Herbomineral Medicine Peedanil Gold Exerts Analgesia in Neuropathy by Moderating Inflammatory Response and TRP Channel Expression in Sprague Dawley Rat Surgical Chronic Constriction Injury Model.

IF 3 3区 医学 Q2 CLINICAL NEUROLOGY
Pain Research & Management Pub Date : 2025-09-10 eCollection Date: 2025-01-01 DOI:10.1155/prm/6982170
Acharya Balkrishna, Shadrak Karumuri, Sandeep Sinha, Rani Singh, Rishabh Dev, Swati Haldar, Anurag Varshney
{"title":"Herbomineral Medicine Peedanil Gold Exerts Analgesia in Neuropathy by Moderating Inflammatory Response and TRP Channel Expression in Sprague Dawley Rat Surgical Chronic Constriction Injury Model.","authors":"Acharya Balkrishna, Shadrak Karumuri, Sandeep Sinha, Rani Singh, Rishabh Dev, Swati Haldar, Anurag Varshney","doi":"10.1155/prm/6982170","DOIUrl":null,"url":null,"abstract":"<p><p><b>Background:</b> Chronic neuropathic pain, a debilitating health condition, significantly deteriorates the quality of life. Available treatment options, mostly focusing on pain management, do not target underlying cause, resulting in suboptimal and temporary outcomes. Therefore, therapeutic targeting of the cause of neuropathic pain is necessary. This study was undertaken to assess the antineuropathic potential of the herbomineral formulation, Peedanil Gold (PN-G), which has earlier been proven effective against osteoarthritis and associated inflammatory pathophysiology. <b>Methods:</b> Unilateral sciatic nerve chronic constriction injury (CCI) rat model was used to assess the analgesic and anti-inflammatory potential of PN-G in managing chronic neuropathy and associated pain hypersensitivities, by monitoring cold and tactile allodynia and thermal hyperalgesia. The mRNA expression levels of various pain receptors, TRPV1, TRPV4, TRPA1, and TRPM8, and inflammatory factors, p38 MAP kinase and interleukin-6 receptor (IL-6R), were evaluated through RT-qPCR. <b>Results:</b> Compared to untreated study animals with CCI, PN-G treatment significantly alleviated pain hypersensitivities for cold and tactile allodynia and thermal hyperalgesia to an extent comparable to that of the reference drug, gabapentin. PN-G treatment also significantly reduced the mRNA levels of pain receptors in dorsal root ganglia, implicating a strong modulation of the pain perception. Additionally, PN-G-treated animals also exhibited noticeably reduced expressions of p38 MAP kinase and IL-6R, the crucial factors in the neuropathy-associated inflammation. <b>Conclusions:</b> Altogether, the outcomes from the current study prove that PN-G is an effective antineuropathic agent with potential to manage pain as well as eliminate the underlying cause of neuroinflammation behind the chronicity of neuropathic pain.</p>","PeriodicalId":19913,"journal":{"name":"Pain Research & Management","volume":"2025 ","pages":"6982170"},"PeriodicalIF":3.0000,"publicationDate":"2025-09-10","publicationTypes":"Journal Article","fieldsOfStudy":null,"isOpenAccess":false,"openAccessPdf":"https://www.ncbi.nlm.nih.gov/pmc/articles/PMC12443517/pdf/","citationCount":"0","resultStr":null,"platform":"Semanticscholar","paperid":null,"PeriodicalName":"Pain Research & Management","FirstCategoryId":"3","ListUrlMain":"https://doi.org/10.1155/prm/6982170","RegionNum":3,"RegionCategory":"医学","ArticlePicture":[],"TitleCN":null,"AbstractTextCN":null,"PMCID":null,"EPubDate":"2025/1/1 0:00:00","PubModel":"eCollection","JCR":"Q2","JCRName":"CLINICAL NEUROLOGY","Score":null,"Total":0}
引用次数: 0

