Obeticholic acid prevents cyclophosphamide-induced placental injury via SIRT1 and TLR4/NF-κB pathways.

IF 2.7 3区 医学 Q2 PHARMACOLOGY & PHARMACY
Walaa Yehia Abdelzaher, Hanaa Mohamed Khalaf, Sara M Ahmed, Mina Ezzat Attya, Abdelaleem Abdelnour Mohamed, Asmaa Mohamed Mahmoud Ali, Shereen S Gaber, Ahmed K A Abdel-Hakeem, Enas Mostafa Mohammed, Marwa Hassan
{"title":"Obeticholic acid prevents cyclophosphamide-induced placental injury via SIRT1 and TLR4/NF-κB pathways.","authors":"Walaa Yehia Abdelzaher, Hanaa Mohamed Khalaf, Sara M Ahmed, Mina Ezzat Attya, Abdelaleem Abdelnour Mohamed, Asmaa Mohamed Mahmoud Ali, Shereen S Gaber, Ahmed K A Abdel-Hakeem, Enas Mostafa Mohammed, Marwa Hassan","doi":"10.1186/s40360-025-00986-0","DOIUrl":null,"url":null,"abstract":"<p><strong>Background: </strong>The aim of the current study is to identify the possible protective effect of obeticholic acid (OCA) on placental injury caused by cyclophosphamide (CP). OCA was administered in the presence and absence of CP.</p><p><strong>Methods: </strong>Thirty-two pregnant female rats were randomly assigned to four groups: control group, OCA group: received OCA (10 mg/kg /day, orally), CP group: received CP 20 mg/kg intraperitoneally at 12th day, OCA + CP group. Placental weight and placental growth factor (PlGF) were measured. Placental oxidative stress parameters (malondialdahide (MDA) and total antioxidant capacity (TAC)), besides Sirtuin type 1 (SIRT1), nuclear factor erythroid 2-related factor 2 (Nrf2), myeloid differentiation factor 88 (Myd88) and caspase-3 biomarkers, were evaluated. Nuclear factor-kappa B (NF-κB) and tumor necrosis factor-alpha (TNF-α) gene expression were also measured. Placental histopathological examination, toll- like receptor4 (TLR4) and forkhead-box transcription factor1 (FOXO1) immunohistochemical study were performed.</p><p><strong>Results: </strong>CP significantly decreased PlGF, placental weight, TAC, SIRT1 and Nrf2 with increased placental MDA, Myd88, caspase-3, NF-κB and TNF-α. Histopathological findings of placental damage and high TLR4, FOXO1 immunoexpressions were detected. OCA significantly increased PlGF level, placental weight and normalized the distributed oxidative stress, inflammatory, and apoptotic biomarkers with a prompt improvement in the histopathological picture and decrease TLR4 and FOXO1 immunoexpressions.</p><p><strong>Conclusion: </strong>Accordingly, these findings suggest that OCA protects CP-induced placental injury by modulating TLR4/Myd88/NF-κB; SIRT1-dependant signaling pathways.</p>","PeriodicalId":9023,"journal":{"name":"BMC Pharmacology & Toxicology","volume":"26 1","pages":"156"},"PeriodicalIF":2.7000,"publicationDate":"2025-09-19","publicationTypes":"Journal Article","fieldsOfStudy":null,"isOpenAccess":false,"openAccessPdf":"https://www.ncbi.nlm.nih.gov/pmc/articles/PMC12449799/pdf/","citationCount":"0","resultStr":null,"platform":"Semanticscholar","paperid":null,"PeriodicalName":"BMC Pharmacology & Toxicology","FirstCategoryId":"3","ListUrlMain":"https://doi.org/10.1186/s40360-025-00986-0","RegionNum":3,"RegionCategory":"医学","ArticlePicture":[],"TitleCN":null,"AbstractTextCN":null,"PMCID":null,"EPubDate":"","PubModel":"","JCR":"Q2","JCRName":"PHARMACOLOGY & PHARMACY","Score":null,"Total":0}
引用次数: 0

Abstract

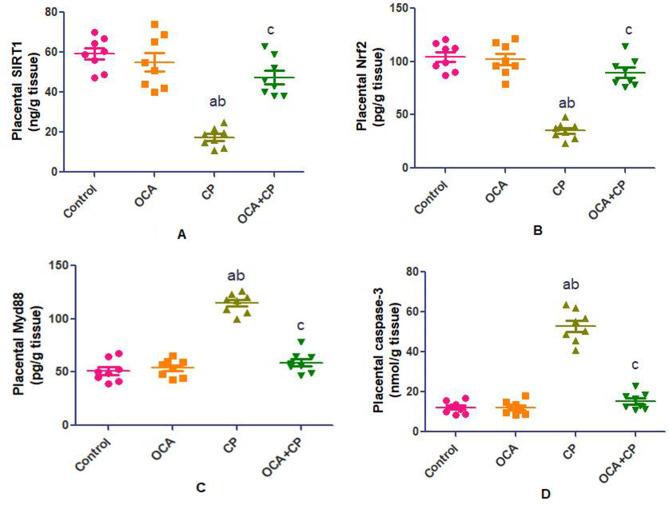
Background: The aim of the current study is to identify the possible protective effect of obeticholic acid (OCA) on placental injury caused by cyclophosphamide (CP). OCA was administered in the presence and absence of CP.

