Development of a Machine-Learning Immuno-Serologic Diagnostic Model for Non-Neutropenic Invasive Pulmonary Fungal Disease.

IF 2.9 3区 医学 Q2 INFECTIOUS DISEASES
Infection and Drug Resistance Pub Date : 2025-09-15 eCollection Date: 2025-01-01 DOI:10.2147/IDR.S544469
Hui Huang, Fang Fang, Weiguo Lu, Zhihui Liu, Junyuan Huang
{"title":"Development of a Machine-Learning Immuno-Serologic Diagnostic Model for Non-Neutropenic Invasive Pulmonary Fungal Disease.","authors":"Hui Huang, Fang Fang, Weiguo Lu, Zhihui Liu, Junyuan Huang","doi":"10.2147/IDR.S544469","DOIUrl":null,"url":null,"abstract":"<p><strong>Background: </strong>Non-neutropenic invasive pulmonary fungal disease (IPFD) is increasingly recognized but remains challenging to diagnose due to nonspecific clinical and radiological features. This retrospective, single-center study was conducted at the First Affiliated Hospital of Guangzhou University of Chinese Medicine and aimed to develop and evaluate a diagnostic model based on immuno-Serologic biomarkers for distinguishing non-neutropenic IPFD from bacterial pneumonia.</p><p><strong>Methods: </strong>A total of 157 pneumonia patients (65 non-neutropenic IPFD cases and 92 bacterial pneumonia cases) admitted to the First Affiliated Hospital of Guangzhou University of Chinese Medicine between April 2018 and December 2022 were enrolled. Least Absolute Shrinkage and Selection Operator (LASSO) regression and collinearity analysis were applied to screen key variables, followed by the development of diagnostic models using nine machine learning algorithms. Model performance was comprehensively evaluated, and temporal validation in an independent later cohort from the same center was conducted using data from 102 pneumonia patients (33 non-neutropenic IPFD and 69 bacterial pneumonia cases) admitted between January 2023 and March 2025.</p><p><strong>Results: </strong>Five biomarkers were identified as predictors: galactomannan (GM), monocyte human leukocyte antigen-DR expression (mHLA-DR), monocyte count, interleukin-6 (IL-6), and 1,3-β-D-glucan (BDG). The Light Gradient Boosting Machine (LightGBM) model demonstrated optimal performance in the validation set, with an area under the receiver operating characteristic curve (AUC) of 0.865 (95% CI: 0.728-0.999) and accuracy of 0.781. In the test set, the model achieved an AUC of 0.810 and accuracy of 0.750. Decision curve analysis (DCA) indicated favorable net benefits across probability thresholds of 0-1. Temporal validation yielded an AUC of 0.821 and accuracy of 0.794.</p><p><strong>Conclusion: </strong>The immuno-serologic diagnostic model exhibits strong discriminatory performance in differentiating bacterial pneumonia from non-neutropenic IPFD, highlighting its potential for clinical application.</p>","PeriodicalId":13577,"journal":{"name":"Infection and Drug Resistance","volume":"18 ","pages":"4941-4952"},"PeriodicalIF":2.9000,"publicationDate":"2025-09-15","publicationTypes":"Journal Article","fieldsOfStudy":null,"isOpenAccess":false,"openAccessPdf":"https://www.ncbi.nlm.nih.gov/pmc/articles/PMC12449272/pdf/","citationCount":"0","resultStr":null,"platform":"Semanticscholar","paperid":null,"PeriodicalName":"Infection and Drug Resistance","FirstCategoryId":"3","ListUrlMain":"https://doi.org/10.2147/IDR.S544469","RegionNum":3,"RegionCategory":"医学","ArticlePicture":[],"TitleCN":null,"AbstractTextCN":null,"PMCID":null,"EPubDate":"2025/1/1 0:00:00","PubModel":"eCollection","JCR":"Q2","JCRName":"INFECTIOUS DISEASES","Score":null,"Total":0}
引用次数: 0

Abstract

Background: Non-neutropenic invasive pulmonary fungal disease (IPFD) is increasingly recognized but remains challenging to diagnose due to nonspecific clinical and radiological features. This retrospective, single-center study was conducted at the First Affiliated Hospital of Guangzhou University of Chinese Medicine and aimed to develop and evaluate a diagnostic model based on immuno-Serologic biomarkers for distinguishing non-neutropenic IPFD from bacterial pneumonia.

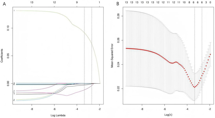
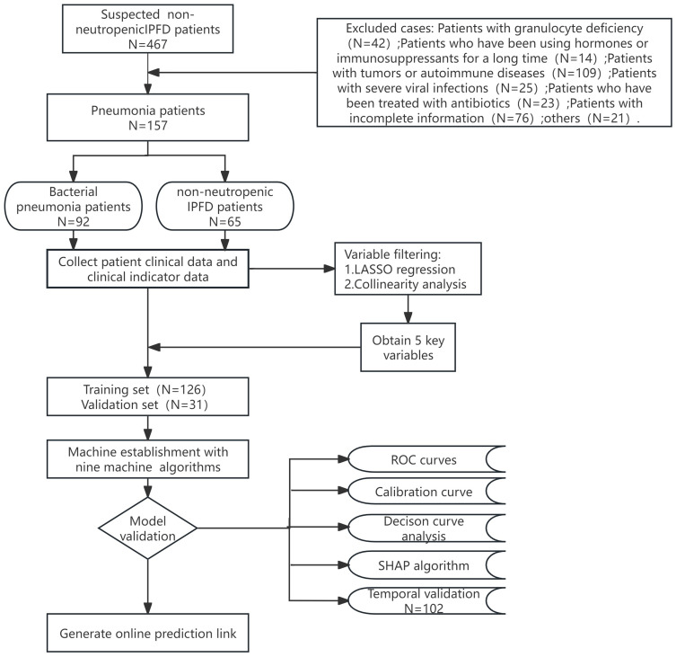
Methods: A total of 157 pneumonia patients (65 non-neutropenic IPFD cases and 92 bacterial pneumonia cases) admitted to the First Affiliated Hospital of Guangzhou University of Chinese Medicine between April 2018 and December 2022 were enrolled. Least Absolute Shrinkage and Selection Operator (LASSO) regression and collinearity analysis were applied to screen key variables, followed by the development of diagnostic models using nine machine learning algorithms. Model performance was comprehensively evaluated, and temporal validation in an independent later cohort from the same center was conducted using data from 102 pneumonia patients (33 non-neutropenic IPFD and 69 bacterial pneumonia cases) admitted between January 2023 and March 2025.

