Melatonin and Cortisol Concentration Before and After CPAP Treatment of Obstructive Sleep Apnea.

IF 3.4 2区 医学 Q2 CLINICAL NEUROLOGY
Nature and Science of Sleep Pub Date : 2025-09-13 eCollection Date: 2025-01-01 DOI:10.2147/NSS.S553499
Khue Bui-Diem, Nguyen Van Tho, Thu Nguyen-Binh, Quynh Doan-Truc, Hoang Kim Tu Trinh, Diem D K Truong, Kieu-Minh Le, Lam Phung Khanh, Sy Duong-Quy
{"title":"Melatonin and Cortisol Concentration Before and After CPAP Treatment of Obstructive Sleep Apnea.","authors":"Khue Bui-Diem, Nguyen Van Tho, Thu Nguyen-Binh, Quynh Doan-Truc, Hoang Kim Tu Trinh, Diem D K Truong, Kieu-Minh Le, Lam Phung Khanh, Sy Duong-Quy","doi":"10.2147/NSS.S553499","DOIUrl":null,"url":null,"abstract":"<p><strong>Purpose: </strong>This study investigated changes in salivary melatonin and cortisol concentrations before and after Continuous Positive Airway Pressure (CPAP) therapy in patients with OSA. Underlying these hormonal changes is a key mechanism involving dysregulation of the hypothalamic-pituitary-adrenal (HPA) axis and circadian rhythm.</p><p><strong>Patients and methods: </strong>A prospective before-and-after study was conducted on 59 adults with OSA, of whom 27 completed an 8-week follow-up after CPAP therapy. Salivary melatonin and cortisol were measured via ELISA in morning and afternoon samples. Other habits that affect sleep were also assessed. Hormonal changes were analyzed using Wilcoxon signed-rank tests, and correlations with clinical variables were evaluated using Spearman correlation.</p><p><strong>Results: </strong>At baseline, mean melatonin concentration was 80.80 ± 52.48 pg/mL, higher in the afternoon, and mean cortisol concentrations was 7.58 ± 5.45 ng/mL, higher in the morning. After CPAP treatment, melatonin concentration decreased to 63.78 ± 39.85 pg/mL, with a reduced difference between morning and afternoon concentrations. Cortisol concentration increased slightly to 8.06 ± 8.08 ng/mL. These hormonal changes were not statistically significant (<i>p</i>>0.05). Notably, melatonin concentrations correlated negatively with tea consumption (rho = -0.43, <i>p</i><0.05) after adjustment.</p><p><strong>Conclusion: </strong>This research investigated salivary melatonin and cortisol as biomarkers for CPAP efficacy in OSA patients. Although no significant changes were detected, trends indicated reduced sleep pressure, including lower afternoon melatonin and higher cortisol levels. The substantial dropout rate limits how these results can be interpreted. More studies with larger sample sizes, longer treatment durations, and more comprehensive hormonal evaluations at various times of the day are needed to elucidate the potential significance of salivary biomarkers in understanding circadian control in OSA.</p>","PeriodicalId":18896,"journal":{"name":"Nature and Science of Sleep","volume":"17 ","pages":"2201-2212"},"PeriodicalIF":3.4000,"publicationDate":"2025-09-13","publicationTypes":"Journal Article","fieldsOfStudy":null,"isOpenAccess":false,"openAccessPdf":"https://www.ncbi.nlm.nih.gov/pmc/articles/PMC12442905/pdf/","citationCount":"0","resultStr":null,"platform":"Semanticscholar","paperid":null,"PeriodicalName":"Nature and Science of Sleep","FirstCategoryId":"3","ListUrlMain":"https://doi.org/10.2147/NSS.S553499","RegionNum":2,"RegionCategory":"医学","ArticlePicture":[],"TitleCN":null,"AbstractTextCN":null,"PMCID":null,"EPubDate":"2025/1/1 0:00:00","PubModel":"eCollection","JCR":"Q2","JCRName":"CLINICAL NEUROLOGY","Score":null,"Total":0}
引用次数: 0

