Variations in bacterial profiles associated with semen collection timing and bull breed, analyzed using 16S rRNA sequencing and MALDI-TOF MS.

IF 2.9 2区 农林科学 Q1 VETERINARY SCIENCES
Frontiers in Veterinary Science Pub Date : 2025-09-05 eCollection Date: 2025-01-01 DOI:10.3389/fvets.2025.1583136
Aleksandar Cojkic, Adnan Niazi, Ingrid Hansson, Jane M Morrell
{"title":"Variations in bacterial profiles associated with semen collection timing and bull breed, analyzed using 16S rRNA sequencing and MALDI-TOF MS.","authors":"Aleksandar Cojkic, Adnan Niazi, Ingrid Hansson, Jane M Morrell","doi":"10.3389/fvets.2025.1583136","DOIUrl":null,"url":null,"abstract":"<p><strong>Introduction: </strong>Bacterial contamination can occur at multiple stages of semen processing, necessitating the use of antibiotics in bull semen preservation, mandated by regulatory guidelines. To manage antimicrobial resistance (AMR), targeted antibiotic use based on bacterial identification is essential. This study aimed to characterize bacterial communities in bull semen using metagenomic analysis and MALDI-TOF MS across different semen collection times from the same bulls and between two breeds.</p><p><strong>Methods: </strong>Semen samples were collected from 20 dairy bulls (8 Viking Holstein and 12 Viking Red). Each bull provided three ejaculates within a week: the first after a 96 h since previous collection (T1), the second 48 h later (T2), and the third 24 h after the second (T3). Bacterial species were identified through culturing on cattle blood agar, followed by MALDI-TOF MS identification. Additionally, 16S rRNA sequencing was performed to determine bacterial diversity after DNA extraction.</p><p><strong>Results: </strong>MALDI-TOF analysis identified 33 bacterial species across 60 semen samples. Six species were exclusive to Viking Holstein (VH) bulls, while 12 were specific to Viking Red (VR) bulls. Certain bacterial species were present only at specific time points: three in the first ejaculate, seven in the second, and five in the third. Across individual bulls, <i>Bacillus</i> spp., <i>Proteus</i> spp., and <i>Staphylococcus</i> spp. were the most consistently detected. Metagenomic analysis revealed 23 phyla and 402 genera in semen samples. Alpha diversity (Shannon index) showed a trend toward <i>p</i> = 0.07 across the bull samples, while beta diversity significantly differed between breeds, with VH samples forming a distinct cluster and VR samples displaying greater microbiome variability. Additionally, specific genera appeared only at one collection time point: <i>Bacteroides, Serratia, Pantoea</i> at T1, <i>Wolbachia, Prevotella, Peptococcus, Alloprevotella</i> at T2, and <i>Streptococcus, Staphylococcus</i>, and <i>Mycoplasma</i> at T3. Specific genera, <i>Acidocella</i> and <i>Escherichia</i>, exhibited negative correlations with most bacterial taxa but showed a slight positive correlation with each other; while <i>Acidocella</i> was detected in nearly all semen samples, except for two samples.</p><p><strong>Discussion: </strong>The seminal microbiota of bulls varies over time and differs between breeds, indicating that it is influenced by a complex interaction of environmental, physiological, and host-related factors.</p>","PeriodicalId":12772,"journal":{"name":"Frontiers in Veterinary Science","volume":"12 ","pages":"1583136"},"PeriodicalIF":2.9000,"publicationDate":"2025-09-05","publicationTypes":"Journal Article","fieldsOfStudy":null,"isOpenAccess":false,"openAccessPdf":"https://www.ncbi.nlm.nih.gov/pmc/articles/PMC12447730/pdf/","citationCount":"0","resultStr":null,"platform":"Semanticscholar","paperid":null,"PeriodicalName":"Frontiers in Veterinary Science","FirstCategoryId":"97","ListUrlMain":"https://doi.org/10.3389/fvets.2025.1583136","RegionNum":2,"RegionCategory":"农林科学","ArticlePicture":[],"TitleCN":null,"AbstractTextCN":null,"PMCID":null,"EPubDate":"2025/1/1 0:00:00","PubModel":"eCollection","JCR":"Q1","JCRName":"VETERINARY SCIENCES","Score":null,"Total":0}
引用次数: 0

Abstract

Introduction: Bacterial contamination can occur at multiple stages of semen processing, necessitating the use of antibiotics in bull semen preservation, mandated by regulatory guidelines. To manage antimicrobial resistance (AMR), targeted antibiotic use based on bacterial identification is essential. This study aimed to characterize bacterial communities in bull semen using metagenomic analysis and MALDI-TOF MS across different semen collection times from the same bulls and between two breeds.