Results: Five biomarkers were identified as predictors: galactomannan (GM), monocyte human leukocyte antigen-DR expression (mHLA-DR), monocyte count, interleukin-6 (IL-6), and 1,3-β-D-glucan (BDG). The Light Gradient Boosting Machine (LightGBM) model demonstrated optimal performance in the validation set, with an area under the receiver operating characteristic curve (AUC) of 0.865 (95% CI: 0.728-0.999) and accuracy of 0.781. In the test set, the model achieved an AUC of 0.810 and accuracy of 0.750. Decision curve analysis (DCA) indicated favorable net benefits across probability thresholds of 0-1. Temporal validation yielded an AUC of 0.821 and accuracy of 0.794.

Conclusion: The immuno-serologic diagnostic model exhibits strong discriminatory performance in differentiating bacterial pneumonia from non-neutropenic IPFD, highlighting its potential for clinical application.

Abstract Image

Abstract Image

Abstract Image

非中性粒细胞减少侵袭性肺部真菌病机器学习免疫血清学诊断模型的建立。
背景:非中性粒细胞减少性侵袭性肺真菌病(IPFD)越来越被认识到,但由于其非特异性的临床和影像学特征,诊断仍然具有挑战性。这项回顾性、单中心研究在广州中医药大学第一附属医院进行,旨在建立和评估基于免疫血清学生物标志物的诊断模型,以区分非中性粒细胞减少性IPFD和细菌性肺炎。方法:选取2018年4月至2022年12月广州中医药大学第一附属医院收治的157例肺炎患者(非中性粒细胞减少性IPFD 65例,细菌性肺炎92例)。最小绝对收缩和选择算子(LASSO)回归和共线性分析应用于筛选关键变量,随后使用9种机器学习算法开发诊断模型。对模型的性能进行了综合评估,并利用2023年1月至2025年3月收治的102例肺炎患者(33例非中性粒细胞减少性IPFD和69例细菌性肺炎)的数据,对来自同一中心的独立后续队列进行了时间验证。结果:五种生物标志物被确定为预测因子:半乳甘露聚糖(GM)、单核细胞人白细胞抗原- dr表达(mHLA-DR)、单核细胞计数、白细胞介素-6 (IL-6)和1,3-β- d -葡聚糖(BDG)。光梯度增强机(Light Gradient Boosting Machine, LightGBM)模型在验证集中表现出最优的性能,接收者工作特征曲线下面积(AUC)为0.865 (95% CI: 0.728-0.999),准确率为0.781。在测试集中,该模型的AUC为0.810,准确率为0.750。决策曲线分析(DCA)表明,在0-1的概率阈值上,有利的净效益。时间验证的AUC为0.821,准确度为0.794。结论:免疫血清学诊断模型对细菌性肺炎和非中性粒细胞减少性IPFD具有较强的鉴别能力,具有临床应用价值。
本文章由计算机程序翻译,如有差异,请以英文原文为准。
求助全文
约1分钟内获得全文 求助全文
来源期刊
Infection and Drug Resistance
Infection and Drug Resistance Medicine-Pharmacology (medical)
CiteScore
5.60
自引率
7.70%
发文量
826
审稿时长
16 weeks
期刊介绍: About Journal Editors Peer Reviewers Articles Article Publishing Charges Aims and Scope Call For Papers ISSN: 1178-6973 Editor-in-Chief: Professor Suresh Antony An international, peer-reviewed, open access journal that focuses on the optimal treatment of infection (bacterial, fungal and viral) and the development and institution of preventative strategies to minimize the development and spread of resistance.
×
引用
GB/T 7714-2015
复制
MLA
复制
APA
复制
导出至
BibTeX EndNote RefMan NoteFirst NoteExpress
×
提示
您的信息不完整,为了账户安全,请先补充。
现在去补充
×
提示
您因"违规操作"
具体请查看互助需知
我知道了
×
提示
确定
请完成安全验证×
copy
已复制链接
快去分享给好友吧!
我知道了
右上角分享
点击右上角分享
0
联系我们:info@booksci.cn Book学术提供免费学术资源搜索服务,方便国内外学者检索中英文文献。致力于提供最便捷和优质的服务体验。 Copyright © 2023 布克学术 All rights reserved.
京ICP备2023020795号-1
ghs 京公网安备 11010802042870号
Book学术文献互助
Book学术文献互助群
群 号:604180095
Book学术官方微信