Abstract

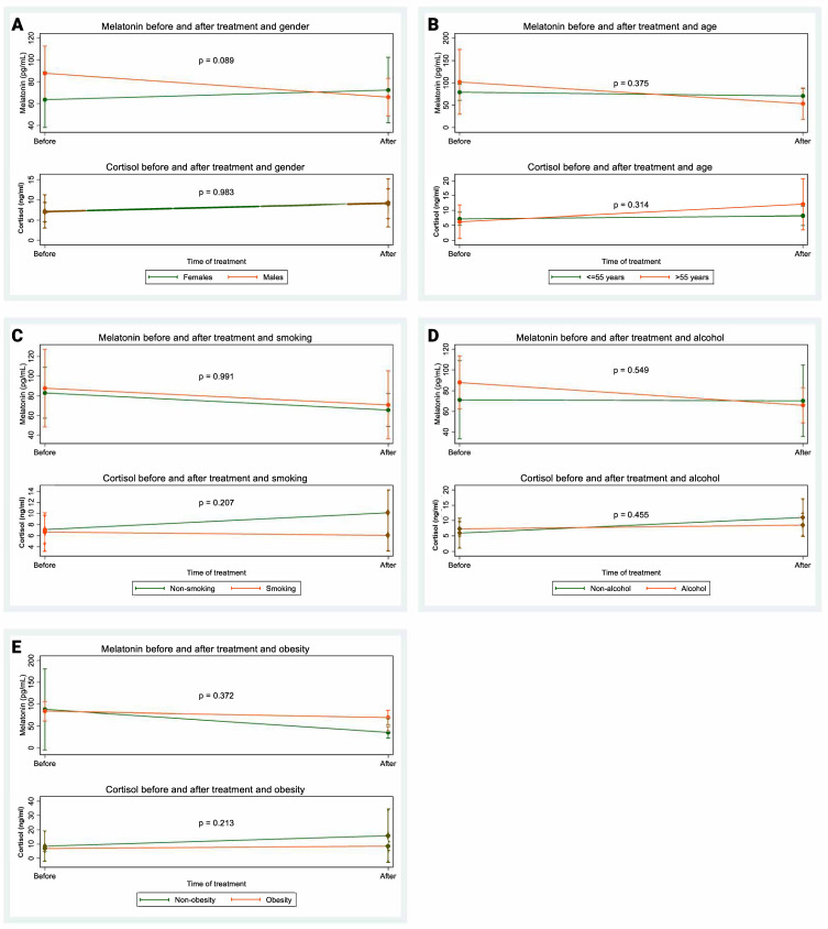
Purpose: This study investigated changes in salivary melatonin and cortisol concentrations before and after Continuous Positive Airway Pressure (CPAP) therapy in patients with OSA. Underlying these hormonal changes is a key mechanism involving dysregulation of the hypothalamic-pituitary-adrenal (HPA) axis and circadian rhythm.

Patients and methods: A prospective before-and-after study was conducted on 59 adults with OSA, of whom 27 completed an 8-week follow-up after CPAP therapy. Salivary melatonin and cortisol were measured via ELISA in morning and afternoon samples. Other habits that affect sleep were also assessed. Hormonal changes were analyzed using Wilcoxon signed-rank tests, and correlations with clinical variables were evaluated using Spearman correlation.

Results: At baseline, mean melatonin concentration was 80.80 ± 52.48 pg/mL, higher in the afternoon, and mean cortisol concentrations was 7.58 ± 5.45 ng/mL, higher in the morning. After CPAP treatment, melatonin concentration decreased to 63.78 ± 39.85 pg/mL, with a reduced difference between morning and afternoon concentrations. Cortisol concentration increased slightly to 8.06 ± 8.08 ng/mL. These hormonal changes were not statistically significant (p>0.05). Notably, melatonin concentrations correlated negatively with tea consumption (rho = -0.43, p<0.05) after adjustment.

Conclusion: This research investigated salivary melatonin and cortisol as biomarkers for CPAP efficacy in OSA patients. Although no significant changes were detected, trends indicated reduced sleep pressure, including lower afternoon melatonin and higher cortisol levels. The substantial dropout rate limits how these results can be interpreted. More studies with larger sample sizes, longer treatment durations, and more comprehensive hormonal evaluations at various times of the day are needed to elucidate the potential significance of salivary biomarkers in understanding circadian control in OSA.

