date : 2025-09-15 eCollection Date: 2025-08-01 DOI:10.1093/sexmed/qfaf075
Hege Bian, Yuzhong Zhang, Kun Liu
{"title":"Association between estimated glucose disposal rate and testosterone level in US adult men: insights from NHANES 2013-2016.","authors":"Hege Bian, Yuzhong Zhang, Kun Liu","doi":"10.1093/sexmed/qfaf075","DOIUrl":null,"url":null,"abstract":"<p><strong>Background: </strong>Emerging evidence suggests that insulin sensitivity plays a role in testosterone regulation. The estimated glucose disposal rate (eGDR) is a validated metabolic marker reflecting insulin resistance (IR). However, the relationship between eGDR and testosterone levels in adult men remains unclear.</p><p><strong>Aim: </strong>This study aimed to examine the association between eGDR, total testosterone (TT) levels, and testosterone deficiency (TD) risk.</p><p><strong>Methods: </strong>Data from the 2013-2016 National Health and Nutrition Examination Survey (NHANES) were analyzed. Weighted multivariable linear and logistic regression models were used to evaluate the association between eGDR, TT levels, and TD risk (TT <300 ng/dL). A smoothing spline curve fitting approach was applied to assess the shape of the relationship. Subgroup analyses and interaction tests were conducted to explore potential effect modifications. Receiver operating characteristic (ROC) analysis was performed to assess the predictive ability of eGDR for TD.</p><p><strong>Outcomes: </strong>eGDR was calculated using waist circumference (WC), hypertension (HTN), and glycated hemoglobin (HbA1c).</p><p><strong>Results: </strong>A total of 4087 male participants were included in the final analysis. After adjusting for all covariates, higher eGDR was significantly associated with increased TT levels (<i>β</i> = 31.83, 95% CI, 22.13-41.54, <i>P</i> < .001) and a lower risk of TD (OR = 0.68, 95% CI, 0.58-0.80, <i>P</i> = .002). Quartile analysis showed that participants in the highest eGDR quartile (Q4) had significantly higher TT levels than those in Q1 (<i>β</i> = 147.27, 95% CI, 66.99-227.55, <i>P</i> = .02) and a markedly reduced TD risk (OR = 0.20, 95% CI, 0.06-0.70, <i>P</i> = .03). Smoothing spline curve fitting approach confirmed a linear relationship between eGDR and TT levels, as well as an inverse association with TD risk. A significant interaction was observed for diabetes status (<i>P</i> for interaction = .001), indicating a potential modifying effect. ROC analysis demonstrated that eGDR had moderate predictive ability for TD (AUC = 0.6839, 95% CI, 0.6659-0.7019).</p><p><strong>Clinical implications: </strong>eGDR may serve as a useful metabolic marker for identifying individuals at risk of TD.</p><p><strong>Strengths and limitations: </strong>GDR may serve as a valuable metabolic marker for identifying individuals at risk of TD; due to its cross-sectional design, we cannot establish causality between eGDR and testosterone levels.</p><p><strong>Conclusion: </strong>These findings suggest that eGDR is associated with testosterone levels and TD risk in adult men, highlighting the potential metabolic link between insulin sensitivity and testosterone regulation.</p>","PeriodicalId":21782,"journal":{"name":"Sexual Medicine","volume":"13 4","pages":"qfaf075"},"PeriodicalIF":2.0000,"publicationDate":"2025-09-15","publicationTypes":"Journal Article","fieldsOfStudy":null,"isOpenAccess":false,"openAccessPdf":"https://www.ncbi.nlm.nih.gov/pmc/articles/PMC12448460/pdf/","citationCount":"0","resultStr":null,"platform":"Semanticscholar","paperid":null,"PeriodicalName":"Sexual Medicine","FirstCategoryId":"3","ListUrlMain":"https://doi.org/10.1093/sexmed/qfaf075","RegionNum":3,"RegionCategory":"医学","ArticlePicture":[],"TitleCN":null,"AbstractTextCN":null,"PMCID":null,"EPubDate":"2025/8/1 0:00:00","PubModel":"eCollection","JCR":"Q1","JCRName":"MEDICINE, GENERAL & INTERNAL","Score":null,"Total":0}
引用次数: 0

Abstract

Background: Emerging evidence suggests that insulin sensitivity plays a role in testosterone regulation. The estimated glucose disposal rate (eGDR) is a validated metabolic marker reflecting insulin resistance (IR). However, the relationship between eGDR and testosterone levels in adult men remains unclear.

Aim: This study aimed to examine the association between eGDR, total testosterone (TT) levels, and testosterone deficiency (TD) risk.

Methods: Data from the 2013-2016 National Health and Nutrition Examination Survey (NHANES) were analyzed. Weighted multivariable linear and logistic regression models were used to evaluate the association between eGDR, TT levels, and TD risk (TT <300 ng/dL). A smoothing spline curve fitting approach was applied to assess the shape of the relationship. Subgroup analyses and interaction tests were conducted to explore potential effect modifications. Receiver operating characteristic (ROC) analysis was performed to assess the predictive ability of eGDR for TD.

Outcomes: eGDR was calculated using waist circumference (WC), hypertension (HTN), and glycated hemoglobin (HbA1c).