Methods: Semen samples were collected from 20 dairy bulls (8 Viking Holstein and 12 Viking Red). Each bull provided three ejaculates within a week: the first after a 96 h since previous collection (T1), the second 48 h later (T2), and the third 24 h after the second (T3). Bacterial species were identified through culturing on cattle blood agar, followed by MALDI-TOF MS identification. Additionally, 16S rRNA sequencing was performed to determine bacterial diversity after DNA extraction.

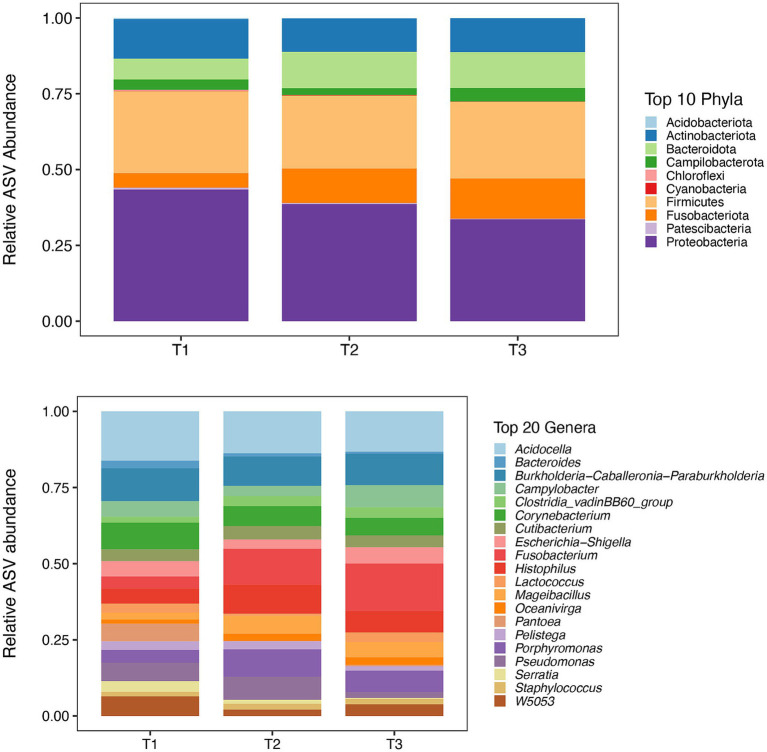
Results: MALDI-TOF analysis identified 33 bacterial species across 60 semen samples. Six species were exclusive to Viking Holstein (VH) bulls, while 12 were specific to Viking Red (VR) bulls. Certain bacterial species were present only at specific time points: three in the first ejaculate, seven in the second, and five in the third. Across individual bulls, Bacillus spp., Proteus spp., and Staphylococcus spp. were the most consistently detected. Metagenomic analysis revealed 23 phyla and 402 genera in semen samples. Alpha diversity (Shannon index) showed a trend toward p = 0.07 across the bull samples, while beta diversity significantly differed between breeds, with VH samples forming a distinct cluster and VR samples displaying greater microbiome variability. Additionally, specific genera appeared only at one collection time point: Bacteroides, Serratia, Pantoea at T1, Wolbachia, Prevotella, Peptococcus, Alloprevotella at T2, and Streptococcus, Staphylococcus, and Mycoplasma at T3. Specific genera, Acidocella and Escherichia, exhibited negative correlations with most bacterial taxa but showed a slight positive correlation with each other; while Acidocella was detected in nearly all semen samples, except for two samples.

Discussion: The seminal microbiota of bulls varies over time and differs between breeds, indicating that it is influenced by a complex interaction of environmental, physiological, and host-related factors.