Methods: Thirty-two pregnant female rats were randomly assigned to four groups: control group, OCA group: received OCA (10 mg/kg /day, orally), CP group: received CP 20 mg/kg intraperitoneally at 12th day, OCA + CP group. Placental weight and placental growth factor (PlGF) were measured. Placental oxidative stress parameters (malondialdahide (MDA) and total antioxidant capacity (TAC)), besides Sirtuin type 1 (SIRT1), nuclear factor erythroid 2-related factor 2 (Nrf2), myeloid differentiation factor 88 (Myd88) and caspase-3 biomarkers, were evaluated. Nuclear factor-kappa B (NF-κB) and tumor necrosis factor-alpha (TNF-α) gene expression were also measured. Placental histopathological examination, toll- like receptor4 (TLR4) and forkhead-box transcription factor1 (FOXO1) immunohistochemical study were performed.

Results: CP significantly decreased PlGF, placental weight, TAC, SIRT1 and Nrf2 with increased placental MDA, Myd88, caspase-3, NF-κB and TNF-α. Histopathological findings of placental damage and high TLR4, FOXO1 immunoexpressions were detected. OCA significantly increased PlGF level, placental weight and normalized the distributed oxidative stress, inflammatory, and apoptotic biomarkers with a prompt improvement in the histopathological picture and decrease TLR4 and FOXO1 immunoexpressions.

Conclusion: Accordingly, these findings suggest that OCA protects CP-induced placental injury by modulating TLR4/Myd88/NF-κB; SIRT1-dependant signaling pathways.

Abstract Image

Abstract Image

Abstract Image

奥贝胆酸通过SIRT1和TLR4/NF-κB途径预防环磷酰胺诱导的胎盘损伤。
背景:本研究的目的是确定奥贝胆酸(OCA)对环磷酰胺(CP)所致胎盘损伤的可能保护作用。方法:将32只怀孕雌性大鼠随机分为4组:对照组,OCA组:口服OCA (10 mg/kg /d,口服),CP组:第12天腹腔注射CP 20 mg/kg, OCA + CP组。测定胎盘重量和胎盘生长因子(PlGF)。评估胎盘氧化应激参数(丙二醛(MDA)和总抗氧化能力(TAC),以及Sirtuin 1型(SIRT1)、核因子红细胞2相关因子2 (Nrf2)、髓样分化因子88 (Myd88)和caspase-3生物标志物。检测核因子-κB (NF-κB)和肿瘤坏死因子-α (TNF-α)基因表达。进行胎盘组织病理学检查、toll样受体4 (TLR4)和叉状盒转录因子1 (FOXO1)免疫组化研究。结果:CP显著降低PlGF、胎盘重量、TAC、SIRT1、Nrf2,升高胎盘MDA、Myd88、caspase-3、NF-κB、TNF-α。组织病理学结果显示胎盘损伤,TLR4、FOXO1免疫表达高。OCA显著提高PlGF水平、胎盘重量,使氧化应激、炎症和凋亡生物标志物的分布正常化,组织病理图像迅速改善,TLR4和FOXO1免疫表达降低。结论:OCA通过调节TLR4/Myd88/NF-κB对cp诱导的胎盘损伤具有保护作用;sirt1依赖性信号通路。
本文章由计算机程序翻译,如有差异,请以英文原文为准。
求助全文
约1分钟内获得全文 求助全文
来源期刊
BMC Pharmacology & Toxicology
BMC Pharmacology & Toxicology PHARMACOLOGY & PHARMACYTOXICOLOGY&nb-TOXICOLOGY
CiteScore
4.80
自引率
0.00%
发文量
87
审稿时长
12 weeks
期刊介绍: BMC Pharmacology and Toxicology is an open access, peer-reviewed journal that considers articles on all aspects of chemically defined therapeutic and toxic agents. The journal welcomes submissions from all fields of experimental and clinical pharmacology including clinical trials and toxicology.
×
引用
GB/T 7714-2015
复制
MLA
复制
APA
复制
导出至
BibTeX EndNote RefMan NoteFirst NoteExpress
×
提示
您的信息不完整,为了账户安全,请先补充。
现在去补充
×
提示
您因"违规操作"
具体请查看互助需知
我知道了
×
提示
确定
请完成安全验证×
copy
已复制链接
快去分享给好友吧!
我知道了
右上角分享
点击右上角分享
0
联系我们:info@booksci.cn Book学术提供免费学术资源搜索服务,方便国内外学者检索中英文文献。致力于提供最便捷和优质的服务体验。 Copyright © 2023 布克学术 All rights reserved.
京ICP备2023020795号-1
ghs 京公网安备 11010802042870号
Book学术文献互助
Book学术文献互助群
群 号:604180095
Book学术官方微信