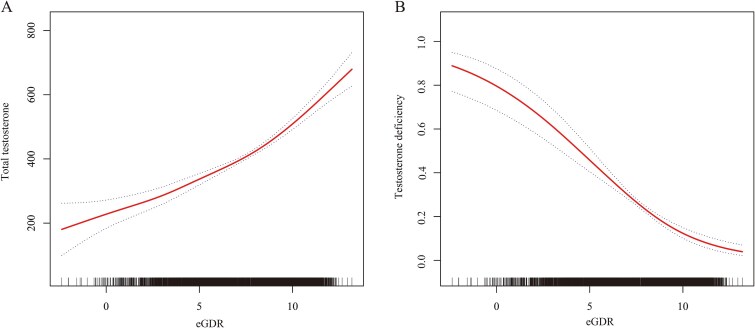
Results: A total of 4087 male participants were included in the final analysis. After adjusting for all covariates, higher eGDR was significantly associated with increased TT levels (β = 31.83, 95% CI, 22.13-41.54, P < .001) and a lower risk of TD (OR = 0.68, 95% CI, 0.58-0.80, P = .002). Quartile analysis showed that participants in the highest eGDR quartile (Q4) had significantly higher TT levels than those in Q1 (β = 147.27, 95% CI, 66.99-227.55, P = .02) and a markedly reduced TD risk (OR = 0.20, 95% CI, 0.06-0.70, P = .03). Smoothing spline curve fitting approach confirmed a linear relationship between eGDR and TT levels, as well as an inverse association with TD risk. A significant interaction was observed for diabetes status (P for interaction = .001), indicating a potential modifying effect. ROC analysis demonstrated that eGDR had moderate predictive ability for TD (AUC = 0.6839, 95% CI, 0.6659-0.7019).

Clinical implications: eGDR may serve as a useful metabolic marker for identifying individuals at risk of TD.

Strengths and limitations: GDR may serve as a valuable metabolic marker for identifying individuals at risk of TD; due to its cross-sectional design, we cannot establish causality between eGDR and testosterone levels.

Conclusion: These findings suggest that eGDR is associated with testosterone levels and TD risk in adult men, highlighting the potential metabolic link between insulin sensitivity and testosterone regulation.

Abstract Image

Abstract Image

Abstract Image

美国成年男性葡萄糖处理率与睾酮水平之间的关系:来自NHANES 2013-2016的见解
背景:越来越多的证据表明胰岛素敏感性在睾酮调节中起作用。估计葡萄糖处置率(eGDR)是反映胰岛素抵抗(IR)的有效代谢指标。然而,成年男性eGDR和睾酮水平之间的关系尚不清楚。目的:本研究旨在探讨eGDR、总睾酮(TT)水平和睾酮缺乏(TD)风险之间的关系。方法:对2013-2016年全国健康与营养检查调查(NHANES)数据进行分析。使用加权多变量线性和逻辑回归模型来评估eGDR、TT水平和TD风险之间的关系(TT结局:eGDR使用腰围(WC)、高血压(HTN)和糖化血红蛋白(HbA1c)计算。结果:最终分析共纳入4087名男性受试者。在调整所有协变量后,较高的eGDR与TT水平升高显著相关(β = 31.83, 95% CI, 22.13-41.54, P = 0.002)。四分位数分析显示,eGDR最高四分位数(Q4)的参与者TT水平显著高于Q1的参与者(β = 147.27, 95% CI, 66.99-227.55, P =。02)和显著降低TD风险(OR = 0.20, 95% CI, 0.06-0.70, P = 0.03)。平滑样条曲线拟合方法证实eGDR与TT水平呈线性关系,与TD风险呈负相关。观察到糖尿病状态有显著的交互作用(交互作用P =。001),表明潜在的修饰作用。ROC分析显示,eGDR对TD有中等预测能力(AUC = 0.6839, 95% CI, 0.6659 ~ 0.7019)。临床意义:eGDR可作为一种有用的代谢标志物,用于识别有TD风险的个体。优势和局限性:GDR可以作为一种有价值的代谢标志物,用于识别有TD风险的个体;由于其横断面设计,我们无法确定eGDR和睾酮水平之间的因果关系。结论:这些发现表明eGDR与成年男性睾酮水平和TD风险相关,强调了胰岛素敏感性和睾酮调节之间潜在的代谢联系。
本文章由计算机程序翻译,如有差异,请以英文原文为准。
求助全文
约1分钟内获得全文 求助全文
来源期刊
Sexual Medicine
Sexual Medicine MEDICINE, GENERAL & INTERNAL-
CiteScore
5.40
自引率
0.00%
发文量
103
审稿时长
22 weeks
期刊介绍: Sexual Medicine is an official publication of the International Society for Sexual Medicine, and serves the field as the peer-reviewed, open access journal for rapid dissemination of multidisciplinary clinical and basic research in all areas of global sexual medicine, and particularly acts as a venue for topics of regional or sub-specialty interest. The journal is focused on issues in clinical medicine and epidemiology but also publishes basic science papers with particular relevance to specific populations. Sexual Medicine offers clinicians and researchers a rapid route to publication and the opportunity to publish in a broadly distributed and highly visible global forum. The journal publishes high quality articles from all over the world and actively seeks submissions from countries with expanding sexual medicine communities. Sexual Medicine relies on the same expert panel of editors and reviewers as The Journal of Sexual Medicine and Sexual Medicine Reviews.
×
引用
GB/T 7714-2015
复制
MLA
复制
APA
复制
导出至
BibTeX EndNote RefMan NoteFirst NoteExpress
×
提示
您的信息不完整,为了账户安全,请先补充。
现在去补充
×
提示
您因"违规操作"
具体请查看互助需知
我知道了
×
提示
确定
请完成安全验证×
copy
已复制链接
快去分享给好友吧!
我知道了
右上角分享
点击右上角分享
0
联系我们:info@booksci.cn Book学术提供免费学术资源搜索服务,方便国内外学者检索中英文文献。致力于提供最便捷和优质的服务体验。 Copyright © 2023 布克学术 All rights reserved.
京ICP备2023020795号-1
ghs 京公网安备 11010802042870号
Book学术文献互助
Book学术文献互助群
群 号:604180095
Book学术官方微信