Abstract Image

Abstract Image

Abstract Image

阻塞性睡眠呼吸暂停CPAP治疗前后褪黑激素和皮质醇浓度的变化。
目的:本研究探讨OSA患者持续气道正压通气(CPAP)治疗前后唾液褪黑素和皮质醇浓度的变化。这些激素变化背后的关键机制涉及下丘脑-垂体-肾上腺(HPA)轴和昼夜节律失调。患者和方法:对59例成人OSA患者进行了前瞻性前后对照研究,其中27例患者在CPAP治疗后完成了8周的随访。采用ELISA法测定上午和下午的唾液褪黑素和皮质醇。其他影响睡眠的习惯也被评估。使用Wilcoxon符号秩检验分析激素变化,并使用Spearman相关性评估与临床变量的相关性。结果:基线时,褪黑激素平均浓度为80.80±52.48 pg/mL,下午升高;皮质醇平均浓度为7.58±5.45 ng/mL,上午升高。经CPAP治疗后,褪黑素浓度降至63.78±39.85 pg/mL,上午和下午的浓度差异减小。皮质醇浓度略有升高,为8.06±8.08 ng/mL。这些激素变化无统计学意义(p < 0.05)。值得注意的是,褪黑激素浓度与饮茶量呈负相关(rho = -0.43)。结论:本研究探讨了唾液褪黑激素和皮质醇作为OSA患者CPAP疗效的生物标志物。虽然没有发现明显的变化,但趋势表明睡眠压力降低,包括下午褪黑激素降低和皮质醇水平升高。高辍学率限制了如何解释这些结果。需要更多样本量更大、治疗时间更长的研究,以及在一天中不同时间进行更全面的激素评估,以阐明唾液生物标志物在理解OSA的昼夜节律控制方面的潜在意义。
本文章由计算机程序翻译,如有差异,请以英文原文为准。
求助全文
约1分钟内获得全文 求助全文
来源期刊
Nature and Science of Sleep
Nature and Science of Sleep Neuroscience-Behavioral Neuroscience
CiteScore
5.70
自引率
5.90%
发文量
245
审稿时长
16 weeks
期刊介绍: Nature and Science of Sleep is an international, peer-reviewed, open access journal covering all aspects of sleep science and sleep medicine, including the neurophysiology and functions of sleep, the genetics of sleep, sleep and society, biological rhythms, dreaming, sleep disorders and therapy, and strategies to optimize healthy sleep. Specific topics covered in the journal include: The functions of sleep in humans and other animals Physiological and neurophysiological changes with sleep The genetics of sleep and sleep differences The neurotransmitters, receptors and pathways involved in controlling both sleep and wakefulness Behavioral and pharmacological interventions aimed at improving sleep, and improving wakefulness Sleep changes with development and with age Sleep and reproduction (e.g., changes across the menstrual cycle, with pregnancy and menopause) The science and nature of dreams Sleep disorders Impact of sleep and sleep disorders on health, daytime function and quality of life Sleep problems secondary to clinical disorders Interaction of society with sleep (e.g., consequences of shift work, occupational health, public health) The microbiome and sleep Chronotherapy Impact of circadian rhythms on sleep, physiology, cognition and health Mechanisms controlling circadian rhythms, centrally and peripherally Impact of circadian rhythm disruptions (including night shift work, jet lag and social jet lag) on sleep, physiology, cognition and health Behavioral and pharmacological interventions aimed at reducing adverse effects of circadian-related sleep disruption Assessment of technologies and biomarkers for measuring sleep and/or circadian rhythms Epigenetic markers of sleep or circadian disruption.
×
引用
GB/T 7714-2015
复制
MLA
复制
APA
复制
导出至
BibTeX EndNote RefMan NoteFirst NoteExpress
×
提示
您的信息不完整,为了账户安全,请先补充。
现在去补充
×
提示
您因"违规操作"
具体请查看互助需知
我知道了
×
提示
确定
请完成安全验证×
copy
已复制链接
快去分享给好友吧!
我知道了
右上角分享
点击右上角分享
0
联系我们:info@booksci.cn Book学术提供免费学术资源搜索服务,方便国内外学者检索中英文文献。致力于提供最便捷和优质的服务体验。 Copyright © 2023 布克学术 All rights reserved.
京ICP备2023020795号-1
ghs 京公网安备 11010802042870号
Book学术文献互助
Book学术文献互助群
群 号:604180095
Book学术官方微信