Abstract Image

Abstract Image

Abstract Image

利用16S rRNA测序和MALDI-TOF质谱分析了与精液采集时间和公牛品种相关的细菌谱变化。
导言:细菌污染可能发生在精液处理的多个阶段,需要在公牛精液保存中使用抗生素,这是监管指南的强制要求。为了控制抗菌素耐药性,必须根据细菌鉴定有针对性地使用抗生素。本研究旨在利用宏基因组分析和MALDI-TOF质谱技术,对同一种公牛和两个品种的不同精液采集时间的公牛精液中的细菌群落进行表征。方法:采集20头奶牛(8头维京荷斯坦,12头维京红)的精液样本。每头公牛在一周内提供三次射精:第一次是在上一次收集后96小时后(T1),第二次是在48 小时后(T2),第三次是在第二次收集后24 小时(T3)。在牛血琼脂培养基上进行菌种鉴定,并进行MALDI-TOF质谱鉴定。此外,进行16S rRNA测序以确定DNA提取后的细菌多样性。结果:MALDI-TOF分析在60份精液样本中鉴定出33种细菌。6种是维京荷斯坦(VH)公牛所独有的,而12种是维京红(VR)公牛所特有的。某些细菌只在特定的时间点出现:第一次射精时有3种,第二次有7种,第三次有5种。在个体公牛中,芽孢杆菌、变形杆菌和葡萄球菌的检出率最高。元基因组分析显示,精液样本中有23门402属。α多样性(Shannon指数)在公牛样品中呈p = 0.07的趋势,而β多样性在品种之间存在显著差异,VH样品形成明显的集群,VR样品表现出较大的微生物组变异性。此外,特定属仅在一个采集时间点出现:T1时出现拟杆菌属、沙雷氏菌属、泛菌属,T2时出现沃尔巴克氏菌属、普雷沃氏菌属、胃球菌属、异普雷沃氏菌属,T3时出现链球菌属、葡萄球菌属和支原体。酸性菌属(Acidocella)和埃希氏菌属(Escherichia)与大多数细菌类群呈负相关,但与其他细菌类群呈微正相关;而除了两个样本外,几乎在所有精液样本中都检测到酸梭菌。讨论:公牛的精液微生物群随时间和品种的不同而变化,表明它受到环境、生理和宿主相关因素的复杂相互作用的影响。
本文章由计算机程序翻译,如有差异,请以英文原文为准。
求助全文
约1分钟内获得全文 求助全文
来源期刊
Frontiers in Veterinary Science
Frontiers in Veterinary Science Veterinary-General Veterinary
CiteScore
4.80
自引率
9.40%
发文量
1870
审稿时长
14 weeks
期刊介绍: Frontiers in Veterinary Science is a global, peer-reviewed, Open Access journal that bridges animal and human health, brings a comparative approach to medical and surgical challenges, and advances innovative biotechnology and therapy. Veterinary research today is interdisciplinary, collaborative, and socially relevant, transforming how we understand and investigate animal health and disease. Fundamental research in emerging infectious diseases, predictive genomics, stem cell therapy, and translational modelling is grounded within the integrative social context of public and environmental health, wildlife conservation, novel biomarkers, societal well-being, and cutting-edge clinical practice and specialization. Frontiers in Veterinary Science brings a 21st-century approach—networked, collaborative, and Open Access—to communicate this progress and innovation to both the specialist and to the wider audience of readers in the field. Frontiers in Veterinary Science publishes articles on outstanding discoveries across a wide spectrum of translational, foundational, and clinical research. The journal''s mission is to bring all relevant veterinary sciences together on a single platform with the goal of improving animal and human health.
×
引用
GB/T 7714-2015
复制
MLA
复制
APA
复制
导出至
BibTeX EndNote RefMan NoteFirst NoteExpress
×
提示
您的信息不完整,为了账户安全,请先补充。
现在去补充
×
提示
您因"违规操作"
具体请查看互助需知
我知道了
×
提示
确定
请完成安全验证×
copy
已复制链接
快去分享给好友吧!
我知道了
右上角分享
点击右上角分享
0
联系我们:info@booksci.cn Book学术提供免费学术资源搜索服务,方便国内外学者检索中英文文献。致力于提供最便捷和优质的服务体验。 Copyright © 2023 布克学术 All rights reserved.
京ICP备2023020795号-1
ghs 京公网安备 11010802042870号
Book学术文献互助
Book学术文献互助群
群 号:604180095
Book学术官方微信