Neonatal and 3-month cerebrovascular oxygenation, stability, and extraction in congenital heart disease versus control infants.

IF 2 Q3 MEDICINE, RESEARCH & EXPERIMENTAL
Journal of Clinical and Translational Science Pub Date : 2025-07-21 eCollection Date: 2025-01-01 DOI:10.1017/cts.2025.10106
Nhu N Tran, Jodie K Votava-Smith, John C Wood, Joanne Yip, Andrew Pham, Mary-Lynn Brecht, Panteha Hayati Rezvan, Anthony R Colombo, Philippe Friedlich, Ken M Brady, Bradley S Peterson
{"title":"Neonatal and 3-month cerebrovascular oxygenation, stability, and extraction in congenital heart disease versus control infants.","authors":"Nhu N Tran, Jodie K Votava-Smith, John C Wood, Joanne Yip, Andrew Pham, Mary-Lynn Brecht, Panteha Hayati Rezvan, Anthony R Colombo, Philippe Friedlich, Ken M Brady, Bradley S Peterson","doi":"10.1017/cts.2025.10106","DOIUrl":null,"url":null,"abstract":"<p><strong>Objective: </strong>We compared indices for cerebrovascular health (i.e., physiological responses to tilts by measuring regional cerebral oxygenation [rcSO<sub>2</sub>], cerebrovascular stability, and cerebral fractional tissue oxygen extraction [FTOE]) in infants with congenital heart disease (CHD) versus healthy controls (HC) at neonatal and 3-month ages.</p><p><strong>Study design: </strong>Our cohort study included 101 neonates (52 CHD, 49 HC) and 108 infants at 3-months (45 CHD, 63 HC). We used an innovative and replicable evaluation tool to noninvasively and rapidly measure indices of cerebrovascular health. Changes in near infrared spectroscopy measures of rcSO<sub>2</sub> after tilting (from supine to sitting, ∼150 values) assessed cerebrovascular stability. Mixed-effects regression models examined rcSO<sub>2</sub> and FTOE differences between groups, and group-by-posture interactions, adjusting for postconceptional age, sex, ethnicity, and preductal systemic oxygenation (SpO<sub>2</sub>) at both ages.</p><p><strong>Results: </strong>Infants with CHD had significantly lower rcSO<sub>2</sub> (13% at neonatal and 11% at 3-months, both <i>p</i> < 0.001), increased FTOE (∼0.14 points higher at neonatal and ∼ 0.09 points at 3-months, both <i>p</i> < 0.001), and reduced cerebrovascular stability compared with HC at both ages (both <i>p</i> < 0.001).</p><p><strong>Conclusions: </strong>CHD infants had persistently poorer indices of cerebrovascular health (i.e., lower rcSO<sub>2</sub>, increased FTOE, and reduced cerebrovascular stability) through the 3-month age compared to controls. Sustained cerebral hypoxia, reduced cerebrovascular stability, and increased FTOE may contribute to neurodevelopmental delays (NDDs) and could serve as early biomarkers for identifying infants at higher risk for NDD.</p>","PeriodicalId":15529,"journal":{"name":"Journal of Clinical and Translational Science","volume":"9 1","pages":"e175"},"PeriodicalIF":2.0000,"publicationDate":"2025-07-21","publicationTypes":"Journal Article","fieldsOfStudy":null,"isOpenAccess":false,"openAccessPdf":"https://www.ncbi.nlm.nih.gov/pmc/articles/PMC12444710/pdf/","citationCount":"0","resultStr":null,"platform":"Semanticscholar","paperid":null,"PeriodicalName":"Journal of Clinical and Translational Science","FirstCategoryId":"1085","ListUrlMain":"https://doi.org/10.1017/cts.2025.10106","RegionNum":0,"RegionCategory":null,"ArticlePicture":[],"TitleCN":null,"AbstractTextCN":null,"PMCID":null,"EPubDate":"2025/1/1 0:00:00","PubModel":"eCollection","JCR":"Q3","JCRName":"MEDICINE, RESEARCH & EXPERIMENTAL","Score":null,"Total":0}
引用次数: 0

Abstract

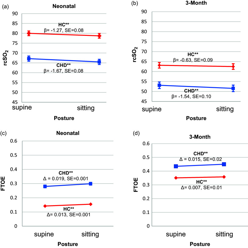
Objective: We compared indices for cerebrovascular health (i.e., physiological responses to tilts by measuring regional cerebral oxygenation [rcSO2], cerebrovascular stability, and cerebral fractional tissue oxygen extraction [FTOE]) in infants with congenital heart disease (CHD) versus healthy controls (HC) at neonatal and 3-month ages.

