Neuroprotective Effect of Resveratrol Propionate Esters on Apoptosis of SH-SY5Y Cells Induced by Hydrogen Peroxide.

IF 3.4 Q2 BIOCHEMICAL RESEARCH METHODS
Biochemistry Research International Pub Date : 2025-09-10 eCollection Date: 2025-01-01 DOI:10.1155/bri/9973711
Chun-Yung Huang, Chih-Yao Hou, Shin-Yu Chen, Chang-Wei Hsieh, You-Lin Tain, Mei-Chun Lin, Yu-Wei Chen, Ming-Kuei Shih
{"title":"Neuroprotective Effect of Resveratrol Propionate Esters on Apoptosis of SH-SY5Y Cells Induced by Hydrogen Peroxide.","authors":"Chun-Yung Huang, Chih-Yao Hou, Shin-Yu Chen, Chang-Wei Hsieh, You-Lin Tain, Mei-Chun Lin, Yu-Wei Chen, Ming-Kuei Shih","doi":"10.1155/bri/9973711","DOIUrl":null,"url":null,"abstract":"<p><p>Resveratrol, often referred to as 3,4',5-trihydroxystilbene (RSV), is a compound with a variety of pharmacological benefits, such as antiaging, neuroprotective, chemopreventive, antioxidant, and anti-inflammatory qualities. To investigate neuroprotective properties of resveratrol propionate (RPE), H<sub>2</sub>O<sub>2</sub> was added to SH-SY5Y cells (human neuroblastoma cell line) that had been pretreated with RPE. The modulation of Bcl-2 and Bax proteins, the mitochondrial membrane potential (MMP), cytochrome c release, the activation of caspase-9 and caspase-3, DNA fragmentation, and membrane catenin analysis were all measured in this study using flow cytometry. The protective effect of RPE pretreatment of SH-SY5Y cells on the H<sub>2</sub>O<sub>2</sub>-induced death process was further investigated using annexin V-fluorescein isothiocyanate (FITC). The induction of caspase-9 and caspase-3, release of cytochrome c, loss of MMP, modification of Bcl-2 and Bax, DNA fragmentation, and annexin V-FITC/PI (propidium iodide) double staining all indicate that RPEs are capable of successfully shielding SH-SY5Y cells from H<sub>2</sub>O<sub>2</sub>-induced cytotoxicity. Therefore, RPE is considered a good candidate for the prevention and treatment of neurodegeneration induced by oxidative damage.</p>","PeriodicalId":8826,"journal":{"name":"Biochemistry Research International","volume":"2025 ","pages":"9973711"},"PeriodicalIF":3.4000,"publicationDate":"2025-09-10","publicationTypes":"Journal Article","fieldsOfStudy":null,"isOpenAccess":false,"openAccessPdf":"https://www.ncbi.nlm.nih.gov/pmc/articles/PMC12443518/pdf/","citationCount":"0","resultStr":null,"platform":"Semanticscholar","paperid":null,"PeriodicalName":"Biochemistry Research International","FirstCategoryId":"1085","ListUrlMain":"https://doi.org/10.1155/bri/9973711","RegionNum":0,"RegionCategory":null,"ArticlePicture":[],"TitleCN":null,"AbstractTextCN":null,"PMCID":null,"EPubDate":"2025/1/1 0:00:00","PubModel":"eCollection","JCR":"Q2","JCRName":"BIOCHEMICAL RESEARCH METHODS","Score":null,"Total":0}
引用次数: 0

Abstract

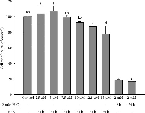
Resveratrol, often referred to as 3,4',5-trihydroxystilbene (RSV), is a compound with a variety of pharmacological benefits, such as antiaging, neuroprotective, chemopreventive, antioxidant, and anti-inflammatory qualities. To investigate neuroprotective properties of resveratrol propionate (RPE), H2O2 was added to SH-SY5Y cells (human neuroblastoma cell line) that had been pretreated with RPE. The modulation of Bcl-2 and Bax proteins, the mitochondrial membrane potential (MMP), cytochrome c release, the activation of caspase-9 and caspase-3, DNA fragmentation, and membrane catenin analysis were all measured in this study using flow cytometry. The protective effect of RPE pretreatment of SH-SY5Y cells on the H2O2-induced death process was further investigated using annexin V-fluorescein isothiocyanate (FITC). The induction of caspase-9 and caspase-3, release of cytochrome c, loss of MMP, modification of Bcl-2 and Bax, DNA fragmentation, and annexin V-FITC/PI (propidium iodide) double staining all indicate that RPEs are capable of successfully shielding SH-SY5Y cells from H2O2-induced cytotoxicity. Therefore, RPE is considered a good candidate for the prevention and treatment of neurodegeneration induced by oxidative damage.

Abstract Image

Abstract Image

Abstract Image

白藜芦醇丙酸酯对过氧化氢诱导SH-SY5Y细胞凋亡的神经保护作用。
白藜芦醇,通常被称为3,4',5-三羟基苯乙烯(RSV),是一种具有多种药理功效的化合物,如抗衰老,神经保护,化学预防,抗氧化和抗炎等特性。为了研究白藜芦醇丙酸(RPE)的神经保护作用,将H2O2加入到经RPE预处理的SH-SY5Y细胞(人神经母细胞瘤细胞系)中。本研究采用流式细胞术检测Bcl-2和Bax蛋白的调节、线粒体膜电位(MMP)、细胞色素c释放、caspase-9和caspase-3的激活、DNA片段化和膜连环蛋白分析。采用annexin v -荧光素异硫氰酸酯(FITC)进一步研究RPE预处理SH-SY5Y细胞对h2o2诱导的死亡过程的保护作用。诱导caspase-9和caspase-3的表达、细胞色素c的释放、MMP的缺失、Bcl-2和Bax的修饰、DNA片段化以及膜联蛋白V-FITC/PI(碘化丙啶)双染色均表明RPEs能够成功屏蔽h2o2诱导的SH-SY5Y细胞毒性。因此,RPE被认为是预防和治疗氧化损伤引起的神经退行性变的良好候选者。
本文章由计算机程序翻译,如有差异,请以英文原文为准。
求助全文
约1分钟内获得全文 求助全文
来源期刊
Biochemistry Research International
Biochemistry Research International BIOCHEMICAL RESEARCH METHODS-
CiteScore
6.30
自引率
0.00%
发文量
27
审稿时长
14 weeks
×
引用
GB/T 7714-2015
复制
MLA
复制
APA
复制
导出至
BibTeX EndNote RefMan NoteFirst NoteExpress
×
提示
您的信息不完整,为了账户安全,请先补充。
现在去补充
×
提示
您因"违规操作"
具体请查看互助需知
我知道了
×
提示
确定
请完成安全验证×
copy
已复制链接
快去分享给好友吧!
我知道了
右上角分享
点击右上角分享
0
联系我们:info@booksci.cn Book学术提供免费学术资源搜索服务,方便国内外学者检索中英文文献。致力于提供最便捷和优质的服务体验。 Copyright © 2023 布克学术 All rights reserved.
京ICP备2023020795号-1
ghs 京公网安备 11010802042870号
Book学术文献互助
Book学术文献互助群
群 号:604180095
Book学术官方微信