Abstract

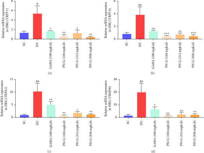
Background: Chronic neuropathic pain, a debilitating health condition, significantly deteriorates the quality of life. Available treatment options, mostly focusing on pain management, do not target underlying cause, resulting in suboptimal and temporary outcomes. Therefore, therapeutic targeting of the cause of neuropathic pain is necessary. This study was undertaken to assess the antineuropathic potential of the herbomineral formulation, Peedanil Gold (PN-G), which has earlier been proven effective against osteoarthritis and associated inflammatory pathophysiology. Methods: Unilateral sciatic nerve chronic constriction injury (CCI) rat model was used to assess the analgesic and anti-inflammatory potential of PN-G in managing chronic neuropathy and associated pain hypersensitivities, by monitoring cold and tactile allodynia and thermal hyperalgesia. The mRNA expression levels of various pain receptors, TRPV1, TRPV4, TRPA1, and TRPM8, and inflammatory factors, p38 MAP kinase and interleukin-6 receptor (IL-6R), were evaluated through RT-qPCR. Results: Compared to untreated study animals with CCI, PN-G treatment significantly alleviated pain hypersensitivities for cold and tactile allodynia and thermal hyperalgesia to an extent comparable to that of the reference drug, gabapentin. PN-G treatment also significantly reduced the mRNA levels of pain receptors in dorsal root ganglia, implicating a strong modulation of the pain perception. Additionally, PN-G-treated animals also exhibited noticeably reduced expressions of p38 MAP kinase and IL-6R, the crucial factors in the neuropathy-associated inflammation. Conclusions: Altogether, the outcomes from the current study prove that PN-G is an effective antineuropathic agent with potential to manage pain as well as eliminate the underlying cause of neuroinflammation behind the chronicity of neuropathic pain.

Abstract Image

Abstract Image

Abstract Image

Peedanil Gold通过调节Sprague - Dawley大鼠手术慢性收缩损伤模型的炎症反应和TRP通道表达对神经病变的镇痛作用。
背景:慢性神经性疼痛是一种使人衰弱的健康状况,严重影响生活质量。现有的治疗方案,主要集中在疼痛管理,没有针对根本原因,导致次优和暂时的结果。因此,针对神经性疼痛的病因进行治疗是必要的。本研究是为了评估草药制剂Peedanil Gold (PN-G)的抗神经病变潜力,该制剂早先已被证明对骨关节炎和相关炎症病理生理有效。方法:采用单侧坐骨神经慢性缩窄损伤(CCI)大鼠模型,通过监测冷、触觉异常性痛和热痛觉过敏,观察PN-G对慢性神经病变及相关疼痛超敏反应的镇痛和抗炎作用。RT-qPCR检测各组痛感受体TRPV1、TRPV4、TRPA1、TRPM8 mRNA表达水平,炎性因子p38 MAP激酶、白细胞介素-6受体(IL-6R) mRNA表达水平。结果:与未治疗的CCI研究动物相比,PN-G治疗显著减轻了对冷、触觉异常性疼痛和热痛觉过敏的疼痛超敏反应,其程度与参比药物加巴喷丁相当。PN-G治疗还显著降低了背根神经节疼痛受体的mRNA水平,暗示对疼痛感知有强烈的调节作用。此外,pn - g处理的动物也表现出p38 MAP激酶和IL-6R的显著表达降低,这是神经病相关炎症的关键因素。结论:总的来说,本研究的结果证明PN-G是一种有效的抗神经性药物,具有治疗疼痛的潜力,并消除神经性疼痛慢性背后的神经炎症的潜在原因。
本文章由计算机程序翻译,如有差异,请以英文原文为准。
求助全文
约1分钟内获得全文 求助全文
来源期刊
Pain Research & Management
Pain Research & Management CLINICAL NEUROLOGY-
CiteScore
5.30
自引率
0.00%
发文量
109
审稿时长
>12 weeks
期刊介绍: Pain Research and Management is a peer-reviewed, Open Access journal that publishes original research articles, review articles, and clinical studies in all areas of pain management. The most recent Impact Factor for Pain Research and Management is 1.685 according to the 2015 Journal Citation Reports released by Thomson Reuters in 2016.
×
引用
GB/T 7714-2015
复制
MLA
复制
APA
复制
导出至
BibTeX EndNote RefMan NoteFirst NoteExpress
×
提示
您的信息不完整,为了账户安全,请先补充。
现在去补充
×
提示
您因"违规操作"
具体请查看互助需知
我知道了
×
提示
确定
请完成安全验证×
copy
已复制链接
快去分享给好友吧!
我知道了
右上角分享
点击右上角分享
0
联系我们:info@booksci.cn Book学术提供免费学术资源搜索服务,方便国内外学者检索中英文文献。致力于提供最便捷和优质的服务体验。 Copyright © 2023 布克学术 All rights reserved.
京ICP备2023020795号-1
ghs 京公网安备 11010802042870号
Book学术文献互助
Book学术文献互助群
群 号:604180095
Book学术官方微信