Study design: Our cohort study included 101 neonates (52 CHD, 49 HC) and 108 infants at 3-months (45 CHD, 63 HC). We used an innovative and replicable evaluation tool to noninvasively and rapidly measure indices of cerebrovascular health. Changes in near infrared spectroscopy measures of rcSO2 after tilting (from supine to sitting, ∼150 values) assessed cerebrovascular stability. Mixed-effects regression models examined rcSO2 and FTOE differences between groups, and group-by-posture interactions, adjusting for postconceptional age, sex, ethnicity, and preductal systemic oxygenation (SpO2) at both ages.

Results: Infants with CHD had significantly lower rcSO2 (13% at neonatal and 11% at 3-months, both p < 0.001), increased FTOE (∼0.14 points higher at neonatal and ∼ 0.09 points at 3-months, both p < 0.001), and reduced cerebrovascular stability compared with HC at both ages (both p < 0.001).

Conclusions: CHD infants had persistently poorer indices of cerebrovascular health (i.e., lower rcSO2, increased FTOE, and reduced cerebrovascular stability) through the 3-month age compared to controls. Sustained cerebral hypoxia, reduced cerebrovascular stability, and increased FTOE may contribute to neurodevelopmental delays (NDDs) and could serve as early biomarkers for identifying infants at higher risk for NDD.

Abstract Image

Abstract Image

Abstract Image

新生儿和3个月大的先天性心脏病患儿的脑血管氧合、稳定性和摘除。
目的:比较新生儿和3月龄先天性心脏病(CHD)婴儿与健康对照组(HC)的脑血管健康指标(即通过测量局部脑氧合[rcSO2]、脑血管稳定性和脑组织分数氧提取[FTOE]对倾斜的生理反应)。研究设计:我们的队列研究包括101例新生儿(52例冠心病,49例HC)和108例3月龄婴儿(45例冠心病,63例HC)。我们使用了一种创新的、可复制的评估工具来无创、快速地测量脑血管健康指标。倾斜(从仰卧位到坐位,约150值)后近红外光谱测量rcSO2的变化评估脑血管稳定性。混合效应回归模型检验了各组之间rcSO2和FTOE的差异,以及组与姿势的相互作用,调整了两个年龄段的受孕后年龄、性别、种族和生产系统氧合(SpO2)。结果:CHD婴儿的rcSO2显著降低(新生儿时为13%,3个月时为11%,均p < 0.001), FTOE升高(新生儿时为0.14点,3个月时为0.09点,均p < 0.001),两个年龄与HC相比脑血管稳定性降低(均p < 0.001)。结论:与对照组相比,冠心病婴儿在3个月大时脑血管健康指标持续较差(即rcSO2较低,FTOE升高,脑血管稳定性降低)。持续的脑缺氧、脑血管稳定性降低和FTOE增加可能导致神经发育迟缓(NDD),可以作为识别NDD高风险婴儿的早期生物标志物。
本文章由计算机程序翻译,如有差异,请以英文原文为准。
求助全文
约1分钟内获得全文 求助全文
来源期刊
Journal of Clinical and Translational Science
Journal of Clinical and Translational Science MEDICINE, RESEARCH & EXPERIMENTAL-
CiteScore
2.80
自引率
26.90%
发文量
437
审稿时长
18 weeks
×
引用
GB/T 7714-2015
复制
MLA
复制
APA
复制
导出至
BibTeX EndNote RefMan NoteFirst NoteExpress
×
提示
您的信息不完整,为了账户安全,请先补充。
现在去补充
×
提示
您因"违规操作"
具体请查看互助需知
我知道了
×
提示
确定
请完成安全验证×
copy
已复制链接
快去分享给好友吧!
我知道了
右上角分享
点击右上角分享
0
联系我们:info@booksci.cn Book学术提供免费学术资源搜索服务,方便国内外学者检索中英文文献。致力于提供最便捷和优质的服务体验。 Copyright © 2023 布克学术 All rights reserved.
京ICP备2023020795号-1
ghs 京公网安备 11010802042870号
Book学术文献互助
Book学术文献互助群
群 号:604180095
Book学术官方微信